有了漏电保护也需要地线。因为漏电保护器、接地保护同时采用安全更有保障,这其中的道理很简单:
1、有接地无漏保的情况
当漏电产生的电流不足以让熔断器(断路器)熔断(跳闸)切断电源时,漏电现象会一直存在,尽管漏电电压不一定和电源电压一样高,但是触碰带电外壳还是很危险的。
2、有漏保无接地的情况
当电器的金属外壳漏电时,因为没有接地线就没有漏电电流产生,漏电保护器不会动作跳闸切断电源,危险的电压一直存在着,直至有人碰到带电的外壳才动作跳闸,这显然相当被动。
更安全:
有地线时,设备万一漏电便漏至设备的金属外壳,经地线入地→漏电保护开关跳闸;
无地线时,设备万一漏电便漏至设备的金属外壳,漏电流无法入地(或经设备台架只很小漏电流入地),漏电保护开关检测不到设备已漏电→漏电保护开关不跳闸;直至我们人手触及已漏电的设备时,漏电流经人体入地→漏电保护开关跳闸。
所以有地线时更安全。
首先,先给出结论:漏电保护器与地线是从属关系。有了地线,才具有安装漏电保护器的可能;反过来,若没有地线,安装了漏电保护器毫无用处。
为了能够明确其中的道理,我们从最简单的直流电路开始谈起。

图1是直流电路,它有电源E,也有电源内阻r,还有外接的电阻箱R。注意到外接电阻箱R有一个金属外壳。
设从电源E的正端流向电阻R的电流是I+,流出电阻R并返回电源的电流是I-。由于电路属于串联电路,因此这两个电流大小相等,方向相反。令两者之和为Id,于是有:
例如,电池电压为6V,它的内阻r=0.1欧,外电阻R=10欧,于是有:
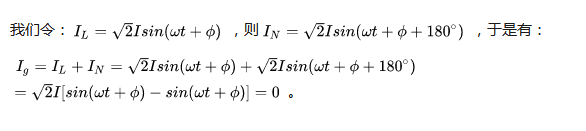
我们令I+的方向为正方向,则有:
我们来看图2,它依然是直流电路。图中把电阻箱的金属外壳通过接地电阻Rg接到电源负极,也即接地。
当电源的正极未与电阻箱的外壳相接时,什么也不会发生。
现在,我们让电源正极引线与电阻箱外壳相接(以下简称碰壳事故)。仔细看图,我们会发现接地电阻Rg其实是与负载电阻R并联的。于是我们发现了一个关键现象:
也就是说,此时的I+和I-虽然方向依然相反,但已经不再是大小相等了。(提示:从现在开始,漏电电流就用它的标准符号Ig来描述了)。
由于Rg的值往往很小,因此Ig的值很大,近似于电源正负极之间的短路电流,因此在电路中需要配备熔断器来保护。
注意1:由于图2中的接地电流很大,近似等于电源短路电流,所以我们把这种接地系统叫做大电流接地系统。
注意2:大电流接地系统的线路保护依靠过电流保护装置,即熔断器或者断路器。
我们来看图3:图3其实就是把图1中的直流电源(电池)换成交流电源。与图1一样,我们也可以做出结论:IL与IN大小相等方向相反。

和图2的结论一致,尽管是交流电流。
我们来看图4:我们发现图4与图2类似,我们也可以推出完全类似的结论:
由于正常状态下,IL与IN大小相等方向相反,故Ig=0;一旦发生电阻箱碰壳事故,则Ig不等于零,说明发生了漏电。
国家标准规定,Rg的值不得大于4欧,而一般状态下Rg的值在0.2欧到0.8欧之间,因而接地电流很大,接近电源相线对零线的短路电流。也因此,它被称为大电流接地系统。
前面说过,对于大电流接地系统,一般依靠电路前端的断路器或者熔断器来保护线路。
这种交流电路中的接地属于TN-C、TN-S和TN-C-S接地系统。下图是国际电工委员会IEC给出来的TN-C接地系统标准图:

看,和我给出来的图4何其相似。
不过,到目前为止,我们还没有谈到漏电保护器。我们马上就要讲到它了。

图5中,我们看到用电设备的外壳直接接地,碰壳事故的接地电流并没有通过电源提供的N线返回电源,而是走地网再返回电源。
我们当然知道,地网的电阻Rg远远大于PEN线或者PE线的电阻。这是第一个问题。
其次,我们发现不知道该如何同时测量IL与IN。若不同时测量这两个电流,我们就没法得知两个电流之差。这是第二个问题。
如何解决这两个问题?
对于第二个问题,我们采用零序电流互感器来同时测量IL与IN。

将图6与图5对照着看,立刻就明白了。
由于Ig=IL-IN,且当IL与IN的值相等而方向相反时,两者平衡,零序电流互感器没有输出;当IL与IN的值不相等时,Ig不等于零,于是零序电流互感器输出到操动机构中,产生脱扣力驱动前端的断路器执行跳闸操作。
这个装置就叫做RCD,器件名称是:漏电保护器或者剩余电流保护器。
对于第一个问题,在IEC60364《接地系统》中规定,若电力变压器的中性点直接接地,而用电设备的外壳也直接接地,两者之间没有导线连接,这种接地系统叫做TT。

图中我们看到了电力变压器(左上侧)的中性点直接接地,用电设备(中下)的外壳直接接地(PE线),两个接地极依靠地网连接。
IEC规定,TT接地系统必须使用RCD。
至此,我们应当明白了:
(1)用电设备的外露导电部分(外壳)直接接地线PE;
(2)在上条得到满足的条件下,使用RCD漏电保护器,就能在发生单相接地故障(用电设备的碰壳事故)时,RCD将驱动断路器跳闸,以保护人身安全;
(3)对于TT系统,IEC和国家标准强制性地要求必须使用RCD。
最后的结论就是开头的那句话:
漏电保护器与地线是从属的关系:地线是安装漏电保护器的充分条件。也就是说,安装了漏电保护器,可以推断系统中一定有地线;但反过来,若仅有地线,未安装漏电保护器也行。事实上,在大电流接地系统TN下,可由普通开关的过电流保护装置来执行线路的漏电保护。
知道原因是什么?大电流接地系统下,漏电流已经被放大为相对N或者相对零的短路电流,故可以用过电流保护装置来执行保护操作。
什么是PCA?何时应该使用PCA?
时间:2026-04-28
仪表放大器放大倍数分析
时间:2026-04-28
射频微波设计入门
时间:2026-04-28
变压器结构
时间:2026-04-28
8种进行简单线性回归的方法分析与讨论
时间:2026-04-28
什么是RS485通信接口
时间:2026-04-28
简单的上色装置
时间:2026-04-26
液晶屏对比度温度补偿
时间:2026-04-26
双输入视频多路复用的电缆驱动器
时间:2026-04-26
带有75Ω负载的抗阻匹配线路驱动器
时间:2026-04-26
NVIDIA CPU+GPU超级芯片大升级!
时间:2026-03-09
电阻的原理和作用 电阻色环识别图 电路中电...
时间:2026-03-09
什么是室温超导?半导体时代将走向结束?芯...
时间:2026-03-09
石英灯电子变压器电路原理
时间:2026-03-06
半导体光刻工艺 光刻—半导体电路的绘制
时间:2026-03-09
什么是硅片或者晶圆?一文了解半导体硅晶圆
时间:2026-03-09
汽车芯片业应汲取的教训
时间:2026-03-09
半导体行业之ICT技术简介
时间:2026-03-09
压敏电阻有正负极吗
时间:2026-03-05
实用模拟电路小常识浅析
时间:2026-03-09