利用单片机实现极简单的测温电路
单片机在电子产品中的应用已经越来越广泛,在很多的电子产品中也用到了温度检测和温度控制,但那些温度检测与控制电路通常较复杂,成本也高,本文提供了一种低成本的利用单片机多余I/O口实现的温度检测电路,该电路非常简单,且易于实现,并且适用于几乎所有类型的单片机。其电路如下图所示:

图中:
P1.0、P1.1和P1.2是单片机的3个I/O脚;
RK为100k的精密电阻;
RT为100K-精度为1%的热敏电阻;
R1为100Ω的普通电阻;
C1为0.1μ的瓷介电容。
其工作原理为:
1.先将P1.0、P1.1、P1.2都设为低电平输出,使C1放电至放完。
2.将P1.1、P1.2设置为输入状态,P1.0设为高电平输出,通过RK电阻对C1充电,单片机内部计时器清零并开始计时,检测P1.2口状态,当P1.2口检测为高电平时,即C1上的电压达到单片机高电平输入的门嵌电压时,单片机计时器记录下从开始充电到P1.2口转变为高电平的时间T1。
3.将P1.0、P1.1、P1.2都设为低电平输出,使C1放电至放完。
4.再将P1.0、P1.2设置为输入状态,P1.1设为高电平输出,通过RT电阻对C1充电,单片机内部计时器清零并开始计时,检测P1.2口状态,当P1.2口检测为高电平时,单片机计时器记录下从开始充电到P1.2口转变为高电平的时间T2。
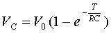
5.从电容的电压公式:

什么是PCA?何时应该使用PCA?
时间:2026-04-28
仪表放大器放大倍数分析
时间:2026-04-28
射频微波设计入门
时间:2026-04-28
变压器结构
时间:2026-04-28
8种进行简单线性回归的方法分析与讨论
时间:2026-04-28
什么是RS485通信接口
时间:2026-04-28
简单的上色装置
时间:2026-04-26
液晶屏对比度温度补偿
时间:2026-04-26
双输入视频多路复用的电缆驱动器
时间:2026-04-26
带有75Ω负载的抗阻匹配线路驱动器
时间:2026-04-26
NVIDIA CPU+GPU超级芯片大升级!
时间:2026-03-09
电阻的原理和作用 电阻色环识别图 电路中电...
时间:2026-03-09
什么是室温超导?半导体时代将走向结束?芯...
时间:2026-03-09
石英灯电子变压器电路原理
时间:2026-03-06
半导体光刻工艺 光刻—半导体电路的绘制
时间:2026-03-09
什么是硅片或者晶圆?一文了解半导体硅晶圆
时间:2026-03-09
汽车芯片业应汲取的教训
时间:2026-03-09
半导体行业之ICT技术简介
时间:2026-03-09
压敏电阻有正负极吗
时间:2026-03-05
实用模拟电路小常识浅析
时间:2026-03-09