研究背景
大多数研究表明,前驱体的类型决定了石墨化的程度。中间相沥青用于制备软碳,各向同性沥青、酚醛树脂和生物衍生物如纤维素和木质素用于制备硬碳。碳材料的微观结构不受传统热过程的控制,而是受其前驱体初始结构的限制。
成果简介
近日韩国科学技术研究院证明了石墨化程度可以通过使用PE作为单一前驱体的稳定过程来控制,因为PE是一种不可石墨化的材料。通过电子束辐照和随后的热氧化或硫酸处理来稳定聚乙烯,以研究稳定方法的效果。所得到的热稳定和酸稳定的PE石墨化温度高达2000℃,它们分别从单一前驱体分化为软碳和硬碳。他们还证实了激光解吸/电离飞行时间质谱法,可以根据碳簇离子的形成模式揭示石墨化早期热稳定和酸稳定PE的不同结构。此外,将软碳和硬碳分别作为负极材料应用于钠离子电池中,研究了其不同的电化学性能。
该工作以“Selective synthesis of soft and hard carbons from a single precursor through tailor-made stabilization for anode in sodium-ion batteries”为题发表在Chemical Engineering Journal上。
图文导读

图1. (a)制备聚乙烯衍生碳材料的总体工艺示意图。(b)经过2000 kGy和4000 kGy处理的原始PE和e-PE样品的ESR光谱,(c) FT-IR光谱,(d) XRD衍射图。
图1a显示了制造PE衍生碳材料的整体过程。电子束辐照是一种简单有效的在碳氢化合物大分子中形成自由基的方法。采用高辐照剂量(即2000 kGy和4000 kGy)在PE中形成有机自由基,以提高稳定效率。电子束辐照后,e-PE样品的ESR谱线显示出与烷基自由基对应的特征六分线;这些线条是电子束辐照导致PE中自由基形成的直接证据(图1b)。利用傅里叶红外光谱进一步分析了电子束辐照形成的官能团。众所周知,碳氢化合物大分子中的碳中心自由基与空气中的氧迅速反应,然后转化为氧官能团。辐照后,在1700 cm−1处出现了一个新的峰值,对应于C=O拉伸,并且随着辐照剂量的增加而增加。这表明e-PE样品中形成的烷基自由基成功转化为羰基(图1c)。同样,e-PE样品的XRD结果也显示出其晶体结构的明显变化(图1d)。

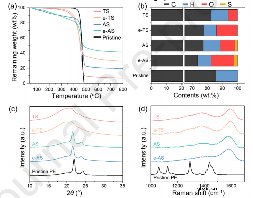
图2. (a)热重分析,(b)元素分析,(c) XRD衍射图,(d)不同稳定化后的原始PE和电子束辐照PE的拉曼光谱。
不同稳定化过程下稳定样品的TGA曲线显示出不同程度的失重(图2a)。原始PE在~430℃时失重迅速,到~500℃时完全气化。然而,在800°C稳定化后,TS、AS、eTS和e-AS样品的残留量分别为7.0%、19.6%、29.4%和41.4%。热氧化发生在330°C,远高于PE的Tm(~125°C),因此样品在氧化前熔化。热氧化形成的氧官能团气化后,TS在~200℃开始失重。在~360℃时,由于主聚合物链的热分解,残余重量急剧减少,残余重量达到50%时的温度为452℃。800℃时的最终残余重量为7.0%。以e-TS为例,虽然在~200°C时的第一个失重点与TS相似,但重要的是,在800°C时,e-TS的最终残余重量比TS(7.0%)显著增加,达到29.4%。这一结果表明,电子束辐照大大提高了热稳定过程的效率。图2b显示了C、H、O和s等元素的相对含量。
