今天我们来讨论一个三极管放大电路的问题,起因是在网上看到了一个“压控电流源模型”比“流控电流源模型”更好的说法,其论证依据是这样的:

首先,通过“流控电流源模型”获得基极分压式共射放大电路的电压放大系数表达式,即 Av=R C /RE (该式说明,电压放大系数是集电极电阻与发射极电阻的比值)。
读过铃木雅臣的《晶体管电路设计》一书的粉丝应该见过此式,看过《三极管应用分析精粹:从单管放大到模拟集成电路设计》(以下简称“三极管”或“原书”)的粉丝也对该式不陌生,只不过其中还给出了简单的 推导过程 ( 有分教 )。
然后,论证者将发射极电阻RE短接(即R E =0),根据上式可得该电路的电压放大系数应该为 无穷大 ,而实际电路是不可能的,算是初步揭开“流控电流源模型”不太好的序幕。
之后, 再使用“压控电流源模型”,认为三极管发射极其实串联了一个小电阻re (如何“由模型获得串联小电阻”的结论没看懂),所以实际的电压放大系数为 Av=R C /re ,而根据该式计算的结果与实际电路的电压放大系数接近,由此得出“压控电流源模型”更好或更接近物理本质。
大家觉得这个论证过程怎么样?
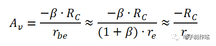
这个论证过程的主要漏洞在于第2步: 将发射极电阻RE短路后,就可以根据公式获得相应的电压放大系数为无穷大? 这个公式本身并没错,但是请注意它的来源,看看《三极管》是如何获得该公式的,如下图所示( 原书P189 ):

发现了没有?从“原始公式”到“简化后的公式”的重要前提之一是: (1+β)RE远远大于 rbe 。当你将发射极电阻RE设置为0时,(1+β)RE就是0, 此时rbe是不能忽略的 ,相应的公式应该为:

那么rbe是什么呢?如下图所示( 原书P84 ):

我们将rbe代入(忽略r bb’ ),即可进一步得到:

看到没有? 结果与前述论证的结论一致 ,所以咱姑且不讨论“压控电流源模型”是否比“流控电流源模型”更好,或更接近物理本质,但这种论证方式肯定不太严谨!
《晶体管电路设计》中的公式Av=R C /RE是通过直观简洁的方式获取(在实际应用过程中忽略一些参数不会影响使用),但如果不去理解这个公式的局限性,并且无论做什么电路分析都直接套用,就会产生类似这种不太美丽的结论,所以俺在前言中提到的“ 过多抛却理论也不利于系统深入地理解三极管及其应用 ”就是这个意思。

类似的,有些人认为“三极管是压控元器件(而不是流控元器件)”。
电场激活原位掺杂平面光伏型胶体量子点红外...
时间:2026-03-09
什么是硅片或者晶圆?一文了解半导体硅晶圆
时间:2026-03-09
集成电路的几纳米代表了什么?
时间:2026-03-09
金刚石基GaN问世 化合物半导体行业进入第三...
时间:2026-03-09
实用模拟电路小常识浅析
时间:2026-03-09
寄存器是什么?怎么操作寄存器点亮LED灯?
时间:2026-03-09
一文详解MOS管驱动电路拓扑的设计
时间:2026-03-09
汽车芯片业应汲取的教训
时间:2026-03-09
半导体光刻工艺 光刻—半导体电路的绘制
时间:2026-03-09
电阻的原理和作用 电阻色环识别图 电路中电...
时间:2026-03-09
使用过滤器电容器和诱导器来抑制受辐射的EM...
时间:2026-03-05
LED固晶机龙头直面“寒冬”
时间:2026-03-05
玻璃釉电容器的结构与特点
时间:2026-03-05
电容器入门教程
时间:2026-03-05
分析一个工作中常用的带有放大功能的高精度...
时间:2026-03-05
关于STM32WL LSE 添加反馈电阻后无法起振的...
时间:2026-03-05
绝缘电阻表的选用及使用注意事项
时间:2026-03-05
压敏电阻爆裂的原因分析
时间:2026-03-05
暑期买元器件下单立减还送华为P30pro
时间:2026-03-05
电阻的标称阻值和允许偏差
时间:2026-03-05