晶体振荡器是指从一块石英晶体上按一定方位角切下薄片(简称为晶片),石英晶体谐振器,简称为石英晶体或晶体、晶振;而在封装内部添加IC组成振荡电路的晶体元件称为晶体振荡器。其产品一般用金属外壳封装,也有用玻璃壳、陶瓷或塑料封装的。
1.通用晶体振荡器,用于各种电路中,产生振荡频率。
2.时钟脉冲用石英晶体谐振器,与其它元件配合产生标准脉冲信号,广泛用于数字电路中。
3.微处理器用石英晶体谐振器。
4.CTVVTR用石英晶体谐振器。
5.钟表用石英晶体振荡器。
总频差包括频率温度稳定度、频率温度准确度、频率老化率、频率电源电压稳定度和频率负载稳定度共同造成的最大频差。一般只在对短期频率稳定度关心,而对其他频率稳定度指标不严格要求的场合采用。例如:精密制导雷达。
指输出频率与输入控制电压有对应关系的振荡电路(VCO),频率是输入信号电压的函数的振荡器VCO,振荡器的工作状态或振荡回路的元件参数受输入控制电压的控制,就可构成一个压控振荡器。
其特性用输出角频率ω0与输入控制电压uc之间的关系曲线(图1)来表示。图中,uc为零时的角频率ω0,0称为自由振荡角频率;曲线在ω0,0处的斜率K0称为控制灵敏度。在通信或测量仪器中,输入控制电压是欲传输或欲测量的信号(调制信号)。人们通常把压控振荡器称为调频器,用以产生调频信号。在自动频率控制环路和锁相环环路中,输入控制电压是误差信号电压,压控振荡器是环路中的一个受控部件。
压控振荡器的类型有LC压控振荡器、RC压控振荡器和晶体压控振荡器。对压控振荡器的技术要求主要有:频率稳定度好、控制灵敏度高、调频范围宽、频偏与控制电压成线性关系并宜于集成等。晶体压控振荡器的频率稳定度高,但调频范围窄;RC压控振荡器的频率稳定度低而调频范围宽,LC压控振荡器居二者之间。
一、实验目的:
1.掌握高频电子电路的基本设计能力及基本调试能力,并在此基础上设计并联变换的晶
体正弦波振荡器。
2.比较LC振荡器和晶体振荡器的频率稳定度。
二、实验内容:
1.熟悉振荡器模块各元件及其作用。
2.分析与比较LC振荡器与晶体振荡器的频率稳定度。
3.改变变容二极管的偏置电压,观察振荡器输出频率的变化。
三、基本原理:
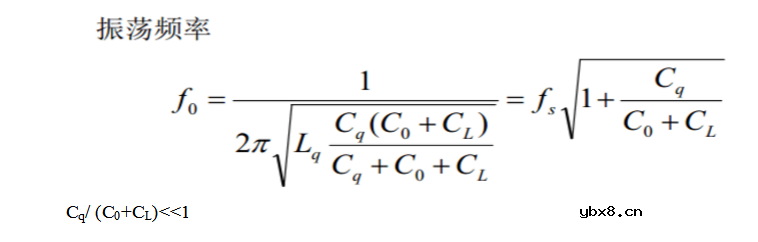
1.下图是石英晶体谐振器的等效电路:
图中C0是晶体作为电介质的静电容,其数值一般为几个皮法到几十皮法。Lq、Cq、rq是对应于机械共振经压电转换而呈现的电参数。rq是机械摩擦和空气阻尼引起的损耗。由图3-1可以看出,晶体振荡器是一串并联的振荡回路,其串联谐振频率fq和并联谐振频率f0分别为

当W<Wq或W》 Wo时,晶体谐振器显容性;当W在Wq和Wo之间,晶体谐振器等效为一电感,而且为一数值巨大的非线性电感。由于Lq很大,即使在Wq处其电抗变化率也很大。其电抗特性曲线如图所示。实际应用中晶体工作于Wq~Wo之间的频率,因而呈现感性。

设计内容及要求
2 并联型晶体振荡器

C3用来微调电路的振荡频率,使其工作在石英谐振器的标称频率上,C1、C2、C3串联组成石英晶体谐振器的负载电容CL上,其值为 CL=C1C2C3/(C1C2+C2C3+C1C3)