原始PE和稳定PE的拉曼光谱提供了稳定化引起的结构变化的更具体信息(图2d)。典型地,原始PE在C-C拉伸的1059 cm-1和1126 cm-1处有散射峰,CH2键和碳氢键的摇摆和扭转振动分别在1166 cm-1和1299 cm-1处有散射峰,CH2键的弯曲振动分别在1414 cm-1、1438 cm-1和1459 cm-1处有散射峰。但稳定后样品的拉曼光谱在~1,380 cm-1 (D波段)和~1,600 cm-1 (G波段)处分别显示出与芳环结构的A1g和E2g模式相关的两个宽弱峰,而线性烃结构的拉曼散射峰同时消失。因此,一些多环芳烃结构在两种稳定类型后都具有减少的晶体结构。在线性烃链形成芳香结构方面,需要一个中间的阶梯状结构,它是由相邻的聚合烃链交联形成的。

图3. (a)低温(400℃,500℃,600℃)下碳化eTS和e-AS的拉曼光谱,(b) XRD衍射图和(c)原子含量。原子含量由XPS测定。(d)低温(400℃、500℃、600℃)下碳化e-AS的S2p窄峰。
在拉曼光谱中,e-TS的D波段比e-AS更明显,但在相对较低的温度下(400℃~ 600℃)热处理后,e-TS和e-AS的拉曼光谱变得相似(图3a)。相比之下,e-TSC和e-ASC的XRD谱在低温热处理下表现出不同的行为。经400℃热处理后,e-TS在2θ(21.2°)和24.1°处的宽峰明显增强,表明e-TS为非晶结构。
然而,随着温度的升高,结晶峰降低。他们推断,由于热处理的结果,结构的无定形性质消失了,剩余的结构成为基本单位,转化为碳质材料。在e-AS的情况下,硫酸处理并没有明显破坏聚合物晶体,但额外的热处理诱导了非晶结构的形成。尽管在稳定化过程中,热氧化对聚合物晶体结构的破坏比硫酸处理更严重,但它们的热处理版本,如e-TSC4、5、6和e-ASC4、5、6显示出相似的XRD模式。有趣的是,尽管eTS和e-AS的氧含量相似,但与e-ASC样品相比,e-TSC样品的氧含量相对较高。正如预期的那样,e-AS显示出氧化的硫官能团,如硫酸盐、砜和磺酸盐,其强度随着热解而减弱。热处理后,e-ASC4和e-ASC5中氧化的含硫官能团部分转化为S-C-S构象,但在600℃以上热处理时,含硫官能团全部消失。

图 4. (a)不同高温(800°C、1200°C、1600°C、2000°C、2400°C、2700°C)热处理后的e-TSC和e-ASC的XRD衍射图和(b)拉曼光谱。
图4为经过800 ~ 2700℃热处理的e-TSC和e-ASC样品的XRD图谱和拉曼光谱。随着热处理温度的升高,e-TSC和e-ASC的2θ宽峰均在21°~ 29°范围内,与(002)平面的堆积层有关。它们也变窄,中心向~26°偏移。此外,随着HTT的增加,~ 45°2θ处的肩峰更加明显。这些XRD谱图的变化表明在热处理过程中石墨结构的生长。但值得注意的是,在低于800℃的低温下,eTSC和e-ASC的晶体结构相似,但在高于800℃的温度下,它们的晶体结构演变方式不同。

图 5. (a)热氧化和酸处理后稳定PE的LDI-TOF-MS谱,以及不同温度下制备的PE衍生碳材料(400-2700℃)。(b) PE转化为碳材料过程示意图。
