我们知道在射频微波电路中Cascode和吉尔伯特单元是最为常见的电路结构(LNA、PA、Mixer、VGA、PS等电路中常常有使用到),那么在开聊这些稍微复杂的电路结构之前,咋门先看看下面的一个简化的电路,大家可先停下来
我们知道在射频微波电路中Cascode和吉尔伯特单元是最为常见的电路结构(LNA、PA、Mixer、VGA、PS等电路中常常有使用到),那么在开聊这些稍微复杂的电路结构之前,咋门先看看下面的一个简化的电路,大家可先停下来,思考下: 问题导入:如下图所示,假定Vth0=0.7V,忽略沟道调制效应和体效应(即lambda=0,gama=0),分析下图中电路,当Vx从0V变化到3V时,Ix是怎么样的一个响应曲线,同时M1管子是怎么样工作的???

本篇博文的主要目的是:希望通过总结概括MOS管的基础知识,1:给在校学生一个学习提纲;2:给正在
求职面试的同学一个方便查阅的途径;3:也希望本期内容可以给从业人员一个温故而知新的小文库。因此,下面将按照如下内容进行展开:

基本概念
1)定义
MOS管,是
MOSFET的简写(Metal-Oxide-Sem
iconduct
or Field-Effect Transistor, MOSFET),MOSFET即为金属-氧化物
半导体场效应
晶体管,当然我们平时还是叫MOS管比较自然一点,当然我们在实际工程中为了把NMOS和PMOS做在一起,用的比较多的还是CMOS(互补型金属氧化物半导体)。
看完上面的一段话,大家伙儿是不是还是一脸蒙圈,抛砖老哥你在说什么???你写的汉字我都认识,但为何我的大脑,任然不知道你在讲啥啊!!! 小老弟/小姐妹儿,咱不急,我们接着往下看——
2)结构
MOS管分为NMOS和PMOS,我们先抛开各种复杂的工艺流程不说,先看看NMOS它的庐山真面目,如下所示:

首先搞明白我们为什么要做MOS,其实简单地说就是我们需要有一个器件可以以小博大,四两拨千斤,通过较小的电压去实现对大的电压摆幅的输出(也就是放大作用,当然也可以是控制有无输出,即也可以做开关)。 好了,既然MOS管是用来做控制(以小博大)器件的,那么必然有这样一个三角关系:A和B作为发起方和受用方,而C呢就作为调控方,就好像上面的一根小小的管子,把两杯水给安得明明白白。
在实际的工艺中,咱们就见到了如上图提到的NMOS结构,其中D和S就是发起方和受用方,我们通常把D叫做漏极,把S叫做源极(当然只是这么叫,在某些特定的电压下,他哥俩的身份是可以互换的),然后G我们把它叫做栅极(就是中间人,你也可以把它叫做以小博大的皮条客),皮条客G栅极为了避免有一天东窗事发,干活的时候会用一层薄薄的绝缘氧化物薄膜把自己和D、S隔离开来,也就是上面的氧化物有一层tox的厚度。那么D和S的距离,也就是等效栅长,我们叫做MOS管的等效沟道长度Leff,(话说,台积电准备在2025年把控制D和S的距离在量产到2nm,而韩国
三星更为恐怖,他准备在2027年把D和S的距离量产到1.4nm了,什么,国内呢?这个嘛,不清楚,大家伙可以留言讨论)
对了,MOS管的中文全称叫啥来着?哦,金属-氧化物半导体场效应晶体管,那么这里我们就把金属D、S、G以及氧化物薄膜为基础的场效应管结构介绍完了,然后所谓半导体嘛,自然就是说咱们的这些个栅极G、漏极D、源极S以及氧化物薄膜的办公室,当然他们的办公室不是随随便便选个场地就玩完,他们是选中了以低掺杂浓度的P衬底为场地,为了不坏事,场地和所谓的G、D、S尽量不要发生办公室恋情,至少不要影响到G、D、S干活,因此在NMOS中的P衬底所谓的低掺杂就是说正常情况下基本不导电,只是提供场地的作用(当然,都说日久生情,我们的衬底有时候也会对MOS管产生一些情愫和影响,我们在后面的MOS管的二级效应中,会继续来聊聊这段孽缘)。
好了,上面我们大概了解了MOS管的作用的基本构成,在实际使用中,一般我们会用互补型的金氧半场效晶体管工艺,也就是大名鼎鼎的CMOS工艺,其结构如下图所示:

