信号调理电路: 所谓的信号调理,就是将各种待测信号进行前处理,即经放大或衰减变成适合于测量的信号。 因而,信号调理电路,就是衰减(可以用电阻衰减网络实现)或放大电路。当然,主要是指(高精度的)放大电路。
一、 比例放大电路


二、 差分放大电路

三 、仪用放大电路

仪用放大电路是从差分放大电路变化而来的电路。具体的放大电路芯片可以使用:UA741;LM324;OP07;LF356;LM358等。
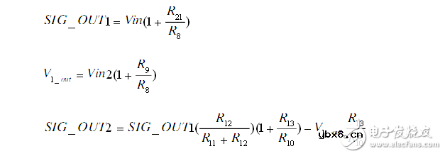
四 、心电监护整体原理设计图


根据信息处理的要求我们可以选择不同的信号放大方式,如同比放大、反向放大、差分放大等,不同的放大倍数供我们进行选择,对于心电监护整体电路设计是由两端输入,一端为外接直流电平,另一端为可调直流电平,同时经过不同的同相放大模块,然后经过差分放大完成信号的处理。
经典参考设计:
打造可穿戴设备:可穿戴式无线网络技术方案详解
十大可穿戴式计算机:导航鞋可显示目的地远近
可穿戴设备看俏 描绘智慧生活新蓝图
专注低功耗 解决可穿戴核心难题
德州仪器Meta Watch可穿戴蓝牙智能手表开发系统设计
可穿戴式无线网络核心技术及应用详解
精品下载资料:
EE Design之《可穿戴设计开发全攻略》
可穿戴式生命体征监护设备的研制
应可穿戴保健设备大势 ADI最新解决方案详解
可穿戴技术:低功耗与传感技术成为核心
大家如有问题,欢迎在评论处讨论。
——电子发烧友网整理,转载请注明出处!
相关热词:#放大电路
波特率是什么意思_怎样计算波特率
时间:2026-04-21
RS485基本知识介绍
时间:2026-04-18
什么是激光雷达?激光雷达的构成与分类
时间:2026-04-18
Excelpoint - 一文了解SiC MOS的应用
时间:2026-04-18
什么是磁电阻器?磁电阻特性及应用
时间:2026-04-18
什么是电场?电场在电容器中的应用
时间:2026-04-18
什么是ARM64?
时间:2026-04-17
vga和hdmi的区别
时间:2026-04-17
什么是ESD?ESD及TVS的原理和应用
时间:2026-04-17
开关电源原理与维修完整版 (10)_标清视频
时间:2026-04-16
基于逻辑门的构成解释如何完成任意逻辑的管...
时间:2026-03-08
彩灯电路
时间:2026-03-05
NE555的有趣电路设计分享
时间:2026-03-08
三相异步电动机原理
时间:2026-03-04
三相异步电动机的拆装详讲
时间:2026-03-04
从0学电路,万用表演示测量三极管方法
时间:2026-03-08
电动机单线远程正反转控制电路图
时间:2026-03-04
光耦在电子电路中作用、关键参数详解
时间:2026-03-08
H桥电机驱动电路解析
时间:2026-03-08
转角测量电路
时间:2026-03-05