为了进一步研究热处理过程中sp2碳畴的结构演变,对e- tsc和e-ASCs进行了LDI-TOF-MS分析(图5)。e-TS的LDI-TOF-MS谱显示出一个复杂的模式,有几个不可分配的峰,其中出现了不同的间隔,如m/z 12、14和15。说明e-TS是由饱和碳链和不饱和碳链随机组成的。经过400℃热处理后,LDI-TOF-MS光谱中的大部分峰消失,而eTSC5的背景信号增强,在m/z 204和216处分别有C17和C18簇离子对应的弱峰,间隔时间为m/z 12。在600°C下进行热处理,可以广泛检测到m/z 108到324之间的碳簇离子,其间隔为m/z 12,对应于C9-C30碳簇离子。这种趋势比e-TSC8更强烈,其LDI-TOF-MS谱在m/z 168 ~ 384处显示出较强的质量峰,与C14-C32碳簇离子对应的m/z 12有规律的间隔。当高温温度高于800°C时,e- tsc中不再存在碳簇峰,这种行为源于其增强的热稳定性和导电性,这阻碍了激光诱导的sp2碳畴的破碎和电离。随着e-TSC6中碳簇离子的开始检测,观察到sp2碳畴在600℃下形成,可以吸收波长为335 nm的激光。在800°C时,通过sp2小碳畴的融合,它们进一步扩大,在1200°C时,sp2小碳畴完全集成,以限制激光诱导的碎裂和电离程度。
有趣的是,e-ASCs的LDI-TOF-MS谱显示了与e-TSC完全不同的行为。e-AS的LDI-TOF-MS谱显示出一些强而未知的峰,由于e-AS的化学结构不均匀,这些峰不能被指定为特定的结构。这与e-TS的LDI-TOF-MS谱有很大的不同,在e-TS中,在特定的间隔(如m/z 12、14和15)有许多峰。这一有趣的模式表明,与e-TS相比,ea具有更多的氧化和交联结构,从而阻碍了激光吸附和破碎。与e-TSC4不同的是,e-ASC4的LDI-TOF-MS谱在m/z 12和14处出现了大量不可分配的质量峰,分别对应于sp2碳畴和饱和碳链。这种趋势与e-TSC相似,但e-ASC中检测到的峰很强烈,并且位于低m/z区域,这表明PE的聚合链是通过酸稳定而不是热氧化来切割的。根据这一结果,可以预期e-AS的碳化可能在比e-TS更高的温度下开始。
值得注意的是,在800°C热处理后,e-AS在m/z 228-348处开始检测到碳簇离子峰,对应于C19-C29,而e-TS在600°C时显示相同的峰。这证实了e-TS比e-AS具有更适合碳化的结构,因为e-TS演化sp2碳畴吸收激光能量所需的阈值能量低于e-AS。随着HTT的增加,e-AS的碳簇离子峰最终在1600℃热处理后达到最高强度,显著高于e-TS(800℃)。与eTS类似,在1600°C以上,e-AS PE的碳簇离子峰随着热处理温度的进一步升高而消失,这是由于热稳定性和导电性的增强,说明e-AS的碳化所需能量远高于e-TS。因此,在2000°C以上的高温下,e-TSC表现出高度发达的结构。这些结果与XRD,拉曼光谱和HR-TEM表征结果相吻合,并清楚地表明LDI-TOF-MS分析提供了碳材料前驱体在高温加热过程中sp2碳结构演变的不同信息。因此,该结果补充了用于探索碳化的传统表征工具。

图 6. (a)第一次和第二次循环的恒流充放电曲线(b)坡面和高原容量在第二次循环放电曲线中的贡献率,(c)速率能力,(d) e-TSC8、e-ASC8、e-TSC20和e-ASC20的循环保留。
图7a显示了在800°C下制备的e- tsc和e- asc的第一次和第二次充放电曲线。如图7b所示,e-TSC8和e-ASC8表现出相似的充放电曲线,且斜率大于50%,表明它们主要由含有大量表面和缺陷位点的无定形碳结构组成。一般来说,碳材料的电化学性能随着微观结构的发展而增加,从而导致速率能力的增强。然而,高度有序的碳结构使得Na+的扩散路径较长,导致其速率能力较差。eASC8和e-TSC8同样表现出较差的速率能力,这是由于它们在低温碳化时碳结构较差导致电导率较低,如图7c所示。
