固体氧化物燃料电池是一种新型发电装置,其高效率、无污染、全固态结构和对多种燃料气体的广泛适应性等,是其广泛应用的基础。
固体氧化物燃料电池单体主要组成部分由电解质(electrolyte)、阳极或燃料极(anode,fuel electrode)、阴极或空气极(cathode,air electrode)和连接体(interconnect)或双极板(bipolar separator)组成。
固体氧化物燃料电池的工作原理与其他燃料电池相同,在原理上相当于水电解的“逆”装置。其单电池由阳极、阴极和固体氧化物电解质组成,阳极为燃料发生氧化的场所,阴极为氧化剂还原的场所,两极都含有加速电极电化学反应的催化剂。工作时相当于一直流电源,其阳极即电源负极,阴极为电源正极。
在固体氧化物燃料电池的阳极一侧持续通入燃料气,例如:氢气(H2)、甲烷(CH4)、城市煤气等,具有催化作用的阳极表面吸附燃料气体,并通过阳极的多孔结构扩散到阳极与电解质的界面。在阴极一侧持续通人氧气或空气,具有多孔结构的阴极表面吸附氧,由于阴极本身的催化作用,使得O2得到电子变为O2-,在化学势的作用下,O2-进入起电解质作用的固体氧离子导体,由于浓度梯度引起扩散,最终到达固体电解质与阳极的界面,与燃料气体发生反应,失去的电子通过外电路回到阴极。
单体电池只能产生1V左右电压,功率有限,为了使得SOFC具有实际应用可能,需要大大提高SOFC的功率。为此,可以将若干个单电池以各种方式(串联、并联、混联)组装成电池组。
SOFC组的结构主要为:管状(tubular)、平板型(planar)和整体型(unique)三种,其中平板型因功率密度高和制作成本低而成为SOFC的发展趋势。
在所有的燃料电池中,SOFC的工作温度最高,属于高温燃料电池。近些年来,分布式电站由于其成本低、可维护性高等优点已经渐渐成为世界能源供应的重要组成部分。由于SOFC发电的排气有很高的温度,具有较高的利用价值,可以提供天然气重整所需热量,也可以用来生产蒸汽,更可以和燃气轮机组成联合循环,非常适用于分布式发电。燃料电池和燃气轮机、蒸汽轮机等组成的联合发电系统不但具有较高的发电效率,同时也具有低污染的环境效益。
常压运行的小型SOFC发电效率能达到45%-50%。高压SOFC与燃气轮机结合,发电效率能达到70%。国外的公司及研究机构相继开展了SOFC电站的设计及试验,100kW管式SOFC电站己经在荷兰运行。Westinghouse公司不但试验了多个kW级SOFC,而且正在研究MW级SOFC与燃气轮机发电系统。日本的三菱重工及德国的Siemens公司都进行了SOFC发电系统的试验研究。
一般的SOFC发电系统包括燃料处理单元、燃料电池发电单元以及能量回收单元。图一是一个以天然气为燃料、常压运行的发电系统。空气经过压缩器压缩,克服系统阻力后进入预热器预热,然后通入电池的阴极。天然气经过压缩机压缩后,克服系统阻力进入混合器,与蒸汽发生器中产生的过热蒸汽混合,蒸汽和燃料的比例为,混合后的燃料气体进入加热器提升温度后通入燃料电池阳极。阴阳极气体在电池内发生电化学反应,电池发出电能的同时,电化学反应产生的热量将未反应完全的阴阳极气体加热。阳极未反应完全的气体和阴极剩余氧化剂通入燃烧器进行燃烧,燃烧产生的高温气体除了用来预热燃料和空气之外,也提供蒸汽发生器所需的热量。经过蒸汽发生器后的燃烧产物,其热能仍有利用价值,可以通过余热回收装置提供热水或用来供暖而进一步加以利用。
固体氧化物燃料电池(SOFC)的工作原理
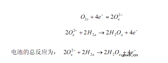
在固态氧化物燃料电池(SOFC)中,电解质采用固体氧化物氧离子(O2-)导体(如最常用的 Y2O3 稳定的氧化锆简称 YSZ),起传递 O2-及分离空气和燃料的双重作用。其工作原理如图1-1所示:能量转换是通过电极上的电化学过程来进行的,阴阳极反应分别为:

其中燃料气体可以是H2,也可以是燃料气体,而O2来源于空气。式中,下标c、a 和 e 分别表示在阴极、阳极和电解质中的状态。

当一个外部载荷加到电池上时,氧气在多孔的阴极还原成氧离子,然后通过固体电解质传输到阳极, 与燃料 (如 H2,CO) 反应 生 成 H2O 或CO2。在一定条件下CH4也可以在阳极直接氧化为H2O和CO2。电池的开路电压 U0可以由下式计算得出, 即

式中:ΔG ——电化学反应的自由能变化;
ΡO2(c)——阴极的氧气分压;
固体氧化物燃料电池(Solid Oxide Fuel Cell,简称SOFC)属于第三代燃料电池,是一种在中高温下直接将储存在燃料和氧化剂中的化学能高效、环境友好地转化成电能的全固态化学发电装置。被普遍认为是在未来会与质子交换膜燃料电池(PEMFC)一样得到广泛普及应用的一种燃料电池。它除了具有一般的燃料电池的高效率,低污染的优点外,SOFC还具有以下特点:
⑴ SOFC的工作温度可达1000摄氏度,是目前所有燃料电池工作温度最高的经由热回收技术进行热电合并发电,可以获得超过80%的热电合并效率。
⑵SOFC的电解质是固体,因此没有电解质蒸发与泄露的问题。而且电极也没有腐蚀的问题,运转寿命长。此外,由于构成材料的池体材料全部是固体,电池外形具有灵活性。
⑶SOFC在高温下进行化学反应,因此,无需使用贵重金属作为触媒,且本身具有内重整能力,可直接使用氢气、烃类(甲烷)、甲醇等作燃料,简化了电池系统。
⑷ SOFC能提供高质余热,实现热电联产,燃料利用率高,能量利用率高达80%左右,是一种清洁高效的能源系统。
⑸SOFC具有较高的电流密度和功率密度。
⑹SOFC的系统设计简单,发电容量大,用途较为广泛。
固体氧化物燃料电池具有燃料适应性广、能量转换效率高、全固态、模块化组装、零污染等优点,可以直接使用氢气、一氧化碳、天然气、液化气、煤气及生物质气等多种碳氢燃料。SOFC的应用范围相当广泛,几乎涵盖了所有的传统的电力市场,包括宅用、商业用、工业用以及公共事业用发电厂等,甚至便携式电源、移动电源、偏远地区用电及高品质电源等,还可作为船舶动力电源、交通车辆动力电源等移动电源。其中以静置型的商业用电源、工业用热电合并系统及小型电源市场较为看好。
用于高面积容量电池的多功能碳纤维
时间:2026-03-22
怎样解决新能源车快速充电站的兼容问题呢?
时间:2026-03-22
用于稳定锂金属电池阳极的3D多孔Cu复合材料
时间:2026-03-22
大规模储能用低成本氢-钠二次气体电池
时间:2026-03-22
芯海科技CPW6410率先通过UFCS官方认证
时间:2026-03-22
原位可视化揭示钠-钾液态合金电池中的共沉积...
时间:2026-03-22
“一石三鸟”固相烧结策略!废旧锂离子电池...
时间:2026-03-22
开发一种由光伏阵列供电的直流电动机模型
时间:2026-03-22
合理设计双相CaV2O6/NaV6O15正极材料实现长...
时间:2026-03-22
晶科工商业储能一体机落地广东 总容量达5.3...
时间:2026-03-22
住宅小区负荷与变压器容量的选择技巧
时间:2026-03-06
光伏控制器简介
时间:2026-03-06
石英灯电子变压器电路原理
时间:2026-03-06
变压器并列运行的条件浅析
时间:2026-03-06
玻璃釉电容器的结构与特点
时间:2026-03-05
电阻的标称阻值和允许偏差
时间:2026-03-05
三极管的主要参数
时间:2026-03-07
HTCC:半导体封装的理想方式
时间:2026-03-06
半导体三极管的技术参数
时间:2026-03-07
碳膜电阻如何识别_金属膜电阻器和碳膜电阻器...
时间:2026-03-05