大家肯定会说,城市套路深,我要回农村,咱家又不是没地,干嘛委屈自己挤在一起干活?
我想说的是,小伙子光家里有地还不行啊,毕竟现在是公元2022年,现代社会讲求的是高效与合作共赢嘛!那么当我们把NMOS和PMOS放在一起的时候,往往可以达到事半功倍的效果,不过话又说回来,他俩经营的事业还是有点不一样的,NMOS和PMOS形成沟道的先决条件都是需要势垒电压的变化,因此天然而言,其存底掺杂的类型就有点区别,就好像虽然在商场里面大家都是做生意的,但是还是需要做一些隔间来区分各自的功能性,那么在CMOS工艺中,就是在P衬底上面做一个N-Well,然后PMOS就可以做到这个N-WELL里面了,这样PMOS和NMOS就可以愉快地在一起玩耍了。
3)表示符号
为了在交流过程中更加顺畅,我们的物理学家和
工程师们就对NMOS和PMOS的表示符号进行了一些定义,这个就好像我们中国的传统象形文字一样,见下图所示:

在(a)、(b)、(c)中均是NMOS和PMOS的象形符号,大家可以按照自己的喜好去用,一般来说我们会把衬底的端电压(B,Bulk)接到地或者VDD上面,因此用(b)、(c)的时候要多一些,其中(c)的符号表达式在
数字电路中用的比较多(表示开关)。
4)常见版图实例
相信大家在面试的时候,很多面试官为了考查大家对NMOS和PMOS管子的结构是否理解的清楚,经常会叫大家绘制出最为典型的反相器的截面图,因此大家对上面给出的NMOS与PMOS的截面图还是要多多理解下。这里给出一个经典的反相器的原理图和版图(并非截面图),供大家参考。


好了,聊完基本的MOS管概念,下面我们进入一点数学的环节(不要被吓着,其实这些数学公式也就是物理现象的一种表示方式,就和我们上面提到的象形文符号一样的,他使我们的表达更加精炼,因此在这篇博文中我们不做数学推导,只做大自然的搬运工),那么下面就来讨论下,到底这个MOS管咋个工作的!!!
MOS管的I/V特性
如前面所说,我们研究I/V特性不是为了推导而推导,只是为了让我们更加清楚地了解MOS管的工作状态,在后续的表达中可以更加简洁精炼,因此我们本部分重点讨论MOS管的工作状态(主要讨论NMOS管,PMOS其实很多时候就是多一个负号,大家可以自行分析下),以及如何判断工作状态,附带地根据数学公式绘制出各个状态下的I/V特性。
1)导通特性

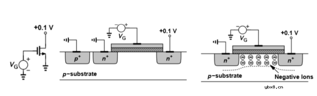
如上图所示,当我们不断升高VG,会有什么事情发生呢???我们可以看到栅极和衬底之间会等效成一个
电容板,那么VG电压升高,堆积在栅极金属板的电荷就开始变多了,当电荷多到形成了一个沟道,这个时候D和S就会被导通,此时我们的VG就是所谓的“
阈值电压”,VTH电压。
我们接着继续提高VG,此时沟道里面的电荷密度继续增加,导致漏源
电流进一步增加。好了,那么我们刚刚提到的VTH是一个定性分析出来的量,下面我直接给出半导体物理里面VTH的计算公式:

其中

是多晶硅栅和衬底的功函数之差的电压值,

里面的Nsub是衬底的掺杂浓度,q是电子电荷,ni是硅的本征载流子浓度,Qdep是耗尽区的电荷,Cox是单位面积的栅氧化层电容。
当然我们实际计算不可能用上面的数学公式,因为这些个
参数,我等凡人怕是不好测试到哦,当然就算是烧炉子的老师傅怕也是不好得到上面的参数进而求解到VTH,那么我们怎么来得到VTH 呢?下面且听我把IV特性函数细细道来,当然现在的工艺大厂们一般SPICE参数里面会有一个VTH0,我们可以直接用。
2)I/V曲线函数关系

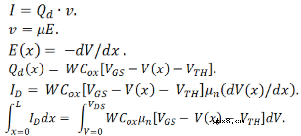
首先我们还是假设在NMOS管的栅极加上VG,源极S接地,漏极加一个VD电压,然后根据下面的公式(看不太明白没关系,可以到群里或者加作者好友留言讨论):

好了,不管推导过程的话,我们直接可以得到NMOS的漏极电流ID的数学函数表达:

也就是说,此时我们的电流与载流子迁移率、单位长度电容、VGS、VTH以及VDS的值相关(抛物线方程),我们对ID求一个关于VD的偏导并令其为0,此时就可以看到想要ID获得最大值,ID为:

Bingo,相信学过
模拟电路的大家,此时对ID,max的值有一点点印象了吧,哈哈,他就是咋门NMOS管饱和时的电流啦,也就是说,当VD=VGS-VTH时,咱们的NMOS管的电流将会趋于稳定,也就是达到饱和状态(这个我们待会后面再来讨论)。
这里我们需要对上面公式中的两个参数,单独拉出来说一说:
1是我们的VGS-VTH,这就是大名鼎鼎的“过驱动电压”,怎么说呢,为了形象地理解的话,我们VG刚刚达到VTH时就可以开启,但是我们继续加电压(也就是VG-VTH还有余粮了),这个时候,是不是就驱动的飞起了,所以我们这么理解过驱动电压没毛病吧(哈哈,先这么理解吧,其实这个说法还是有点点值得考究的)。
2是我们的W/L,这就是我们在日常工作中提到的“宽长比”,在上面的公式中通过调节宽长比可以改变整个MOS管的最大输出电流,在后续的博文中我们还会讨论到宽长比对跨导,噪声,线性度等等的影响。
好了,到目前为止我们大概讨论三种电流电压状态【哈哈,此时的你心里是不是在想:什么,什么?哪来的三种?抛砖老哥你没骗我吧,我明明才看到1种啊,就是你说的VDS=VGS-VTH,我天,难道我眼花了?】好吧,我们把时间调回本节开始的地方: 1.当VG小于VTH时,此时我们的管子截止,也就是我么所谓的截止区,电流为0; 2.当VG大于VTH,且VDS≥VGS-VTH,此时管子处于饱和区,电流为:

3.当VG大于VTH,且VDS<VGS-VTH,此时为三极管区(也有叫线性区的),此时电流为


好了,就这些,大家伙自个体会吧(可能看到这里还是有点绕,没关系后面我们还有一个比较容易判定工作在哪个区的方法)
3)跨导的表达
这部分内容,就偷个懒,不在赘述其基本由来,直接根据上面的电流公式进行一个关于输入电压的求偏微分,即当管子处于饱和区时:

当管子处于三极管区(线性区)时:

通过跨导的大小我们就可以知道该管子四两拨千斤的能力,也就是说,VGS稍微变动一下咱门的ID就可以有较大的变化,gm就是衡量这个四两拨千斤能力的值。
4)如何快速判断NMOS管的工作状态

这里承接上面判断NMOS管的工作区部分,通过上图我们可以知道:
1.我们看横坐标,当VGS小于VTH时,即竖虚线左边,管子截止,处于截止区;
2.看横轴VGS大于VTH时,斜虚线为VD=VGS-VTH,斜虚线上方为VDS大于VGS-VTH,管子处于satura
tion,即饱和区;
3.继续看横轴VGS大于VTH时,斜虚线为VD=VGS-VTH,斜虚线下方为VDS小于VGS-VTH,管子处于Triode,即三极管区或者叫线性区; 好了,现在各个工作区的区分条件大家应该比较清楚了,那么在来补充一个概念,就是当我们的MOS用于开关的时候,开启时是处于什么状态呢?此时开启
电阻又是多少?好了这个问题大家就自行下来找答案或者到群里讨论吧。
MOS管的二级效应
说到MOS管的二级效应,其实呢,主要就是我们在之前聊到的那段衬底与源极之间的孽缘、沟道长度效应和亚阈值导通特性。

1)体效应
说到体效应,在之前我们都是默认衬底端接电到了GND,也就是说我们默认把VSB的值认为是一个固定值,那么VTH就可以根据之前的公式去求得,BUT,我们知道当VB变得更负(或者说VSB的相对值变得更负),那么将有更多的空穴被吸引到衬底电极,进而留下来了大量的电荷,使得耗尽层变得更宽


因此,此时受体效应影响的阈值电压VTH的新的计算公式有如下表示:

VTH0就是之前的那个阈值电压,一般我们工艺厂家会在SPICE文件中给出这个值,而VSB就是MOS管源极与衬底接触的电压差。

为体效应系数,同样的,一般我们工艺厂家会在SPICE文件中给出这个值,在我们计算的时候直接带进去就可以的。
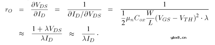
2)沟道调制效应
这个效应发生在饱和区,如下图所示,反型层局部电荷密度正比与VGS-VTH-V(x),因此当V(x)接近于VGS-VTH时,电荷密度下降为0,即反型层这个时候终止,我们提高漏极电压与源极电压压差,会让反型层比2002年的第一场雪还要来的早一些,换句话说,随着栅和漏之间的电压差增大时,实际的反型沟道长度逐渐减小(哈哈,这里也就间接地说明了沟道调制效应他并不是在截止区和三极管区)


Lambda是沟通调制调制系数,当然在实际工程中,MOS管的SPICE参数里面会给出这个值。同样的道理,我们可以根据新的ID求出在沟道调制效应下面的跨导:

