这一期中主要聊聊三极管,谈及三极管,但凡学过模电的都知道,先学了PN结,然后根据二极管单向导通性学的是二极管,紧接着学的就是三极管了。
三极管在模电中常常被用作放大的作用,但是在实际中也常常被用作开关作用,但是很多人在学了三极管后,就没有在实际中接触到三极管,同时也使用的是课本中“理想”的方法分析三极管电路,所以在应用中对三极管就非常“迷”,这一期首先通过课本的方式温习一遍由三极管组成的“共射电路”,然后通过查看datasheet的方式了解三极管的常用参数,接着通过实际应用的方式,设计三极管放大电路与开关电路
01
基本共射电路结构

图26 基本共射电路
如图26所示,这是由NPN三极管组成的基本的共射电路,首先一个问题它为什么叫做共射电路?这是由于输入回路由基极和发射极组成,输出回路由集电极和发射极组成,由于发射极是两个回路的公共端,所以称该电路为共射放大电路,同理共基电路、共集电路也是这个原理起名的。
这里就不介绍三极管内部工艺,直接看共射电路常见的题目。
下图所示电路,已知Vcc=15V,β=100,Ube=0.7V。请问:
(1)、Rb=50kΩ时,输出电压Uo为多少?
(2)、若T临界饱和,那么Rb至少为多少?

图27 共射电路问题
(1)
首先求得基极电流:

再求得集电极电流:

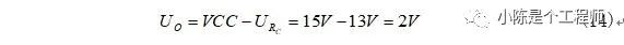
所以电阻Rc两端电压为:

最后求得输出电压Uo为:

那么怎么根据以上信息判断三极管T处于截止、饱和、放大区域呢?
可以根据以下结论判断:
截止区:发射结电压小于开启电压(反向偏置)且集电极反向偏置(集电结电压大于发射结电压):

放大区:发射结正向偏置且集电极反向偏置:

饱和区:发射结和集电结处于正向偏置:

这里要注意发射结正偏和集电结正偏是不一样的,切勿搞混淆了。
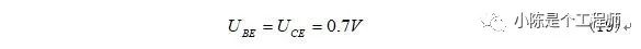
这里三极管的发射结电压Ube=0.7V,集电结电压Uce=2V,所以:

所以发射结正向偏置且集电结反向偏置,那么可以判断三极管处于放大区域。
(2)
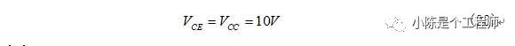
假设三极管T临界饱和,那么发射结电压以及集电结电压都刚好等于三极管BE之间开启电压:

那么求得此时集电极电流为:

那么基极电流可以根据放大倍数求得:

最后根据基极电流可以求得最大基极电阻Rb为:

此时三极管T处于临界饱和,当基极电阻Rb=45.45kΩ时,增加基极电阻Rb可以使三极管T进入放大状态,减小基极电阻可以使三极管T进入饱和状态。
02
三极管常见参数
那么在实际中要实际用三极管设计一个放大电路和一个开关电路,那该怎么考虑。在设计前要知道三极管常见的参数,这个参数一般可以从三极管的datasheet中知道,以下是某公司的SS8050具体参数:

图28 三极管极限参数
如图28所示,这是SS8050这款三极管的极限电气参数,在设计时一定要考虑不能超过这个值。
图中:
Vceo是加在c和e之间的最高的极间电压;
Vcbo是加在c和b之间的最高的极间电压;
Vebo是加在e和b之间的最高的极间电压;
Ic是指通过集电极和发射极最高电流;
Pc是三极管能承受的最高功率;
Tj是三级管可以工作的最高温度;
Tstg是三极管使用和储存的温度范围;

图29 三极管工作参数表
如图29所示,这是SS8050工作参数表,在设计时三极管时用作放大功能常常考虑Hfe(直流增益)和Vce(sat)c-e之间饱和电压:
图中:
Hfe表示在不同的Ic的放大倍数,这个不是固定值;
Vce(sat)表示三极管饱和状态下C和E之间的电压,这里测试的是最高饱和电压为0.5V,实际中常为0.3V左右;
除了三极管极限参数和工作参数外,还要适当看看三极管的特性曲线,这里取了三极管BE电压与温度关系曲线、Vce(sat)与温度关系曲线、直流增益与Ic关系曲线等:

图30 三极管BE电压与温度关系曲线图
如图30所示,当三极管温度上升后,BE之间的电压降低了且随着Ic之间电流增大而增大,这个主要原因就是BE之间相当于二极管,有着负温度系数,当温度上升,开启电压降低。

图31 三极管CE饱和电压与集电极电流Ic关系曲线图
如图31所示,温度的变化对三极管CE之间的饱和电压影响不大,在不是很精密的场合,可以不考虑。

图32 三极管直流增益与集电极电流Ic关系曲线图
如图32所示,温度上升可以提高三极管直流增益,且随着集电极电流Ic上升到一定程度,直流增益明显下降,所以在设计时集电极电流不能太大。
03
实际应用设计分析
以下是实际应用中将三极管配置成开关作用。
首先我们要学会算,根据如下图中所示电路以及参数,计算:
(1)、当三极管开关断开时,如果Vin=0V,那么Vce为多少?
(2)、如果想让三极管开关完全闭合,那么Ib至少为多大?
(3)、如果Vin=5V,那么Rb最大值为多少?

