boost升压电路,它通过开关管通关来控制电感储存和释放能量,从而使输出电压比输入电压高。它多用于输出高压低电流的应用场合。

当mos导通的时候,电感充电,电容C2放电,二极管截止,注意这个时候节点电压为0

mos关断,节点电压(也就是电感与mos管的节点)抬升到高于Vin ,电感放电,使本来为负载的电感变电源,电容的电压被拉高从而升压

三种工作模式
★ ccm 电感电流连续模式
主要指的是电感中的电流连续情况
低压满载容易进入电流连续模式(因为i=(u/L)T输入电压低,电流变化小)
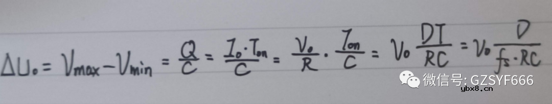
当输入是恒定电压时:

当输入是周期电压时:

★ dcm 电感电流断续模式
高压输入,轻载,会更容易跑到断续模式(因为i=(u/L)T输入电压低,电流变化大。而且轻载的时候需要的能量比较少,所以激磁快去磁也快,剩余的时间就是断续时间)
当输入是恒定电压时:

当输入是周期电压时:

boost设计与器件选型
★ 电感
如果想完全工作在CCM模式电感必须足够大,如果想完全工作在DCM模式电感必须足够小。电感的线径粗能够防止脉冲电流,电感的磁心大能够出更多的能量
★ 输出输入电容
根据需要的纹波,考虑的容值

(当电容越大纹波越小)
也要注意输入输出电容的等效电阻esr
★ 输出二极管
采用肖基特二极管,需要关注它的反向电压,最大电流和恢复时间
★ 采样电阻
需要考虑它的功率p=u²/r
★ MOS管
需要考虑它的导通和关段时间,耐压值,控制频率,栅级电压和导通电阻
Mos管前面往往需要添加限流电阻

同时限流电阻和mos管的输入电容也决定了开关频率的范围
t=5rc,一般认为时间常数的5倍才是稳定的。
什么是BCD码_BCD码怎么换算?
时间:2026-04-25
几种toString的性能对比
时间:2026-04-25
电感的三个法则
时间:2026-04-25
薄膜和厚膜电阻的区分
时间:2026-04-25
14种大功率PCB设计技巧
时间:2026-04-25
什么是RTSP? RTSP和RTMP的区别
时间:2026-04-24
LCD1602显示原理
时间:2026-04-24
什么是BGA?BGA的结构和性能
时间:2026-04-24
降低电机驱动风险:栅极驱动器隔离的关键作...
时间:2026-04-24
电阻温度系数
时间:2026-04-24
石英灯电子变压器电路原理
时间:2026-03-06
什么是室温超导?半导体时代将走向结束?芯...
时间:2026-03-09
NVIDIA CPU+GPU超级芯片大升级!
时间:2026-03-09
半导体光刻工艺 光刻—半导体电路的绘制
时间:2026-03-09
汽车芯片业应汲取的教训
时间:2026-03-09
适用于DCM、QR的同步整流ic U7710SG介绍
时间:2026-03-09
北京理工大学实现了光导型向平面光伏型量子...
时间:2026-03-09
什么是硅片或者晶圆?一文了解半导体硅晶圆
时间:2026-03-09
电阻的原理和作用 电阻色环识别图 电路中电...
时间:2026-03-09
半导体行业之ICT技术简介
时间:2026-03-09