虽然在工程中基本都是用SVPWM或其变形,很少用到SPWM,但是说到SVPWM优点的时候,总是将之与SPWM做对比,因此有必要对SPWM做一些了解。
本篇主要就SPWM的几点结论进行解释。

pwm

陈伯时著作中的一段话
想要理解这段话中的前半段背后的理论,首先需要理解两个概念。
电压利用率:逆变电路输出的线电压的基波幅值和直流母线电压Ud的比值。
因为母线端的电压有限制,为了输出更大的线电压,当然也就希望电压利用率越高越好了。
调制度:逆变器输出的相电压基波幅值与SPWM在线性调制区输出的最大相电压幅值(1/2*Ud)的比值。
调制度如果大于1,则进入过调制区域,本文仅考虑线性区域,即调制度不大于1的情况。
在谈SPWM或SVPWM的时候,首先需要明确我们的需求是什么?
为了让永磁同步电机朝一个方向匀速旋转,电机的定子需要产生一个匀速旋转的磁场,去牵引电机的转子。为了产生旋转磁场,要求电机UVW三相(空间相差120度)需要加载幅值相等,且在时间上相差120度相位的正弦电流。而为了产生这样的电流波形,需要在UVW三相上加载幅值相等,时间上相差120度相位的电压波形。如何产生这样的电压波形呢?


Fig1 电源中点为参考电位0

Fig2 电源负极为参考电位0V
为什么呢?这里需要说明的是,应该说星结点处,将实际脉冲等效后的电位为固定,此处电位并非每时每刻都为固定。因为动态分析下,星结点电位是波动的。如采用Fig1所示的参考电位选择方式,那么星结点n电位可能为1/6Udc,-1/6Udc,-1/2Udc(000)和1/2Udc(111)四种情况,如采用Fig2所示参考电位选取方式,那么星结点n电位可能为2/3Udc,1/3Udc,0 (000)和Udc(111) 四种情况。
具体分析不再赘述,考虑八种开关情况(100,101,110,011,010,001,000,111)即可。
基于上面的结论,有没有发现什么规律?
Fig2中的星结点电位似乎比Fig1中的高1/2Udc?
的确如此。
Fig1经常会出现在论文和书本教材中。
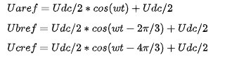
基于Fig1,若取三相参考电压(对地的端电压)为:

三相波形为:

参考电位在电源中心,Udc=360V
则通过SPWM,即可获得最大的相电压幅值Udc/2。此时星结点电压恰好等效为0V。
Fig2才是实际使用中会出现的情况。
基于Fig2,取三相参考电压(对地的端电压)为:

三相波形为

参考电位在电源负极,Udc=360V
则可通过SPWM获得最大相电压幅值Udc/2,此时星结点电压等效为Udc/2。
假设SPWM的调制波电压(对地电压)为:

当B=0时,A=Udc/2,对应Fig1中的情况,此时星结点电压为0V;当B=A=Udc/2时,对应Fig2中的情况,此时星结点电压为Udc/2。
因此,SPWM调制方式下,参考电位确定后,星结点电位应是固定不变的。
假设Udc=360V,将调制度设置为1。分别对Fig1和Fig2的情况进行分析,可知无论是Fig1还是Fig2,其相电压仿真结果均约为180V,见Fig3,即参考电位的选取不影响相电压大小。

Fig3 相电压及端电压仿真
由下图仿真结果可知,无论是Fig1 还是Fig2中选择参考电位的方式 ,其星结点的电压基波分量均为0,采用Fig1 选取参考电位的方式,星结点等效电位为0V,采用Fig2选取参考电位的方式,星结点等效电位为180V,与理论分析相符合。Fig3中同样显示了a相的端电压的仿真结果。

星结点电压仿真

陈伯时书中对SPWM的定义
首先要注意限制条件。
第一,spwm三相调制波一定要是正弦波。
如果调制波是马鞍波那就是svpwm了,不属于spwm。
如果调制波是方波,梯形波或者三角波,也不能认为是spwm。
第二,为了保证不进入过调制区域,调制波幅值不能大于直流母线电压的一半。

即正弦波峰峰值要求不大于Udc。那么调制波的幅值最大值也就只能是Udc/2,因此线电压基波幅值为Udc/2*sqrt(3)。
根据电压利用率定义,可得SPWM的电压利用率最大值为Udc/2*sqrt(3)/Udc,即约为0.866。
什么是PCA?何时应该使用PCA?
时间:2026-04-28
仪表放大器放大倍数分析
时间:2026-04-28
射频微波设计入门
时间:2026-04-28
变压器结构
时间:2026-04-28
8种进行简单线性回归的方法分析与讨论
时间:2026-04-28
什么是RS485通信接口
时间:2026-04-28
简单的上色装置
时间:2026-04-26
液晶屏对比度温度补偿
时间:2026-04-26
双输入视频多路复用的电缆驱动器
时间:2026-04-26
带有75Ω负载的抗阻匹配线路驱动器
时间:2026-04-26
NVIDIA CPU+GPU超级芯片大升级!
时间:2026-03-09
电阻的原理和作用 电阻色环识别图 电路中电...
时间:2026-03-09
什么是室温超导?半导体时代将走向结束?芯...
时间:2026-03-09
石英灯电子变压器电路原理
时间:2026-03-06
半导体光刻工艺 光刻—半导体电路的绘制
时间:2026-03-09
什么是硅片或者晶圆?一文了解半导体硅晶圆
时间:2026-03-09
汽车芯片业应汲取的教训
时间:2026-03-09
半导体行业之ICT技术简介
时间:2026-03-09
压敏电阻有正负极吗
时间:2026-03-05
实用模拟电路小常识浅析
时间:2026-03-09