热敏电阻介绍
热敏电阻(Thermistor)是一种传感器电阻,其电阻值随着温度的变化而变化,其体积随温度的变化比一般的固定电阻要大很多。组成热敏电阻的材料一般是陶瓷或聚合物,在有限的温度范围内能实现较高的精度,通常是-90℃~130℃。和热敏电阻类似的有使用纯金属(RTD)制作的电阻温度计,适用于较大的温度范围。
假设温度和电阻的变化为线性,热敏电阻和温度之间有关系式:
∆R=K∆T
其中,K称为温度系数,热敏电阻根据温度系数K分为两类:
K为正值,电阻值随着温度的升高而增大,称为正温度系数热敏电阻(PTC);
K为负值,电阻值随着温度的升高而减小,称为负温度系数热敏电阻(NTC);

注意:对于热敏电阻而言,K一般不是固定的值,温度和电阻值之间呈现非线性。而RTD温度和电阻值之间呈现线性。

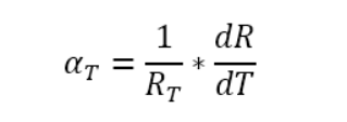
由于实际条件下,∆R,∆T是非线性的,所有很少用温度系数K来描述热敏电阻的性能,而是使用电阻温度系数来aT描述,定义如下:

这个公式反应电阻随温度的变化率,电阻温度系数越大,说明热敏电阻对温度越敏感,能感知到热量的变化越明显。
根据上述原理,热敏电阻主要有以下6种使用场合:
1.过液面控制
2.温度测量
3.温度补偿
4.温度限制
5.温度保护
6.过热保护
负温度系数(NTC)电阻
NTC是NegaTIve Temperature Coefficent 的缩写,意思是负的温度系数,泛指负温度系数很大的半导体材料或元器件,所谓NTC热敏电阻器就是负温度系数热敏电阻器。
它是以锰(Mn)、钴(Co)、镍(Ni)、铝(Al)、锌(Zn)等两种或者两种以上高纯度金属氧化物为主要材料, 经共同沉淀或水热法合成的纳米粉体材料,后经球磨充分混合、静压成型、高温烧结、半导体切片、划片、玻封烧结或环氧包封等封结工艺制成的,接近理论密度结构的,半导体电子陶瓷材料。这些金属氧化物材料都具有半导体性质,因为在导电方式上完全类似锗、硅等半导体材料。
它具有电阻值随着温度的变化而相应变化的特性。温度低时,这些氧化物材料的载流子(电子和孔穴)数目少,所以其电阻值较高;随着温度的升高,载流子数目增加,所以电阻值降低。
NTC热敏电阻器在室温下的变化范围在100~1500000欧姆,温度系数-2%~-5%。外观形状一般有引线型、片状型等,如下图所示。

根据前面的介绍,NTC电阻的特性是温度系数K为负,即温度升高,电阻值减小。

由上面的曲线可知,如果知道NTC电阻的阻值,就能计算出当前的温度。计算方法如下

其中,T是温度,单位为K,R0是周围温度为T0 (K) 时的电阻值,B为常数。B常数随温度变化,反应了热敏电阻的电阻值变化倾向,通常称为材料B值。影响B值的因素有:
材料成分比例、烧结温度、烧结气氛和结构
下面以MF52A热敏电阻为例,来说明B常数,

从MF52A的手册中可以看出,在25~50℃和25~85℃两个不同的温度范围内,NTC电阻的B值是不一样的。这就提醒在使用热敏电阻做温度传感器时,需要注意测温范围和B值的确定。
应用举例
具有负温度系数特征的热敏电阻具有灵敏度高、稳定性好、响应快、寿命长、成本低等特点,NTC热敏电阻器可广泛应用于温度测量、温度补偿、抑制浪涌电流等场合。
热敏电阻用于防浪涌
热敏电阻在开关电源输入电路中应用也比较多,主要是用来防止开机浪涌大电流对系统造成破坏。常温时,热敏电阻的阻值是KΩ级,电源接通后,流过热敏电阻的电流产生热量,温度上升,阻值下降;电源稳定时,热敏电阻的阻值降为了几Ω甚至更低,因此,不会消耗太多的能量。

当然,如果连续快速的多次上下电,NTC电阻也无法启到防浪涌的目的。
热敏电阻用于温度监测
锂离子电池的接口一般有三根线,分别为:正,负,NTC。在锂电池内部搭载的NTC热敏电阻就是用来监控电池正常使用过程中以及充电时的温度。电池温度上升时,NTC热敏电阻温度也会随之上升,从而电阻值会下降,当超过上限充电温度时,充电控制IC将会停止充电。如果设备要进行销售到国外的安规认证,有些文件中明确指出,锂电子组必须带有NTC温度监测才行。

总结
热敏电阻具有阻值和温度之间呈相关性的特点,广泛用于各种电子设备中。在使用热敏电阻时,需要考虑是选择PTC还是选择NTC。由于温度和阻值之前呈现非线性的特点,如果用在精确测温时,往往需要考虑到它自身的B值,以及线性拟合的方法。
审核编辑:刘清
电芯、电池模组和电池包三者有什么区别?如...
时间:2026-03-22
电池怎么做绝缘处理?电池模组绝缘片起到什...
时间:2026-03-22
电池模组绝缘片的制造工艺有哪些,它们对电...
时间:2026-03-22
亿纬锂能麟驹系列电动两轮车电池首批发货仪...
时间:2026-03-22
在电池模组中,除了绝缘片,还有哪些措施可...
时间:2026-03-22
深度解读广汽全固态电池技术
时间:2026-03-22
广汽科技全固态电池与无图纯视觉智驾引领智...
时间:2026-03-22
天合光能新一代柔性储能电池舱Elementa 2真...
时间:2026-03-22
锂电池和超级电容器哪个更耐用
时间:2026-03-22
“固态电池”和“半固态电池”是水火不容吗...
时间:2026-03-22
住宅小区负荷与变压器容量的选择技巧
时间:2026-03-06
光伏控制器简介
时间:2026-03-06
三极管的主要参数
时间:2026-03-07
HTCC:半导体封装的理想方式
时间:2026-03-06
石英灯电子变压器电路原理
时间:2026-03-06
变压器并列运行的条件浅析
时间:2026-03-06
玻璃釉电容器的结构与特点
时间:2026-03-05
电阻的标称阻值和允许偏差
时间:2026-03-05
半导体三极管的技术参数
时间:2026-03-07
碳膜电阻如何识别_金属膜电阻器和碳膜电阻器...
时间:2026-03-05