01
导读
尽管锂金属负极有望满足锂离子电池对能量密度的需求,但它还没有实现长循环寿命。良好的SEI在调节电解质和电极之间的Li+交换方面起着关键作用,但这种影响的量化一直不清楚,迄今为止Li+交换和库伦效率(CE)之间的关系还没有明确阐明。
02
成果简介
近期,相关工作以“Beneficial vs. Inhibiting Passivation by the Native Lithium Solid Electrolyte Interphase Revealed by Electrochemical Li+Exchange”为题发表在Energy & Environmental Science上。该工作利用电化学阻抗谱和伏安法,探究了天然SEIs在一系列电解质(CE范围为78.0%至>99%)中的自洽Li+交换值。结果发现CE与SEI的Li+交换速率呈正相关。此外,在高CE电解质中,SEI Li+的交换速率在循环过程中增加,在某些情况下增加了一个数量级,超过10 mA/cm2,而对于低CE电解质,它们仍然保持在低水平(<1 mA/cm2)。
03
关键创新
Li+交换速率与Li电镀/剥离CE成正相关。
04
核心内容解读

图1.不存在(左)和存在(右)SEI情况下,Li0/Li+氧化还原从本体电解质到Li金属电极的过程。
本研究采用慢扫速(1 mV/s)循环伏安法(CV)和电化学阻抗谱(EIS)系统地量化了Li负极上的Li+交换(图1),并在“赝”交换电流jp0的框架下解释了测量的交换速率,它代表了电极上Li+交换总速率。事实上,赝交换电流jp0揭示了Li+交换的瞬态演化。结果发现jp0在不同电解质之间有很大差异,且与CE具有明确的正相关关系。

图2.(a)不同电解质的CE。(b)在1M LiPF6EC/DMC中,Li/Li电池在0.5mA/cm2@1mAh/cm2下的恒流电镀/剥离曲线。(c)在三种电解质(1.5 M LiAsF62-Me-THF、1 M LiPF6EC/DMC和1 M LiTFSI DOL/DME+3wt%LiNO3)中循环前后的奈奎斯特图。(d)通过拟合(c)中的EIS光谱获得SEI电阻和赝交换电流密度,

用阻抗谱法测量Li+交换
本工作选择了具有代表性的电解质进行分析(图2a),包括1.5 M LiAsF6in 2-Me-THF(CE=78.0%),1 M LiClO4in PC(81.9%),1 M LiPF6in EC/DEC(93.8%),1 M LiFSI in FEC(95.3%)或1 M LiPF6in EC/DMC(96.9%),2 M和7 M LiFSI in FEC(CE分别为97.5%和98.2%),以及1 M LiTFSI in DOL/DME和2 M LiFSI/1 M LiTFSI in DOL/DME,每种电解质都含有3wt%的LiNO3(CE分别为99.0%和99.3%)。首先在对称Li/Li电池中使用EIS分析来测量Li+交换电流。图2b显示,电池组装后,在OCV下静置5小时,并进行初始阻抗谱测量。接下来,进行电镀/剥离循环,随后重复该过程。图2c显示了三种代表性电解质在五次这样循环中的EIS数据。5次循环后,不同电解质的RSEI幅度变化显著(图2d),1.5 M LiAsF6in 2Me-THF最高(第5次循环时为512.6 Ω cm2),其次是1 M LiPF6in EC/DMC(47.6 Ω cm2)和1 M LiTFSI DOL/DME+3%LiNO3(18.3 Ω cm2)。这三种电解质的


图3.(a)


图3a显示了每种电解质在50次循环中的高频





图4.(a)不同电解质中

对于DOL/DME基电解质,



图5.(a)



