固体硫化物电解液(SSSEs)与锂负极和氧化物正极的结合可以使全固态金属锂电池(ASSLMB)的能量密度成倍增加。然而,空气中的水解/Li/SSSE界面的还原以及SSSEs内部Li树枝晶的生长共同阻碍了硫化物基ASSLMB的实际应用。
来自北京理工大学的学者研制了一种新型的Li2.96P0.98S3.92O0.06-Li3N微晶玻璃电解液,其中O和N取代生成了POS33-,而Li3N独特的功能单元使得在RT下具有优异的性能(σLi+=1.58 mS cm-1)。值得注意的是,Li2.96P0.98S3.92O0.06-Li3N中的POS33-单元可以很好地防止在45-50%的湿度下的结构降解。Li2.96P0.98S3.92O0.06-Li3N的临界电流密度达到1 mA cm-2/ 1mAh cm-2@RT。此外,Li//Li电池在0.3 mA cm-2/0.3 mAh cm-2和0.5 mA cm-2/0.5 mAh cm-2的RT下实现了前所未有的超过1000h的镀锂/剥离寿命。
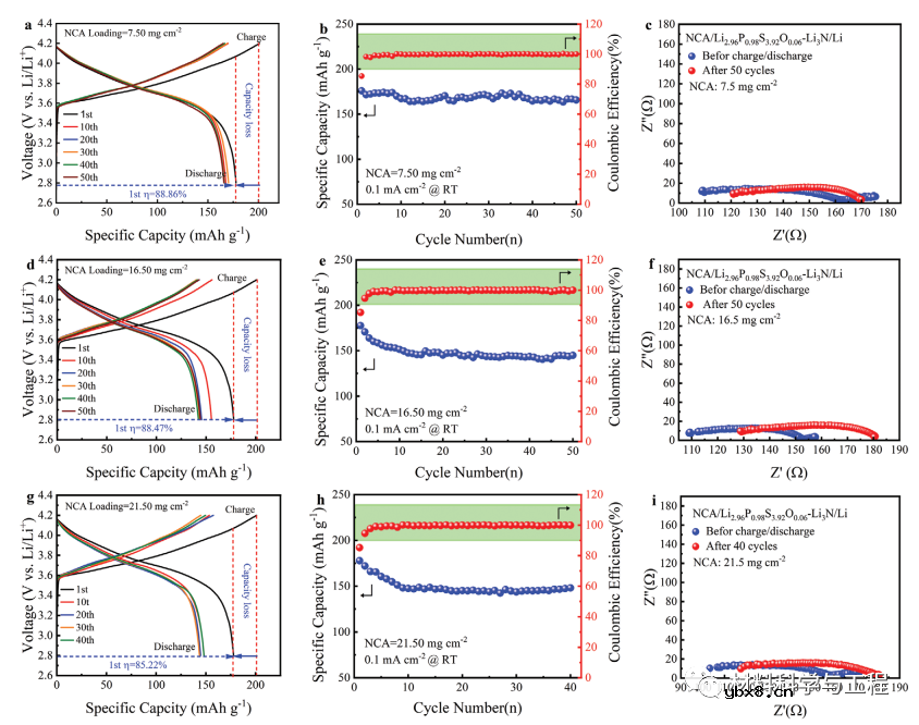
TOF-SIMS和深度X射线光电子能谱(XPS)分析表明,在Li/Li2.96P0.98S3.92O0.06-Li3N界面形成了富含热力学稳定的Li2O和Li3N颗粒的预固液界面相,从而抑制了Li2.96P0.98S3.92O0.06-Li3N界面反应和Li枝晶的生长。此外,LiNbO3@nCa/Li2.96P0.98S3.92O0.06-Li3N/Li电池的初始放电容量分别为177.3、177.6和177.8 mAh g-1,负载量分别为7.5、16.50和21.5 mg cm-2。因此,新型Li2.96P0.98S3.92O0.06-Li3N GCE解决了所有关键的挑战性问题,在基于硫化物的高性能ASSLMB具有巨大的潜力。

图 1.结构分析,a)XRD,b)拉曼光谱,c)Li2.96P0.98S3.92O0.06-Li3N的31P MAS-NMR,d,e)Li2.96P0.98S3.92O0.06-Li3N玻璃陶瓷电解质的S 2p和P 2p XPS光谱,以及f)Li3PS4的P k-edge光谱(x = 0,0.02,0.04和0.06)。

图 2.a) O-掺杂 Li3PS4的晶体结构 b) 路径-1 和路径-2, c) 路径-3, d) 路径-4.e) 不同四种途径的锂离子能量势垒(eV)对k和f)不同原子的原子位置的均方根偏差(RMSD)。

图 3.a) 空气中产生的H2S的时间依赖量。b) Li2.96P0.98S3.92O0.06-Li3N GCE在空气暴露前后的XRD图像。c) 在暴露于潮湿空气之前和之后,Li2.96P0.98S3.92O0.06-Li3N的31P MAS-NMR。d,e) 空气暴露后Li2.96P0.98S3.92O0.06-Li3N的S 2p和P 2p XPS光谱。f) 在空气暴露之前和之后,Li2.96P0.98S3.92O0.06-Li3N的P K-edge光谱。g)Li2.96P0.98S3.92O0.06-Li3N SSE 粉末在空气暴露后的扫描电镜。

