为了抗击新型冠状病毒肺炎(COVID-19)疫情这一全球性挑战,大量研究人员投入到了相关的疫苗、药物和检测机制的研究和开发中。
其中,COVID-19的检测对于及时治疗和隔离,以挽救患者的生命并有效阻止COVID-19疾病的传播至关重要。
而生物传感技术对于检测和控制这类疾病发挥着至关重要的作用。在各种生物传感技术中,场效应晶体管(FET)因其能够有效检测出样本中存在的少量COVID-19病毒而具有独特的地位。
据麦姆斯咨询报道,近期,来自阿联酋大学(United Arab Emirates University)的研究人员于Scientific Reports期刊发表题为“Real-time COVID-19 detection via graphite oxide-based field-effect transistor biosensors decorated with Pt/Pd nanoparticles”的论文,报道了一种用于实时检测溶液中COVID-19刺突抗原的氧化石墨烯场效应晶体管(GO-FET)电子生物传感器。
该GO-FET生物传感器采用双金属铂/钯(Pd/Pt)纳米颗粒修饰,用于COVID-19病毒的特异性检测。其中,Pd/Pt纳米颗粒通过溅射和惰性气体冷凝技术在超高真空兼容系统中生成,并在氧化石墨烯上进行自组装。之后,氧化石墨烯通道被新冠病毒(SARS-CoV-2)刺突抗体功能化。
最后,通过测量其对1fg/ml至100ng/ml浓度范围内的刺突蛋白的动态响应,明确了这种新型COVID-19生物传感器的性能。
场效应晶体管生物传感器的制备
这款GO-FET生物传感器采用由p型硅(Si)衬底以及覆盖其上的二氧化硅(SiO2)介电层组成的p型硅片(Si/SiO2)制备。图1展示了GO-FET生物传感器的制作步骤。首先使用丙酮、乙醇和去离子水来清洁硅片。然后用氮气干燥。接着,采用热蒸发工艺以及不锈钢掩膜将源极和漏极沉积到p型硅片衬底上。
在该研究中,源极和漏极由5纳米的镍铬(NiCr)层和50纳米的金(Au)层组成,其中NiCr层用于提高硅片与Au电极之间的粘附性。然后,在Au电极之间沉积一滴4mg/mL的商用氧化石墨烯(GO),并在室温下放置24小时干燥,形成场效应晶体管通道。

场效应晶体管(FET)的特性
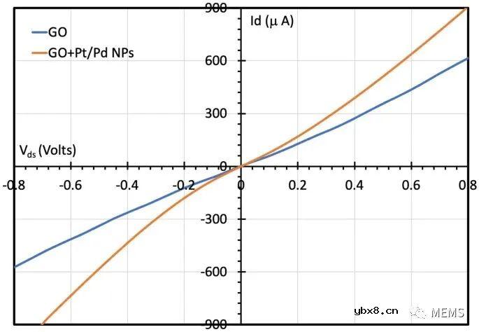
在室温下读取GO-FET的电特性。图2显示了在有无修饰Pd/Pt纳米颗粒的情况下,传感器的漏极电流(Id)与漏源极电压(Vds)曲线。
图中显示了Id和Vds之间的线性关系,其中Id随着Vds的增加而增加。可以注意到的是,双金属纳米颗粒的加入导致在相同的Vds下有更高的Id,因为Pd/Pt的双金属纳米颗粒比氧化石墨烯表现出更高的导电性。

传感机制
图3展示了这款GO-FET生物传感器的工作机制。如图3a所示,电极由Au制成,而通道由半导体氧化石墨烯制成。
图3b、3c分别显示了被固定到氧化石墨烯通道上的COVID-19刺突蛋白抗体以及被抗体所捕获的COVID-19刺突蛋白靶分子。
如图3d所示,当带负电荷的靶分子与GO-FET生物传感器结合时,载流子的耗竭导致电流下降。此外,加入磁性COVID-19刺突蛋白抗体后,电流进一步减小,如图3e、3f所示。

此外,为了研究GO-FET生物传感器的性能,研究人员利用中东呼吸综合征(MERS)刺突蛋白抗体或COVID-19刺突蛋白抗体将GO-FET通道功能化。如图4所示,由MERS抗体功能化的GO-FET没有因加入COVID-19刺突抗原而显示出任何显著的电流变化。
而如图5所示,GO-FET被COVID-19刺突抗体功能化后能够检测COVID-19刺突抗原。因此,COVID-19刺突抗体是与COVID-19刺突抗原特异性结合所必需的。
进一步地,研究人员研究了用Pd/Pt双金属纳米颗粒修饰的GO-FET生物传感器,并使用COVID-19刺突抗体对传感器进行了功能化,如图5b所示。研究发现,含有纳米颗粒的生物传感器启动电流比不含纳米颗粒的生物传感器启动电流高。
此外,修饰纳米颗粒但未修饰磁性抗体的生物传感器的ΔI为4.3μA,修饰纳米颗粒和磁性抗体的生物传感器的ΔI为21.66μA。
未修饰纳米颗粒和磁性抗体的生物传感器的ΔI为4.2μA,未修饰纳米颗粒但修饰磁性抗体的生物传感器的ΔI为10.96μA。这表明单独修饰磁性标记二抗或Pt/Pd纳米颗粒或两者都修饰均可提高该生物传感器的灵敏度。


综上所述,该研究所开发的GO-FET生物传感器为检测COVID-19刺突抗原提供了一种快速、灵敏和简单的方法,并有用于检测生物样品中COVID-19病毒的潜力。这种检测技术还可以用于检测其他类型的病毒和细菌抗原,以及各种疾病的生物标记物。
论文链接:
https://doi.org/10.1038/s41598-022-22249-2
审核编辑:刘清
新型植入式气体传感器问世,可在人体内溶解
时间:2026-03-16
美国康奈尔大学官网
时间:2026-03-16
差压传感器的典型应用_差压传感器的安装
时间:2026-03-16
建筑物中的物联网传感器可以做什么?
时间:2026-03-16
物位传感器有哪些_物位传感器的实际应用
时间:2026-03-16
物位传感器的工作原理_物位传感器的特点
时间:2026-03-16
陀螺仪传感器的分类_陀螺仪传感器有什么用
时间:2026-03-16
模糊传感器的结构_模糊传感器的应用
时间:2026-03-16
小米重磅发布人体传感器2
时间:2026-03-16
中小企业受困 CIS 芯片缺货
时间:2026-03-16
玻璃釉电容器的结构与特点
时间:2026-03-05
电阻的标称阻值和允许偏差
时间:2026-03-05
石英灯电子变压器电路原理
时间:2026-03-06
变压器并列运行的条件浅析
时间:2026-03-06
关于STM32WL LSE 添加反馈电阻后无法起振的...
时间:2026-03-05
可调电阻怎么接线
时间:2026-03-05
压敏电阻有正负极吗
时间:2026-03-05
碳膜电阻如何识别_金属膜电阻器和碳膜电阻器...
时间:2026-03-05
晶体三极管放大电路的非线形失真及其解决办...
时间:2026-03-07
怎样测试三极管的好坏,NPN三极管如何知道是...
时间:2026-03-07