图33 三极管开关电路
如图33所示,这是用NPN三极管设计的一个开关电路,实际应用中三极管的发射极直接接地,而集电极处接电阻Rc用作限流。
(1)、
当三极管开关断开时,即三极管截止,那么集电极电流ic=0A,所以:

(2)、
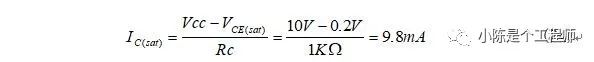
当三极管完全闭合时,三极管CE之间就为饱和电压,一般可以设Vce(sat)=0.2V,那么此时集电极电流Ic(sat)为:

在饱和区,三极管直流增益hfe就要“打折”,假设hfe=50,那么求得基极电流:

Ib此时已经可以令三极管达到饱和状态了,Ic=Ic(sat)。如果此时继续提高Ib就会让三极管进入深度饱和状态,Ic就不会增加了。
那么在选型时,要注意是否超过三极管极限参数中的Ic电流。
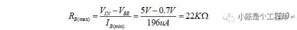
(3)、
三极管饱和时,Vbe=0.7V,于是可以根据Ib(min)求得基极电阻最大值为:

在实际选型时根据功率:

那么此时可以选择0603-5%的电阻,或者其他封装比1mW高的电阻。
那么在选型时,要注意是否超过三极管极限参数中的Pc功率。
在设计时一般先选择集电极电阻Rc,然后根据集电极电流Ic并缩小直流增益可以求得最小需要的基极电流Ib(min),接着可以求得最大的基极电阻,就可以配置三极管处于开关状态了。
接着是实际应用中将三极管配置成放大作用。
假如现在要设计一个将峰峰值Vp-p=1V,放大倍数Av=5的共射电路,那么该如何选择电源,电阻配置该怎么选择?下图是共射放大基本电路。

图34 实际中共射放大基本电路
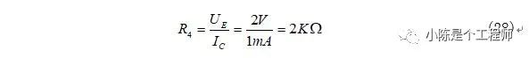
如图34所示,其中R1和R2为三极管Q提供基极静态电压,R3和R4为放大电路提供放大倍数,C3和C4为耦合电容,C1和C2为旁路去耦电容。设计时先确定好集电极电流Ic,这里选择集电极电流Ic为1mA,由于集电极电流Ic和发射极电流Ie是相等的,所以也先确定好反射极的电位。
由于三极管BE极之间的二极管是随着外界温度变化的,大概是2mv/℃,所以在设计发射极的电位时要比大很多,这样就算外界温度变换引起二极管BE之间的电压变化,对于发射极电压影响不大,这里选择发射极电压为2V,那么可以根据集电极电流Ic与发射极电压Ue,确定R4的大小:

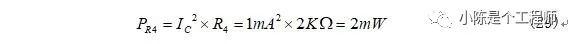
精度上可以选择5%,功率为:

然后根据功率可以选择合适封装的电阻,这里选择0603(0.1W)封装。
三极管Q的BE之间的导通电压一般为0.6V,所以三极管Q基极电压Vb为:

所以要根据电阻R1和电阻R2将基极电压配置为2.6V。这里没有确定外界电源大小,所以放在后面分析。
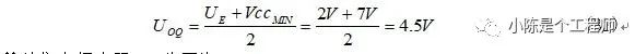
在选择电阻R3的参数是,先要分析,如何配置输出信号的直流偏置点?
由于发射极电压Ve=2V,而输出电压的峰峰值Uo(p-p)=5V,所以外界电源大小最小应该要为7V:

所以输出电压的直流偏置点为:

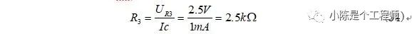
所以集电极电阻R3分压为:

那么根据集电极电流Ic可以求得集电极电阻:

然后精度上可以选择5%的电阻,功率为:

然后根据功率可以选择合适封装的电阻,这里选择0603(0.1W)封装。但是这样算是不是有点问题?
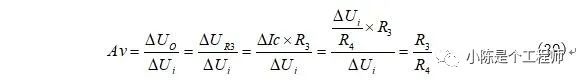
在选择电阻R3的参数时,还要进行分析,放大倍数Av与什么有关,怎么计算的?
在由于三极管BE之间相当于二极管,所以在导通的情况下,对于信号是直接传递的,所以输入信号的变化量直接加到了发射极电阻R4上:

