作者:Littelfuse客户经理Rambo Liu
高速熔断器额定电流计算
1. 工作负载电流IAL的计算
高速熔断器作为保护半导体的器件,通过其本体的电流可能是直流,也可能是交流,或者是脉冲电流,因此计算等效工作电流是熔断器选型的第一步骤。
电流计算相对而言比较简单,主要考虑I与t积分,因此可以借鉴普通保险丝里面浪涌的积分公式。

公式为:

2. 高速熔断器额定电流IN计算
高速熔断器额定电流的计算涉及因素比较多,通过不同参数的修正来确定熔断器电流的适用性。
公式为:

其中,
FAT为环境温度修正系数
环境温度是熔断器周边的空气温度Ta,高速熔断器工作温度范围为-50°C~125°C,规格定义的测试条件Tstd通常为25°C,因此环境温度修正系数FAT为:

FFC为强制冷却修正系数
功率器件由于结点温度通常在150~175°C,超过结点温度会导致半导体过热失效,因此对于发热量比较大的应用,通常会加强制冷却。强制冷却分为空气冷却与液体冷却,是比较常用的散热方式, 下图为强制空气冷却修正曲线,横坐标为空气速度,纵坐标为修正系数,自然风冷空气流速为0m/s,作为基准系数1。

FWR为配线连接系数
高速熔断器通过线缆或汇流排连接,可以起到电流传输的作用,同时可以辅助散热,其尺寸的大小直接影响到熔断器端子的温升,同时制约着熔断器的载流能力。高速熔断器的额定电流是根据国际标准IEC6026904中推荐的导体尺寸,所使用的铜导体电流密度应在1A/mm2~1.6A/mm2之间,为便于计算,100%参考值设定为1.3A/mm2,小于该电流密度参考值的需要叠加降额系数,曲线如下。

FHZ为频率修正系数
当熔断器工作于高频状态时,交变磁场会时电流汇聚于熔体的表面,即趋肤效应或临近效应,此现象会引起热阻的增大从而导致热量增加,熔断器温升更高,此时熔断器要进行相应降额使用,下图为频率修正系数作为参考,对于低频60Hz以下,修正系数为1。

FSS为开关修正系数
电气设备在通常情况下都会需要开关或启停的操作,有些电气设备或加软启来限制回路当中的浪涌电流,有些设备没有添加,而浪涌能量过大会引起熔断器的老化,影响使用寿命,因此这里给出开关频率修正系数作为参考,这个与普通保险丝浪涌寿命计算有些类似,都是开关次数的问题。

FAL为海拔高度修正系数
海拔高度超过2000m时,由于熔断器内部的对流与辐射引起的散热减少,其载流能力就需要相应降额,一般行业惯例是超过2000m,没上升100m,电流降额0.5%,因此降额公式为:

因此掌握了各个参数对于电流的影响,就可以计算出所需的熔断器额定电流,这对于高速熔断器正确选型很有帮助。熔断器额定电流与电压确定下来之后就可以挑选满足指标的熔断器产品系列,确定好产品系列后,需要通过规格定义的参数来折算该熔断器是否能够起到保护半导体的作用,而参数的折算在上一篇文章半导体保险丝已经给出,这里把曲线换算复制过来作为参考(需要完整的参数解析可以参考上一篇文章),从而得到完整的熔断器选型与验证过程。
峰值允通电流曲线
峰值允通电流曲线的使用方法如下图所示,采用上下回折的方式查看,以200A规格为例,假设回路当中故障电流为20kA,对应横坐标A点,往上拉到200A斜线交叉B点,再往左拉到限流斜线交叉点C,从C往下拉到与横坐标交叉点D为2400A,因此在故障电流20kA下,200A熔断器允通电流降至2400A,将近10倍的限流能力能够更好保护后级半导体器件。从曲线也可以看出,允通电流并不是一个固定值,随着故障电流的增加,允通电流会相应增大。

电弧电压曲线
电弧电压曲线横坐标为工作电压,纵坐标为电弧电压,从下图可以看出,对于200A熔断器,在工作电压500V时,电弧电压达到1100V,因此半导体要选用1200V及以上较为合适。

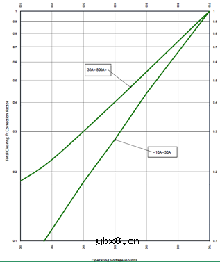
完全熔断I2t修正系数曲线
作为高速熔断器,完全熔断I2t值需小于半导体所能承受的最大I2t值,才能起到可靠保护作用。完全熔断I2t修正系数曲线的目的在于对小于额定工作电压的工况下,提供修正系数,从而为其熔断能力I2t提供参考,从曲线可以看出,随着工作电压降低,其熔断能力I2t相应下降,此系数可以预估熔断器在不同实际工况电压下能达到的熔断能力I2t值,从而确保半导体在各种电压状态下都能得到可靠保护。

功率损耗修正系数曲线
从熔断器设计的角度来说,通常会选择电流降额来保证其长期可靠性,70%左右降额相对比较通用一些,另外熔断器损耗在正常工况下等效于电阻,考虑其设计薄弱环节,对于不同工作电流下,熔断器整体电阻会有变化,从降额曲线也可以看出,在电流减小时,其功率损耗值降幅要比电流降幅大,例如在额定电流80%,对应功耗为55%,从功耗为I2R公式来看,也从侧面反映了工作电流下降会带来阻值的下降,此时阻抗为满载状态下的86%。

高速熔断器作为唯一可以保护半导体的熔断器,其工作特性方方面面都要考虑到半导体的耐受能力,相对而言是计算选型比较复杂的熔断器,本篇文章通过熔断器周边因素来计算符合要求的熔断器额定电流,通过额定电流与电压来初步选定符合要求的高速熔断器系列,再通过熔断器规格定义的参数曲线反向验证熔断器能否起到保护半导体的作用,简而言之就是计算与验证结合的方式来选定最优产品,可以作为研发的半导体保险丝选型参考。
审核编辑:汤梓红
电感器设计流程和见解
时间:2026-05-01
什么是触发器?触发器的作用是什么?
时间:2026-05-01
什么是电源?电源是如何进行分类的?
时间:2026-05-01
电驱动NVH的特点和结构
时间:2026-05-01
什么是霍尔传感器?
时间:2026-05-01
电负性的计算方法
时间:2026-04-30
电导的定义_电导的单位_电导怎么算
时间:2026-04-30
什么是计数器_计数器的作用
时间:2026-04-30
什么是欧姆定律_欧姆定律公式
时间:2026-04-30
RAID是什么?RAID有哪些?
时间:2026-04-30
电阻的原理和作用 电阻色环识别图 电路中电...
时间:2026-03-09
什么是室温超导?半导体时代将走向结束?芯...
时间:2026-03-09
NVIDIA CPU+GPU超级芯片大升级!
时间:2026-03-09
半导体光刻工艺 光刻—半导体电路的绘制
时间:2026-03-09
什么是硅片或者晶圆?一文了解半导体硅晶圆
时间:2026-03-09
石英灯电子变压器电路原理
时间:2026-03-06
一文详解MOS管驱动电路拓扑的设计
时间:2026-03-09
汽车芯片业应汲取的教训
时间:2026-03-09
半导体行业之ICT技术简介
时间:2026-03-09
集成电路的几纳米代表了什么?
时间:2026-03-09