3.电路的选择:
晶体振荡电路中,与一般LC振荡器的振荡原理相同,只是把晶体置于反馈网络的振荡电路之中,作为一感性元件,与其他回路元件一起按照三端电路的基本准则组成三端振荡器。根据实际常用的两种类型,电感三点式和电容三点式。由于石英晶体存在感性和容性之分,且在感性容性之间有一条极陡峭的感抗曲线,而振荡器又被限定在此频率范围内工作。该电抗曲线对频率有极大的变化速度,亦即石英晶体在这频率范围内具有极陡峭的相频特性曲线。所以它具有很高的稳频能力,或者说具有很高的电感补偿能力。因此选用c-b型皮尔斯电路进行制作。

4.选择晶体管和石英晶体
根据设计要求,选择高频管2N3904型晶体管作为振荡管。查手册其参数如下: ƒT =300MHz;ß≥40,取ß =60;NPN型通用;额压:20V;Icm=20mA;Po= 0.1W;ƒß≈ƒT / ß=5 MHz。 石英谐振器可选用HC-49S系列,其性能参数为: 标称频率ƒ。=6 MHz;工作温度:-40℃~+70℃;25℃时频率偏差:士3×10-6士30×10-6;串联谐振电阻:60;负载电容:CL=10PF,激励功率:0.01~0.1mW。
5.元器件参数的计算
a)、 确定三极管静态工作点
正确的静态工作点是振荡器能够正常工作的关键因素,静态工作点主要影响晶体管的工作状态,若静态工作点的设置不当则晶体管无法进行正常的放大,振荡器在没有对反馈信号进行放大时是无法工作的。振荡器主电路的静态工作点主要由Rb1、Rb2、Re、R决定,将电感短路,电容断路,得到直流通路如图所示。


对于振荡器,当电路接为并联型振荡器时,晶体起到等效电感的作用,输出频率应为
6MHZ,则由晶振参数知负载电容CL=10pF,即C2,C3,C1串联后的总电容为10 pF 根据负载电容的定义,CL=1/[(1/C1,2)+1/C3]
由反馈系数F=C1/C2和C1,2=C1C2/C1-C2两式联立解,并取F=1/2 则C1=51pF,C2=100pF,C3=30pF
为了提高振荡器的工作性能和稳定度,在电路中还应有高频扼流圈。四.仿真:
仿真电路

调R1 可以调静态工作点;
C3用来微调电路的振荡频率,使其工作在石英谐振器的标称频率上。

,输出波形为正弦波,幅值为Vo=1.554V,输出频率f=10.08MHZ,波形有较小的失真,这是由于元件参数的精度较低导致的,该振荡器的设计符合设计要求.
新型植入式气体传感器问世,可在人体内溶解
时间:2026-03-16
美国康奈尔大学官网
时间:2026-03-16
差压传感器的典型应用_差压传感器的安装
时间:2026-03-16
建筑物中的物联网传感器可以做什么?
时间:2026-03-16
物位传感器有哪些_物位传感器的实际应用
时间:2026-03-16
物位传感器的工作原理_物位传感器的特点
时间:2026-03-16
陀螺仪传感器的分类_陀螺仪传感器有什么用
时间:2026-03-16
模糊传感器的结构_模糊传感器的应用
时间:2026-03-16
小米重磅发布人体传感器2
时间:2026-03-16
中小企业受困 CIS 芯片缺货
时间:2026-03-16
玻璃釉电容器的结构与特点
时间:2026-03-05
电阻的标称阻值和允许偏差
时间:2026-03-05
石英灯电子变压器电路原理
时间:2026-03-06
变压器并列运行的条件浅析
时间:2026-03-06
关于STM32WL LSE 添加反馈电阻后无法起振的...
时间:2026-03-05
可调电阻怎么接线
时间:2026-03-05
压敏电阻有正负极吗
时间:2026-03-05
碳膜电阻如何识别_金属膜电阻器和碳膜电阻器...
时间:2026-03-05
晶体三极管放大电路的非线形失真及其解决办...
时间:2026-03-07
怎样测试三极管的好坏,NPN三极管如何知道是...
时间:2026-03-07