HCNR201是高线性模拟光电耦合器内含一个高性能 AlGaAs LED和两个高度匹配的光二极管。
输入光二极管可以用来监测并稳定 LED 的光度输出,因此 LED 的非线性和漂移特性几乎被消除,输出光二极管会产生线性对应 LED 光输出的光电流,光二极管间的紧密匹配和先进的封装设计可以确保光电耦合器的高线性度和稳定增益。
HCNR201 可以用来提供需要良好稳定性、线性度、带宽和低成本等各种广泛应用的模拟信号隔离、HCNR201 具备高灵活度,并可通过应用电路的适当设计带来许多不同工作模式,包括单极/双极、AC/DC 以及反相和同相,HCNR201 为许多模拟隔离问题的卓越解决方案。
其中1、2引作为隔离信号的输入,3、4引脚用于反 馈,5、6引脚用于输出。1、2引脚之间的电流记作IF,3、4引脚之间和5、6引脚之间的电流分别记作IPD1和IPD2。输入信号经过电压-电流转 化,电压的变化体现在电流IF上,IPD1和IPD2基本与IF成线性关系,线性系数分别记为K1和K2,即

K1与K2一般很小(HCNR200是0.50%),并且 随温度变化较大(HCNR200的变化范围在0.25%到0.75%之间),但芯片的设计使得K1和K2相等。在后面可以看到,在合理的外围电路设计中, 真正影响输出/输入比值的是二者的比值K3,线性光耦正利用这种特性才能达到满意的线性度的。
HCNR200和HCNR201的内部结构完全相同,差别在于一些指标上。相对于HCNR200,HCNR201提供更高的线性度。
采用HCNR200/201进行隔离的一些指标如下所示: * 线性度:HCNR200:0.25%,HCNR201:0.05%; * 线性系数K3:HCNR200:15%,HCNR201:5%; * 温度系数: -65ppm/oC; * 隔离电压:1414V; * 信号带宽:直流到大于1MHz。
从上面可以看出,和普通光耦一样,线性光耦真正隔离的是电流,要想真正隔离电压,需要在输出和输出处增加运算放大器等辅助电路。下面对HCNR200/201的典型电路进行分析,对电路中如何实现反馈以及电流-电压、电压-电流转换进行推导与说明。

设运放负端的电压为,运放输出端的电压为,在运放不饱和的情况下二者满足下面的关系:
Vo=Voo-GVi (1)
其中是在运放输入差模为0时的输出电压,G为运放的增益,一般比较大。 忽略运放负端的输入电流,可以认为通过R1的电流为IP1,根据R1的欧姆定律得:

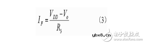
通过R3两端的电流为IF,根据欧姆定律得:

其中,为光耦2脚的电压,考虑到LED导通时的电压()基本不变,这里的作为常数对待。
根据光耦的特性,即
K1=IP1/IF (4)
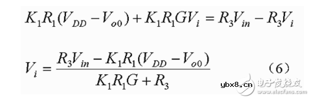
将和的表达式代入上式,可得:

上式经变形可得到:

将的表达式代入(3)式可得:

考虑到G特别大,则可以做以下近似:

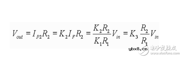
这样,输出与输入电压的关系如下:

可见,在上述电路中,输出和输入成正比,并且比例系数只由K3和R1、R2确定。一般选R1=R2,达到只隔离不放大的目的。
RT809F、RT809H编程器:笔记本EC在线读写KB...
时间:2026-03-23
eMMC RPMB分区介绍
时间:2026-03-23
NorFlash、NandFlash、eMMC闪存的比较与区别
时间:2026-03-23
RT809H编程器教程:康佳RTD2995方案厂家升级...
时间:2026-03-23
液晶电视串口刷机或查看打印信息常用接口介...
时间:2026-03-23
VGA线针脚定义与规格,编程器刷机线、3+2、...
时间:2026-03-23
RT809H编程器:创维8R96机芯RTD2992打印信息...
时间:2026-03-23
RT300M(V2.0)新款超高亮度LED智能测试仪使用...
时间:2026-03-23
eMMC芯片在线读写寻找关键点的方法与步骤
时间:2026-03-23
RT809H教程:变频空调控制板MCU读写方法操作...
时间:2026-03-23
住宅小区负荷与变压器容量的选择技巧
时间:2026-03-06
石英灯电子变压器电路原理
时间:2026-03-06
玻璃釉电容器的结构与特点
时间:2026-03-05
光伏控制器简介
时间:2026-03-06
三极管的主要参数
时间:2026-03-07
HTCC:半导体封装的理想方式
时间:2026-03-06
变压器并列运行的条件浅析
时间:2026-03-06
电阻的标称阻值和允许偏差
时间:2026-03-05
半导体三极管的技术参数
时间:2026-03-07
贴片电阻怎么看阻值
时间:2026-03-05