振荡电路用于实时时钟RTC,对于这种振荡电路只能用32.768KHZ 的晶体,晶体被连接在OSC3 与OSC4 之间而且为了获得稳定的频率必须外加两个带外部电阻的电容以构成振荡电路。

32.768KHZ的时钟晶振产生的振荡信号经过石英钟内部分频器进行15次分频后得到1HZ秒信号,即秒针每秒钟走一下,石英钟内部分频器只能进行15 次分频,要是换成别的频率的晶振,15次分频后就不是1HZ的秒信号,时钟就不准了。32.768K=32768=2的15次方,数据转换比较方便、精确。
14级二进制串行计数器/分频器CC4060由两部分组成,一部分是14级分频器,另一部分是振荡器。振荡器外接用电子表的石英晶体,构成频率为32768 Hz(=215)的振荡器,32768 Hz经过CC4060十四级分频后为2 HZ,再经过一个D触发器组成的T’触发器二分频,就得到1 HZ秒信号,D触发器选用74 LS74。电路如图5所示。其中R2为直流负反馈电阻,使CC4060内部与非门工作于传输特性的线性转折区,本例取2 MΩ。C6,C7用于稳定振荡,本例取100 pF。R1C5组成上电复位电路,在接通电源瞬间产生一个微分脉冲,使CC4060输出清0,分别取10 kΩ、10 µF。

本方案电路的优点是电路简单,制成容易,成本较低,且频率的准确度也较好。可作为时钟电路的秒信号源,但其频率稳定度不及上一种电路。
555定时器是一种集模拟、数字于一体的中规模集成电路,其应用极为广泛。利用它可以很容易地接成施密特触发器、单稳态触发器和多谐振荡器,秒信号产生电路就是选用555定时器构成多谐振荡器。原理图如下图1。

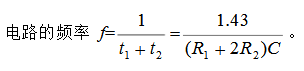
接通电源后,电容C被充电,当uc上升到2/3Vcc时,使uo为低电平,同时放电三极管T导通,此时电容C通过R2和T放电,uc下降。当uc下降到1/3VCC时,uo翻转为高电平。电容放电所需时间为:t2=R2Cln2≈0.7R2C;电容充电时间t1≈(R1+R2)Cln2≈0.7(R1+R2)C;波形如图2所示。


本例选用R1=R2=10KΩ,C选47µF。即可在输出端uo得到频率为1Hz的秒时钟信号。
本电路的优点是制作线路简单,成本不高,调节电阻R1可以调节频率,可调节占空比。缺点是由于占空比是可调的不是标准的方波,波形失真较大,且频率的稳定性差。适用于频率精度要求不高的工作场所。
工业4.0:称重传感器行业的“四一八”
时间:2026-03-16
大联大世平集团推出智能手机之指纹识别和高...
时间:2026-03-16
大联大友尚集团推出先进的ST新款动作传感器
时间:2026-03-16
Littelfuse公司的新型压装式舌簧传感器安装...
时间:2026-03-16
Dialog公司推出最低功耗的12自由度蓝牙智能...
时间:2026-03-16
SMI推出高稳定性、高精度的中等压力传感器
时间:2026-03-16
大联大品佳集团力推Liteon(光宝科技)应用...
时间:2026-03-16
Molex 为集成传感器系统提供全套印刷型传感...
时间:2026-03-16
Mouser备货业界最小的IO-Link设备收发器Max...
时间:2026-03-16
宇航员可穿戴感应器 Hexoskin助力监控生命体...
时间:2026-03-16
玻璃釉电容器的结构与特点
时间:2026-03-05
电阻的标称阻值和允许偏差
时间:2026-03-05
石英灯电子变压器电路原理
时间:2026-03-06
变压器并列运行的条件浅析
时间:2026-03-06
关于STM32WL LSE 添加反馈电阻后无法起振的...
时间:2026-03-05
压敏电阻有正负极吗
时间:2026-03-05
碳膜电阻如何识别_金属膜电阻器和碳膜电阻器...
时间:2026-03-05
晶体三极管放大电路的非线形失真及其解决办...
时间:2026-03-07
怎样测试三极管的好坏,NPN三极管如何知道是...
时间:2026-03-07
变压器的常用型号如何标识?变压器的有载如...
时间:2026-03-06