循环伏安法测定Li+交换
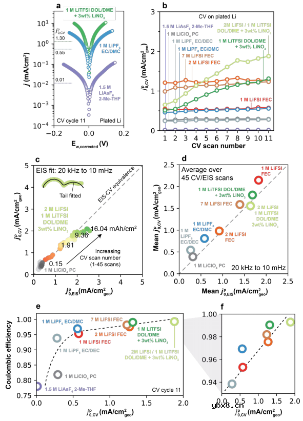
图5a显示,在-0.2V和1V之间以1mV/s的速度在Cu/Li扣式电池中进行11次连续的CV循环,在每次扫描结束时发生Cu的完全剥离。单个CV扫描为赝Li+交换电流提供了一个数据点,称之为




图6.(a)通过在1 mAh/cm2的电镀Li上以1 mV/s的CV测量选定电解质的Tafel图。(b)所有电解质中沉积锂上的




在平衡电压附近更陡的j-Ew,corrected关系表明












图7.(a)





SEI形成后

图7a显示所有电解质中原始Cu上前11次CV扫描的





图8.在(a)1M LiPF6EC/DEC和(b)2M LiFSI 1M LiTFSI DOL/DME+3wt%LiNO3中完整的1 mAh/cm2恒流循环之前和之后,通过Cu上的CV获得每个循环的CE和

图8a和图8b分别显示了1M LiPF6EC/DEC(1型电解质)和2M LiFSI 1M LiTFSI DOL/DME+3wt%LiNO3(2型电解质)中的





图9.1型电解质和2型电解质中CE随倍率的变化。

1型碳酸盐电解质(1M LiPF6EC/DEC和1M LiClO4PC)中的CE随着j的增加而不太稳定,与j<0.5 mA/cm2时的CE值相比,在高j时表现出普遍下降。这种行为在1M LiClO4PC中最为明显,其中CE在0.2mA/cm2和2mA/cm2之间从87.1%降低到76.9%。另一方面,2型电解质(2M LiFSI FEC和DOL/DME基电解质)的CE值不随循环电流j变化。
在1M LiClO4PC和1M LiPF6EC/DEC中,

05
成果启示
本工作使用EIS和CV两种技术,在低CE和高CE电解质中,对天然SEI的总Li+交换速率进行了量化。低CE电解质通常表现出稳定和适度的Li+交换速率(<1 mA/cm2)。而高CE电解质表现出更高的总Li+交换速率,并在循环过程中进一步增加。这表明CE和Li+交换之间存在正相关性。研究结果还表明,与循环后的铜相比,未循环铜的Li+交换更缓慢,原始铜的CE更低。这些发现有望指导未来的电解质设计,以最大限度地优化SEI相,促进Li+交换过程。
审核编辑:刘清
电芯、电池模组和电池包三者有什么区别?如...
时间:2026-03-22
电池怎么做绝缘处理?电池模组绝缘片起到什...
时间:2026-03-22
电池模组绝缘片的制造工艺有哪些,它们对电...
时间:2026-03-22
亿纬锂能麟驹系列电动两轮车电池首批发货仪...
时间:2026-03-22
在电池模组中,除了绝缘片,还有哪些措施可...
时间:2026-03-22
深度解读广汽全固态电池技术
时间:2026-03-22
广汽科技全固态电池与无图纯视觉智驾引领智...
时间:2026-03-22
天合光能新一代柔性储能电池舱Elementa 2真...
时间:2026-03-22
锂电池和超级电容器哪个更耐用
时间:2026-03-22
“固态电池”和“半固态电池”是水火不容吗...
时间:2026-03-22
住宅小区负荷与变压器容量的选择技巧
时间:2026-03-06
光伏控制器简介
时间:2026-03-06
石英灯电子变压器电路原理
时间:2026-03-06
变压器并列运行的条件浅析
时间:2026-03-06
玻璃釉电容器的结构与特点
时间:2026-03-05
电阻的标称阻值和允许偏差
时间:2026-03-05
三极管的主要参数
时间:2026-03-07
HTCC:半导体封装的理想方式
时间:2026-03-06
半导体三极管的技术参数
时间:2026-03-07
碳膜电阻如何识别_金属膜电阻器和碳膜电阻器...
时间:2026-03-05