图 4.Li-Li电池在RT下电流密度阶跃增加的恒电流循环 a) Li/Li3PS4/Li, b) Li/ Li2.96P0.98S3.92O0.06-Li3N /Li。c) 临界电流密度与硫酸化物GCE组成的关系。d) Li/ Li2.96P0.98S3.92O0.06-Li3N /Li 对称电池,0.3 mA cm–2/0.3 mAh cm–2,e) 0.5 mA cm–2/0.5 mAh cm–2的SEM图像,f,g)原始Li-金属的表面形态,h)表面i)在0.3 mA cm-2/ 0.3 mAh cm-2下在RT测试200小时后 j)检索到的Li-metal的横截面形态,以及k)Li2.96P0.98S3.92O0.06-Li3N颗粒的横截面视图,在室温下以0.3 mA cm-2/ 0.3 mAh cm-2测试200小时之后的结果。

图 5.通过密度泛函理论(DFT)计算结构松弛后的a)Li/Li3PS4和b)Li/ Li2.96P0.98S3.92O0.06-Li3N的界面配置。c) 从Li/ Li2.96P0.98S3.92O0.06-Li3N /Li对称电池中取出的锂负极,在0.3 mA cm–2/0.3 mAh cm–2下循环200 h后的结果 ;c1–c6) 在 ToF-SIMS 测量期间用 Cs 离子束溅射后,锂金属上的化学物质图像。d) ToF-SIMS深度显示锂金属上每个元素的深度。XPS深度分析Li/ Li2.96P0.98S3.92O0.06-Li3N界面的 e)N 1s和f)O 1s光谱。

图6.ASSLMBs的恒电流循环性能。a,d,g) 充放电曲线,b,e,h) LiNbO3@NCA/Li2.96P0.98S3.92O0.06-Li3N/Li电池在 7.50、16.50 和 21.50 mg cm–2NCA 负载下的长期循环性能。c,f,i) LiNbO3@NCA/Li2.96P0.98S3.92O0.06-Li3N /Li电池在长期循环性能前后的交流阻抗谱。所有ASSLMB在室温下均在0.1 mA cm–2电流密度下进行测试。
综上所述,本文采用固态球磨法设计了一系列LiNO3掺杂Li3PS4GCE。在优化的LiNO3含量下(x=0.02),在Li2.96P0.98S3.92O0.06-Li3N GCE中形成了理想数量的POS33-和Li3N独特的功能单元。本文发现:O取代S显著改善了动力学性质,Li+在O原子周围的跃迁空间比S大,在RT下实现了高达1.58 mS cm-1的电导率。
此外,氧取代的POS33-独特的功能单元防止了在45-50%湿度下的结构退化,从而内在地抑制了硫化氢的产生。其次,Li2.96P0.98S3.92O0.06-Li3N GCE在RT下表现出良好的临界电流密度1 mA cm-2/1mAh cm-2。新型Li2.96P0.98S3.92O0.06-Li3N GCE在0.3 mA cm-2/0.3 mAh cm-2和0.5 mA cm-2/0.5 mAh cm-2@RT条件下表现出优异的Li电镀/剥离性能(大于1000 h)。
此外,负载为7.50、16.50和21.50 mg cm-2的LiNbO3@NCA//Li电池具有优异的循环性能,在RT下测量后容量保持率分别为93.45%、81.58%和83.38%。结果表明,Li2.96P0.98S3.92O0.06-Li3N GCE与电极(特别是锂金属负极)都是相容的,在单电解层用于ASSLMBs的实际应用中具有很大的潜力。
审核编辑:刘清
调节用于高性能水系锌离子电池的多金属离子...
时间:2026-03-22
基于NFC的无线电池管理BMS使用方法
时间:2026-03-22
无分散剂胶体与硅-纳米碳界面工程制备高性能...
时间:2026-03-22
简化电化学模型应用于老化电池的早期内短路...
时间:2026-03-22
基于电阻平衡的大功率锂离子电池与超级电容...
时间:2026-03-22
太阳能电池特性
时间:2026-03-22
动力电池和普通电池的区别
时间:2026-03-22
内部应力缓解促成的用于锂离子电池的高性能...
时间:2026-03-22
三元(P,Se,S)共价无机骨架作为锂硫电池...
时间:2026-03-22
锂电池失效原因及解决方法
时间:2026-03-22
住宅小区负荷与变压器容量的选择技巧
时间:2026-03-06
光伏控制器简介
时间:2026-03-06
石英灯电子变压器电路原理
时间:2026-03-06
变压器并列运行的条件浅析
时间:2026-03-06
玻璃釉电容器的结构与特点
时间:2026-03-05
电阻的标称阻值和允许偏差
时间:2026-03-05
三极管的主要参数
时间:2026-03-07
HTCC:半导体封装的理想方式
时间:2026-03-06
半导体三极管的技术参数
时间:2026-03-07
碳膜电阻如何识别_金属膜电阻器和碳膜电阻器...
时间:2026-03-05