系统中的噪声限制了一个电路能够正确处理的最小信号电平,它与功耗、速度、线性度之间是相互制约的。比如在一个接收机中,系统整体的噪声系数和系统带宽和载噪比共同决定该接收机的灵敏度,越低的噪声系数意味着接收机能检测并接收到更低的信号功率,其灵敏度越高。这说明了在电路中进行噪声优化和分析的必要性。此篇通过分析电阻和MOS管器件噪声的来源,主要介绍二端口网络噪声分析方法,并在设计低噪声放大器时应用该方法对器件合理选型以在输入匹配的前提下实现尽可能低的噪声系数。
01
基本噪声源
由于噪声是一个随机变量,直接从时域研究幅值较为困难,因此可以根据噪声的统计特性,可以将噪声利用功率密度谱的方式定义成S(f),其单位为

噪声通过大类大致可分为热噪声、散粒噪声、闪烁噪声、爆米噪声等。对于散粒噪声,在MOSFET中几乎不是一个显著的噪声;对于神秘的MOS管闪烁噪声,其公式包含着各种经验参数,比较统一的结论是电荷的捕获现象能够解释1/f噪声的产生、增大晶体管可以减少1/f噪声等,在混频器和VCO中也存在对闪烁噪声的分析;对于爆米噪声,用数学描述它的意义不大,因为它时时在发生变化,同样人们对其认知也有限。一般,由于希望通过建模的方式去分析噪声,因此我们侧重于分析热噪声(由于其比较成熟的理论公式和来源分析)。
电阻热噪声公式:


MOS管沟道和栅热噪声公式:


上述公式的推导和现代理论对于上述公式的修正和考虑可以参见参考文献。
02
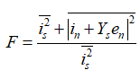
二端口网络的噪声因子
网络噪声性能的优劣主要通过噪声因子来衡量,可以定义为:

进一步,为适用不同二端口网络的分析,网络的噪声特性可以用输入参考噪声电压




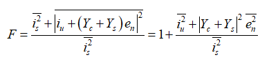
这里的二端口网络由一个导纳



由于






观察上式,






则噪声因子最后可以只用阻抗和导纳项表示:

观察上式,







噪声因子可以表示成:


03
MOS管的端口网络噪声参数
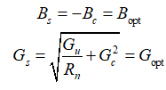
在具体的网络分析中,掌握模型内部的噪声源在输入的表示还是必要的,这有助于推算每个网络特性参数,最后代入通式求解。对于单个MOS,若要进行噪声匹配,可以计算出输入网络噪声参数:



可以知道最优信号源电导值为:

又由





设计中通常要求网络对外展现一定的输入阻抗(如50欧),问题转变为在固定输入阻抗下的最优噪声系数求解。
04
源退化匹配下的噪声优化
为了获得50欧的输入阻抗,除了利用电阻强制匹配,负反馈电阻匹配,共栅电路匹配(沟道电阻)之外(这三种的信号通路都存在有噪声的电阻),一种比较巧妙的办法能够在不加入真实电阻的情况下获得输入阻抗的电阻分量,从而不降低放大器的噪声性能,即源退化电感结构。

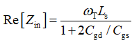
对于单管的输入阻抗大家都比较熟悉,但对于源退化单管,由于器件尺寸的缩小


同时随着频率的上升,


这直接要求我们利用Cascode结构和增加源退化电感值来减小输入阻抗的波动。
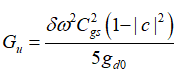
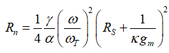
同样对于这种方式,依然可以求解输入网络噪声参数(




可求出对应的噪声因子:

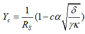
在上式中若保持过驱动电压固定的情况下,意味着截止频率


对上式的



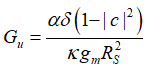
此时最优跨导为:

由于截止频率



则MOS管的最优宽度W为:

*注:在文献[2]中,最后也能得到与上述同样的结论,为直接使用了晶体管最优导纳公式,而上面为考虑非准静态阻抗得出的结论,两者复杂度完全不在一个层面。这里为谨慎起见,按照新的网络输入噪声参数计算。
因此在设计中,可以直接通过上述公式选择最优栅宽,这是一个与过驱动电压无关的量。假设工作在10.525GHz的中心频率处,我们选取:


计算可得最优的栅宽约为140


另外,从公式中可以看出最小噪声因子和过驱动电压(即截止频率

电场激活原位掺杂平面光伏型胶体量子点红外...
时间:2026-03-09
什么是硅片或者晶圆?一文了解半导体硅晶圆
时间:2026-03-09
集成电路的几纳米代表了什么?
时间:2026-03-09
金刚石基GaN问世 化合物半导体行业进入第三...
时间:2026-03-09
实用模拟电路小常识浅析
时间:2026-03-09
寄存器是什么?怎么操作寄存器点亮LED灯?
时间:2026-03-09
一文详解MOS管驱动电路拓扑的设计
时间:2026-03-09
汽车芯片业应汲取的教训
时间:2026-03-09
半导体光刻工艺 光刻—半导体电路的绘制
时间:2026-03-09
电阻的原理和作用 电阻色环识别图 电路中电...
时间:2026-03-09
使用过滤器电容器和诱导器来抑制受辐射的EM...
时间:2026-03-05
LED固晶机龙头直面“寒冬”
时间:2026-03-05
玻璃釉电容器的结构与特点
时间:2026-03-05
电容器入门教程
时间:2026-03-05
分析一个工作中常用的带有放大功能的高精度...
时间:2026-03-05
关于STM32WL LSE 添加反馈电阻后无法起振的...
时间:2026-03-05
绝缘电阻表的选用及使用注意事项
时间:2026-03-05
压敏电阻爆裂的原因分析
时间:2026-03-05
暑期买元器件下单立减还送华为P30pro
时间:2026-03-05
电阻的标称阻值和允许偏差
时间:2026-03-05