在25 mA g−1的恒流速率下进行100次循环测试,以确认所制备碳的结构稳定性,如图7d所示。e-ASC20即使在100次循环后也保持了相似的比容量,保留了初始容量的96.7%。相比之下,e-TSC20、e-ASC8和e-TSC8表现出低周期稳定性,容量保留率分别为15.5%、31.7%和17.4%。相比之下,e-ASC8和e-TSC8的碳晶体结构不发达,在反复的钠化和脱盐循环过程中容易被破坏,导致循环稳定性差。e-TSC20具有高度发达的碳晶体结构,其稳定性差与循环过程中Na+在长距石墨烯层之间的反复扩散有关,但有报道称,重复循环会使碳材料的石墨结构发生非晶化,导致不可逆容量急剧增加,从而导致循环性能差。
e- tsc和e-ASC的微观结构分析结果表明,通过控制稳定化可以成功制备出具有不同微观结构的碳材料,这与传统的碳特征工具(如拉曼光谱、XRD和TEM)的结果一致。
总结与展望
PE经电子束辐照、稳定化和高温加热转化为软、硬碳材料。电子束辐照通过形成烷基自由基和提高氧含量来提高稳定效率。研究了磺化和热氧化两种稳定化工艺对碳结构的影响。在惰性气氛中高温加热后,将制备的easc和e- tsc的表征结果分别分组到400-600℃和800 - 2700℃的低温和高温区域,对各自结构的发展进行系统比较。LDI-TOF-MS分析表明,低温高温下碳簇离子的形成表明,e-TS比e-AS具有更适合碳化的结构。因此,在没有石墨化的情况下,LDI-TOF-MS分析可以确定在低温下热解的样品是否可石墨化。将e-ASC和eTSC样品直接应用于sib作为阳极材料,根据其不同的石墨结构来评估其适用性。由于其无序的石墨结构,即使在相同温度下制备的e-ASC(硬碳)样品也比e-TSC(软碳)样品表现出更好的SIB性能。这有利于钠离子的储存。在测试的e-ASC和e-TSC样品中,e-ASC20具有最高的比容量(309.3 mAh g−1),并且在100次充放电循环后保持稳定。这种高性能归因于适当无序的石墨结构,这是金属钠簇生长所必需的。这些结果进一步证实了稳定方法对PE衍生物在热处理过程中石墨结构的发展有显著影响,并决定了最终产品在应用中的性能。
审核编辑:刘清
电芯、电池模组和电池包三者有什么区别?如...
时间:2026-03-22
电池怎么做绝缘处理?电池模组绝缘片起到什...
时间:2026-03-22
电池模组绝缘片的制造工艺有哪些,它们对电...
时间:2026-03-22
亿纬锂能麟驹系列电动两轮车电池首批发货仪...
时间:2026-03-22
在电池模组中,除了绝缘片,还有哪些措施可...
时间:2026-03-22
深度解读广汽全固态电池技术
时间:2026-03-22
广汽科技全固态电池与无图纯视觉智驾引领智...
时间:2026-03-22
天合光能新一代柔性储能电池舱Elementa 2真...
时间:2026-03-22
锂电池和超级电容器哪个更耐用
时间:2026-03-22
“固态电池”和“半固态电池”是水火不容吗...
时间:2026-03-22
住宅小区负荷与变压器容量的选择技巧
时间:2026-03-06
光伏控制器简介
时间:2026-03-06
石英灯电子变压器电路原理
时间:2026-03-06
变压器并列运行的条件浅析
时间:2026-03-06
玻璃釉电容器的结构与特点
时间:2026-03-05
电阻的标称阻值和允许偏差
时间:2026-03-05
三极管的主要参数
时间:2026-03-07
HTCC:半导体封装的理想方式
时间:2026-03-06
半导体三极管的技术参数
时间:2026-03-07
碳膜电阻如何识别_金属膜电阻器和碳膜电阻器...
时间:2026-03-05