1.前言
电化学阻抗谱(EIS)是解析锂离子电池的重要工具之一,不同频率的阻抗表征了电池内部的各类物理和化学过程。目前实验室中最常用的阻抗获取方法是用多个单频正弦信号激励电池,然后对输入和输出信号进行处理以获得电池在各频率下的阻抗。这种测量方式准确度高,但是耗时,在许多工程场景下不方便应用。为了快速获取电池的阻抗谱,本文提出了一种基于M序列的阻抗谱获取方法;同时,为了使其更好的应用于不同的工程场景,探究了一系列参数对阻抗计算结果的影响。
M序列信号是由多个线性反馈移位寄存器产生的,主要参数有幅值a、移位脉冲周期Δ和移位寄存器的个数n,其示意图如图1所示,其中N=2n-1。

图1 M序列信号
2. 宽频阻抗计算方法
基于M序列的阻抗谱获取方法如图2所示。首先,M序列激励电流被输入到电池中,以一定的采样频率采集通过电池的电流及电池两端的端电压;然后,采用快速傅里叶变换对电流和电压序列进行处理得到电流信号频谱和电压信号频谱,用电压信号频谱除以电流信号频谱就可以得到电池在不同频率下的阻抗值;最后,计算待测频率点在上述频谱处的位置,即可得到电池在待测频率点处的近似阻抗值。

图2 基于M序列的阻抗谱获取方法
3. 实验
3.1 实验设置
图3是在实验室中搭建的测试条件示意图,主要组成部分有18650圆柱电池、智能型双极性电源、采样电阻、数据采集卡、电脑、恒温箱、电化学工作站。

图3 阻抗谱测试条件
其中(A)智能型双极性电源的作用是生成不同参数下的M序列信号;(B)采样电阻的作用是将流过电池的电流信号转换为电阻两端的电压信号,电压信号除以电阻值即为电池电流;(C)数据采集卡的作用是采集电阻和电池两端的电压信号;(F)电化学工作站的作用是准确测量电池的阻抗谱,作为参考值。
3.2 移位脉冲周期
移位脉冲周期会影响最高可测频率,为了探究其影响规律,在其他参数保持不变的情况下改变移位脉冲周期的值进行多次实验。实验结果如图4所示。

图4 不同移位脉冲周期下的实验结果
由图4可知,当移位脉冲周期增加时,最高可测频率值降低,通过拟合可以得到图5的关系。可以看到,M序列的移位脉冲周期近似与最高可测频率值的二倍成反比关系,所以当要测的最大频率值确定以后,移位脉冲周期也将相应确定。

图5 最高可测频率与移位脉冲周期的关系
3.3 移位寄存器的数量
当移位脉冲周期确定以后,移位寄存器的数量会影响最低可测频率,为了探究其影响规律,在其他参数保持不变的情况下改变移位寄存器的数量进行多次实验。实验结果如图6所示。

图6 不同移位寄存器数量下的实验结果
由图6可知,当移位寄存器的数量增加时,最低可测频率减小。拟合M序列周期与最低可测频率相应的数据可得到图7的对应关系。可以看到,M序列的周期T与最低可测频率近似成反比关系,所以当最低待测频率值确定后,可以基于最高待测频率确定的移位脉冲周期,计算出移位寄存器的数量。

图7 M序列的周期与最低可测频率的关系
3.4 幅值
幅值会影响信噪比,从而影响阻抗的计算精度。为了获得合适的幅值,在其他参数不变的情况下更改M序列的幅值进行多次实验,并用RMSE的值来评价阻抗计算的准确性。实验结果如图8所示。

图8 不同幅值下的实验结果
可以看到,当幅值从0.1A逐渐增加到1A时,由于M序列信号的信噪比增加,所以阻抗计算误差逐渐减小;当幅值从1A逐渐增加到3A时,由于直流分量增加,所以阻抗计算误差略有增加。所以,幅值最好取1A。
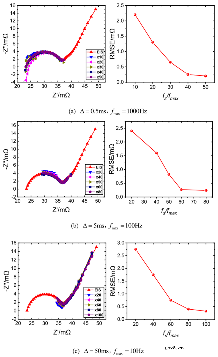
3.5 采样频率
采样频率越高则阻抗计算越准确,但相应的数据存储量和计算量也会增加。由于采样频率与待测的最高频率有关,所以在不同移位脉冲周期(最高待测频率)下将采样频率设置为最高频率的不同倍数,进行多组实验。实验结果如图9所示。

图9 不同最高频率下采样频率与测试误差的关系
4. 总结
本文提出了一种基于M序列的电池阻抗谱快速获取方法,为了能更好的应用于特定的工程场景,探究了M序列的移位脉冲周期、移位寄存器的数量、幅值和采样频率对阻抗计算误差的影响,并得到了如下结论:
(1)移位脉冲周期与最高待测频率有关,当最高待测频率确定后,移位脉冲周期可取为最高待测频率二倍的倒数。
(2)当移位脉冲周期确定后,移位寄存器的数量与最低待测频率有关,当最低待测频率确定后,M序列的周期可取为最低待测频率的倒数,由此可计算出移位寄存器的数量。
(3)M序列的幅值会影响阻抗计算结果的准确性,随着幅值的增加,RMSE先减小后略有增加,幅值的最优取值为1A。
(4)虽然根据采样定理可得,采样频率应大于最高频率的二倍。但是实验结果显示,在实际测量时,采样频率应为最高频率的40~80倍。
审核编辑:刘清
最新Nature Energy开发新型稀释剂助推锂金属...
时间:2026-03-22
Holtek新推出锂电池管理Flash MCU HT45F875...
时间:2026-03-22
软包电池和硬包电池的区别有哪些呢?
时间:2026-03-22
锂电池的种类和特点
时间:2026-03-22
软包电池的优点和缺点
时间:2026-03-22
如何区分“软包锂电池”和“聚合物电池”呢...
时间:2026-03-22
磷酸铁锂软包和硬包哪个容易鼓包呢
时间:2026-03-22
软包三元锂电池能和硬包三元锂电池能混合用...
时间:2026-03-22
锂电池软包和大单体放电有什么区别?放电大...
时间:2026-03-22
软包锂电池边电压指的是什么?
时间:2026-03-22
住宅小区负荷与变压器容量的选择技巧
时间:2026-03-06
光伏控制器简介
时间:2026-03-06
石英灯电子变压器电路原理
时间:2026-03-06
变压器并列运行的条件浅析
时间:2026-03-06
玻璃釉电容器的结构与特点
时间:2026-03-05
电阻的标称阻值和允许偏差
时间:2026-03-05
三极管的主要参数
时间:2026-03-07
HTCC:半导体封装的理想方式
时间:2026-03-06
半导体三极管的技术参数
时间:2026-03-07
碳膜电阻如何识别_金属膜电阻器和碳膜电阻器...
时间:2026-03-05