3)亚阈值导通特性
这个特性呢,有点点反三观,因为我们之前一直在聊,当VGS小于VTH(即栅源电压小于阈值电压)时,管子就关断了,但是现实是咱们的MOS管大兄弟的求生欲十分强,当VGS约等于VTH或者略小于VTH时,还存在一个弱弱的反型层,并且有一些小小的漏源电流,那么可能大家伙又会问了,MOS管的这个小任性又会带来什么幺蛾子呢?
以前上初高中的时候,背写英文小作文,最为经典莫过于“Every coin has two sides”,那么MOS管的亚阈值导通特性也是一样的,一方面由于当VGS小于VTH管子关而不断,会导致管子中存在的小小的电流,这个电流一旦积少成多就是一个相当恐怖的存在,比如上百万甚至上亿个管子工作的时候,这个小电流就会是一个可怕的功耗;那么另外一方面,当我们的MOS管处于亚阈值区时,电流与VGS呈指数关系,此时就可以获得较大的增益:

我们平时工作状态在三极管区或者饱和区的正常MOS管,如何过渡到亚阈值区呢?答案就是,当保持ID不变,增大栅宽W,使得VGS逐渐靠近甚至略小于VTH,或者我们减小电流ID,那么带来的一个结果就是亚阈值电路的速度是很受限制的。
MOS管的抽象电路模型
1)MOS管的小
信号模型
在分析MOS管小信号模型之前,我们先要搞明白为啥要花这么多时间去做这件事。首先呢,前面也提到了,我们用MOS管主要是用来做开关或者四两拨千斤的控制放大效果,然后有了这个前提,那么我们是不是就得顺着这个目标,去分析电压电流之间的关系?
好了,既然要做这么一件事,我们想办法搞出来一个模型,再用我们简单的KVL/KCL规则去一顿分析,最后我们得到了用怎么样子的“四两”去拨动怎么的“千斤”,换句话说,我们建立小信号模型是为了推导出MOS管输出与输入关系的数学表达。下面先给出常见的NMOS的小信号模型,后续我们逐步
拆解其构成:

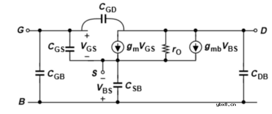
如何得出上面的MOS管的小信号模型的呢?
首先,对于MOS管而言,我们在栅源端加一个电压变量,然后就可以在漏端去
检测到相应的电流变化,也就是说MOS管可以用连接在源漏之间的压控
电流源来模拟改变化,即得到如下基础模型:

然后,我们将二级效应中的沟道调制效应考虑进来,也就是说此时我们的ID会多一个上文分析到的因子,我们对其除以电压,就可以等效为一个电阻ro:

所以,此时的小信号模型可以变为这样的:

再然后,我们把二级效应中的体效应考虑进来,同样的,根据上文的分析,我们的ID会多一个关于VTH的变化,也就是说,在栅源之间会存在一个VSB的相对电压源存在,进而会在漏端求电流时的受控源会多一个gmb*VSB的存在,所以,此时的小信号模型继续变为:

最后,我们再把MOS管的电容效应考虑进来,也就是说我们在分析导通特性那会聊到了,在MOS管内部会存在一些沟道,可以等效为电容,那么可以简单地得到下图:

所以,我们将其带入到上面考虑了MOS管二级效应的小信号模型之中,最终我们得到了MOS管的小信号模型如下所示:

那么,如何利用该小信号模型来分析IV曲线或者跨导特性呢?大家可以自行下来拆解,或者如果这期反馈还不错,大家都在积极点赞转发啥的,那么我们可以后面找个时间再出一期,来分析信号如何在该模型之中传播的。
2)MOS管的SPICE模型
其实SPICE模型,和上面的小信号模型一样,是描述电路特性芸芸众生中的一员大将。 在我们的科学家(主要是UCB大学的教授们)和工程师们多年的努力下,找到了一套描述管子工作状态的程序化描述语言——SPICE模型。
SPICE是
Simulation Prog
ram with In
tegrated Circuit Emphasis的缩写,是一种功能强大的通用模拟
电路仿真器,描述器件内部的实际
电气连接,该程序是美国加利福尼亚大学伯克利分校
电工和计算科学系开发的,主要用于
集成电路的
电路分析程序中,Spice的网表格式变成了通常模拟电路和晶体管级电路描述的标准,其第一版本于1972年完成,是用Fortran语言写成的,1975年推出正式实用化版本,1988年被定为美国国家
工业标准,主要用于IC,模拟电路,数模混合电路,
电源电路等
电子系统的设计和
仿真。
好了,到底什么是SPICE模型?能不能具体化一点,哈哈,咱就不卖关子了,本文就搬运一个0.5um CMOS工艺的“LEVEL1” SPICE模型:

有没有惊讶到您,这这这,为啥就只个表格呢?哈哈,对头,其实它就是一个表格,通过程序语言来建立各个网格之间的关系的。那么这个咋个看呢?如下:

当然,还有一些描述MOS管的模型,比如IBIS模型,
Verilog-
AMS模型和VHDL-AMS模型等等,咱们就不一一去诉说了,当然,最主要的还是我不太会、不了解。。。
审核编辑:刘清