一般的放大电路,增益达到40-60dB就很不错了。但是考虑到电路的稳定性,采用一只晶体管放大电路的增益一般希望在20dB,若要获得更高的电压增益,就需要考虑二级或者多级耦合放大电路了。
一.放大电路反馈的判断方法
(1)正负反馈的判断:从输入级到输出级依次标出各级信号的瞬时极性,判断方法是:输入信号与反馈信号不在同一节点引入,若瞬时极性相同,则为负反馈,若两者的瞬时极性不同,则为正反馈。
(2)电压反馈和电流反馈的判断:通过判断反馈到输入端的反馈信号正比于输入电压还是输入电流来判断是电流反馈还是电压反馈。判断方法是:除公共接地线外,输出信号与反馈信号从同一点接出,则为电压反馈,若输出信号与反馈信号从不同点接出,则为电流反馈。
(3)串联反馈和并联反馈的判断:以反馈信号与输入信号在电路输入端相比较的方式来区分,反馈信号与输入信号以电压的形式相比较,则为串联反馈,以电流的方式相比较,则为并联反馈。判断方法:输入信号与反馈信号从同一点引入,为并联反馈,输入信号与反馈信号从不同点引入,则为串联反馈。
二.反馈对放大电路特性参数的影响
(1)输入电阻
串联负反馈增加输入电阻:

并联负反馈减小输入电阻:

(2)输出电阻
电压负反馈减小输出电阻:

电流负反馈增加输出电阻:

(3)增益
使电路的增益减小。
(4)带宽
扩展为基本放大电路的

(5)负反馈改善放大电路本身引起的非线性失真
(6)负反馈放大电路抑制反馈环内的噪声,提高性能噪比。
三.负反馈放大电路的一般表达式及四种基本组态
(1)负反馈放大电路的一般表达式:
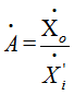
开环增益:


为净输入信号
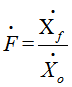
反馈系数:

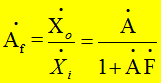
闭环增益:


为开环增益。
反馈深度:


称为环路增益。
当


深度负反馈下放大电路的近似计算:
深度负反馈的实质是忽略净输入量

当电路引入串联负反馈时,

当电路引入串联负反馈时,

分析及设计及电路时,常用上面的定律计算一个反馈放大电路的增益。
(2)负反馈放大电路的四种基本组态:
电压串联负反馈、电流串联负反馈、电流串联负反馈、电流并联负反馈,熟练掌握四种反馈电路鞥亿的计算方法很关键!
四.负反馈放大电路的设计
| 电压增益 | 100 |
| 最大输出电压 | 5Vp-p |
| 频率特性 | -- |
| 输入输出阻抗 | -- |


设计过程:
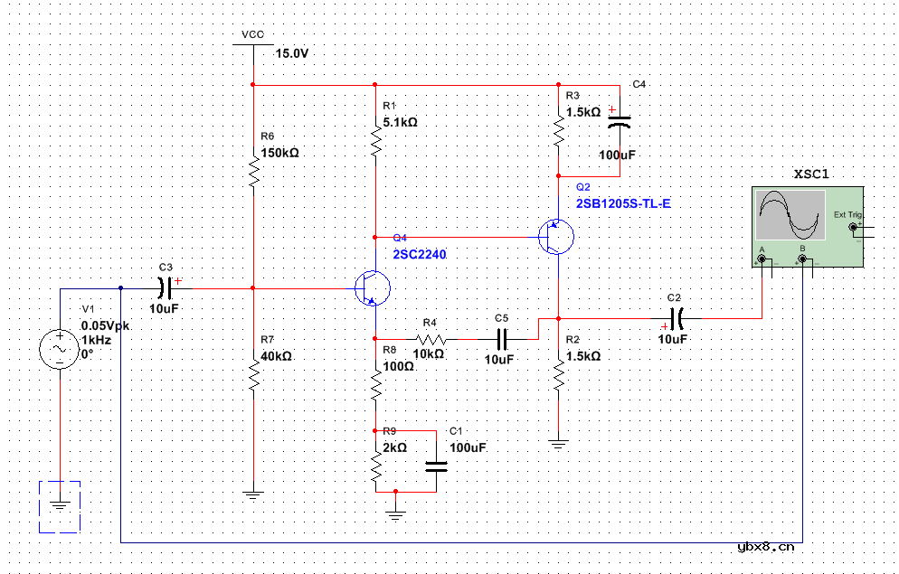
电源的设计与晶体管的选择:与共射级放大电路电源选取一样,晶体管的选取考虑Vcbo和Vceo。
NPN和PNP组合的原因:将多极性的晶体管级联起来,由于偏置电压的极性相同,不能取到最大输出电压,一般设计过程中将PNP和NPN交替使用。
假设Tr1的发射级电流1mA,则可以求得发射级电阻的值,在设计过程中,为了满足使用条件,应该尽量增加第一级电路的放大倍数来提高开环增益,但是增加增益的条件是增加及集电极电阻Rc的值,但Rc的值太大,使得Tr2的集电极的电位过于接近GND,导致不能输出最大的电压。这里取集电极的压降为5V,理论上可以输出10Vp-p。
设Tr2的集电极电流为3mA,则可确定能够R3,为了使输出电压达到最大值,Tr2的集电极电位取发射级电位和地的中间值。
确定R4和R8的值:R4的值决定电路的输出电阻的大小,因此取值不能太小,一般为千欧级别。在根据电压增益确定R8的值。
偏置电路的设计方法和共射级放大电流的设计方法一样。
相关热词:#放大电路
影响介电常数的因素有哪些?
时间:2026-04-22
关于电流互感器基础知识介绍
时间:2026-04-22
开关电源的工作原理及特性
时间:2026-04-22
绝缘栅双极型晶体管(IGBT)外形、等效结构与...
时间:2026-04-22
信噪比(SNR)的定义,如何计算信噪比
时间:2026-04-22
波特率是什么意思_怎样计算波特率
时间:2026-04-21
RS485基本知识介绍
时间:2026-04-18
什么是激光雷达?激光雷达的构成与分类
时间:2026-04-18
Excelpoint - 一文了解SiC MOS的应用
时间:2026-04-18
什么是磁电阻器?磁电阻特性及应用
时间:2026-04-18
基于逻辑门的构成解释如何完成任意逻辑的管...
时间:2026-03-08
彩灯电路
时间:2026-03-05
NE555的有趣电路设计分享
时间:2026-03-08
三相异步电动机原理
时间:2026-03-04
三相异步电动机的拆装详讲
时间:2026-03-04
从0学电路,万用表演示测量三极管方法
时间:2026-03-08
电动机单线远程正反转控制电路图
时间:2026-03-04
光耦在电子电路中作用、关键参数详解
时间:2026-03-08
H桥电机驱动电路解析
时间:2026-03-08
转角测量电路
时间:2026-03-05