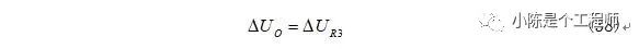
由于发射极电流和集电极电流近似相等,所以集电极电阻R3电压上电压的变化量为:

由于输出电压Uo是电源电压减去集电极电阻R3上的电压,而集电极电阻R3电压是变化的,所以输出电压Uo也是变化的,并且它们的变化量是一样的,所以输出电压Uo的变化量等于集电极电阻R3电压的变化量:

根据公式31、32、33可以求得放大倍数Av为:

所以放大倍数由电阻R3和电阻R4决定的,由于要设计放大倍数Av=5的电路,求得R4=2kΩ,那么集电极电阻R3为:

精度上也可以选择5%的,功率为:

然后根据功率可以选择合适封装的电阻,这里选择0603(0.1W)封装。
两种分析得出的R3都不一样,在实际中要怎么解决这个问题呢?分析顺序还是相同的,先根据输出直流偏执点求得集电极电阻R3的大小,但是在放大倍数那,可以在发射极电阻并联电容和电阻来改变放大倍数,如下图所示:

图35 共射电路扩大放大倍数图
如图35所示,在电阻R4上并联电容C5和电阻R5可以提高放大倍数Av,由于电容具有“隔直通交”的特性,所以此时放大倍数为:

由于算输出静态偏置点时求得集电极电阻R3为2.5KΩ,所以可以设计:

可以近似取R5为500欧姆,实际上放大倍数设置5时由于三极管内部的寄生电容的影响会有一定的衰减,这里扩大一定裕量,实际放大倍数Av:

同时电阻R5也可以选0603封装,电容C5和电阻R5组成高通滤波器,C5的值影响放大电路的高频特性,但是不考虑的话,可以选10uf/0603电容。
由于VCC选取7V电压,那么三极管基极静态电压偏置为2.6V,假设三极管放大倍数为200倍,那么基极电流Ib为:

所以I1电流之路流过几百微安的电流,基极电流抽出几微安电流是没什么影响的。假定I1为500uA,那么电阻R1为:

根据Vb电压为2.6V可以求得电阻R2:

实际中根据功率,电阻R1和电阻R2可以选择0603(5%)的封装。
电路中旁路电容C1可以选择10uF/0603,电容C2可以选择100nF/0603,耦合电容决定的电路的高频特性,这里选择10uF/0603。
04
仿真验证
以下通过仿真软件对上述三极管开关电路和放大电路进行仿真验证:

图36 三极管饱和导通仿真
如图36所示,根据上述参数设计左边三极管处于饱和导通状态,增加基极电阻Rb那么三极管将处于放大状态。

图37 三级管放大电路仿真分析
如图37所示,根据计算的参数仿真可得,基极静态电压为2.57V,输出电压静态点为4.77V,发射极电压为1.8V,结果还是比较准确的,也因三极管而异。

图38 三极管波形分析
如图38所示,红线波形是放大后的信号,蓝色线是输入信号,输出信号的峰峰值为4.619V,输入信号的峰峰值为1V,放大倍数为4.6倍,与实际值相差不多,验证成功。

图39 三极管放大倍数分析
如图39所示,用波特测试仪对输入信号和输出信号进行分析,增益为15db,而理论上的增益为:

15db与理论值相差不多,所以增益验证正确。
家庭安全用电注意事项有哪些?_由电引起的火...
时间:2026-03-09
睡前玩手机不仅不利于睡眠,而且在床头充电...
时间:2026-03-09
电工知识如何根据设备功率正确选择电源线径...
时间:2026-03-09
防范电气火灾知识你知道多少,来来来这里给...
时间:2026-03-09
触电事故是我市工矿商贸类企业常见的生产安...
时间:2026-03-09
火线和地线之间电压220V,火线零线之间满意...
时间:2026-03-09
单相电机+双电容,哪个是启动电容哪个是运行...
时间:2026-03-09
电线连接别用黑胶布了,老电工都用这种材料...
时间:2026-03-09
适配全球各国电源接口,最小的充电插头!还...
时间:2026-03-09
三相电原理、接法与单相电、两相电相同吗?...
时间:2026-03-09
使用过滤器电容器和诱导器来抑制受辐射的EM...
时间:2026-03-05
LED固晶机龙头直面“寒冬”
时间:2026-03-05
玻璃釉电容器的结构与特点
时间:2026-03-05
电容器入门教程
时间:2026-03-05
分析一个工作中常用的带有放大功能的高精度...
时间:2026-03-05
关于STM32WL LSE 添加反馈电阻后无法起振的...
时间:2026-03-05
压敏电阻爆裂的原因分析
时间:2026-03-05
暑期买元器件下单立减还送华为P30pro
时间:2026-03-05
电阻的标称阻值和允许偏差
时间:2026-03-05
石英灯电子变压器电路原理
时间:2026-03-06