新型储能快速发展,锂电池储能占绝对主导地位
国家能源局数据显示,截至2023年年底,全国新型储能项目累计装机31.39GW/66.87GWh。其中,2023年新增装机就达到22.6GW/48.7GWh,同比增长超过260%。而在新型储能项目中,锂电池储能占比达到了97.4%,占据了绝对主导地位。

来源:中关村储能产业技术联盟
氢气是锂电池热失控监控的黄金指标
随着锂电储能应用的快速发展,用户对锂电储能安全的监测的提出了更高要求。2023年7月1日正式实施的国家标准GB/T 42288-2022中,强调“电池室/舱内应设置可燃气体探测器,每个电池模块可单独配置探测器”。同时,国内外大量的研究报告也指出了在锂电池发生热失控的早期,就会释放出一些关键特征气体如H2(氢气)、CO(一氧化碳)、CO2(二氧化碳)、C2H4(乙烯)、CH4(甲烷)。如对这些特征气体进行有效的监测,则可以提前预防电池的热失控发生。
氢气在电池热失控特别是电池老化引起的热失控过程中是更容易释放,具有产生时间早、气体量大的特点。电池热失控过程中氢气的来源主要是石墨阳极中的积累的氢气以及锂与PVDF粘结剂的反应产生的氢气。因此,监测电池中H2的释放对电池热失控的预警具有重要意义。国内外不少文献已有报道[1,2],在电池热失控实验中,H2最先被检测到(比烟雾早639 s,比火焰早769 s),有力地证明了在电池系统中引入H2气体传感器是在早期阶段阻止热失控的有效策略。

在0%SOC环境下的研究表明锂电池热失控气体以氢气与二氧化碳为主,但市场上传统四合一模组氢气传感器因为氢气传感器的成本、性能、寿命等多种因素,导致了目前氢气传感器在储能安全监测中的实际商业应用还很少。目前主流的储能电池消防安全监测模块,近乎全部采用国外厂商的CO传感器(电化学)或者TVOC传感器(半导体电阻原理)作为锂电热失控的可燃气体监测用。

中科微感储能安全领域应用MEMS基氢气传感器
为满足储能领域的安全需求,中科微感推出了针对锂电池储能系统应用的MEMS基氢气传感器和模组,可为锂电储能系统的安全运行增加一维安全监测手段,尤其适合监测锂电池在长寿命周期运行过程中,因为老化而产生热失控的早期阶段氢气的含量变化监测。
中科微感技术团队通过和国内多家龙头企业、研究所和大学的合作,进行了多次电池热失控的实际监测实验,获得了宝贵的数据,并以此数据来优化我们的氢气传感器。通过锂电池热失控的针对性研究以及对实际使用环境因素考虑,该MEMS氢气传感器(型号CM-C107S)从材料和器件整体研发设计上就重点考虑以下几个方面的需求:1、敏感材料在高浓度VOC环境气氛下的长期稳定性要求;2、传感器批量的生产的一致性要求;3、对氢气响应的选择性需求;4、宽量程1 ppm 到15000 ppm的氢气监测范围的适配性要求。
1.氢气传感器(CM-C107S)方壳电池的热失控试验及数据结果

通过对方壳电池加热的方式进行热失控试验,在测试过程中,采用10颗氢气传感器,发现各传感器的响应保持较好的响应一致性。在监测氢气浓度值,测得最高近乎1.4万ppm的氢气。在热失控试验结束后,相应传感器依然能恢复原位。
2.氢气传感器(CM-C107S)针对软包电池过程过程中的释放氢气监测数据结果
由下图可发现,以4.6 V的电压给软包电池进行过充时,本传感器有一个较明显的变化拐点,而在这过程,电池表面的温度其实变化不大,本传感器可为电池长寿命周期监测过程中提供一维有效的异常监测。

#MEMS氢气传感器特点 CM-C107S
01
高稳定性
本传感器能满足长时间在高浓度TVOC环境下进行氢气的有效监测。
02
宽监测范围
满足1~10000 ppm的氢气浓度的监测。
03
高稳定性和一致性
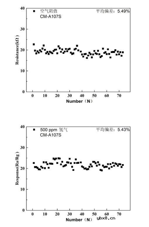
以CM-A107S氢气传感器为例,晶圆级万颗批量生产,单颗LGA封装的MEMS氢气传感器初始阻值和响应值一致性偏差逼近5%,良品率接近98%。

04
高响应性
在选择性上,氢气传感器做到了对乙醇、甲烷等气体几乎不响应,以及通过模组的算法的改进,可对CO有较好的选择性。
05
耐硅中毒性能
满足1~10000 ppm的氢气浓度的监测。

未来发展趋势
目前,氢气传感器在多个领域发挥着重要作用,包括燃料电池系统的氢气泄漏检测、新能源车辆BMS热失控检测以及工业储氢等方面。随着政策的进一步扶持和技术的不断成熟,新能源车辆市场将迎来更广阔的发展空间,而对安全性的需求也将更加迫切,市场潜力巨大。
01
BMS+传感器融合
在锂离子电池的热失控早期,现代BMS往往无法及时监测到电池故障,因为电池温度、放电电压和放电电流等特征参数变化缓慢。然而,在这一时刻,电池内部的电解液会发生分解反应,释放出氢气、一氧化碳等气体。通过检测氢气和一氧化碳的浓度,可以及时判断电池是否发生热失控,并采取相应的断电安全保护措施。相较于传统的探测器,中科微感的氢气传感器响应更加敏捷,在安全阀打开、氢气泄漏的瞬间就能做出剧烈的响应。
中科微感致力于推动BMS+多传感器技术融合,通过温度、气体、气压、压力、电流、电压等多维感知技术,以获取更丰富的数据维度,对电芯状态进行综合分析及研判,实现对于锂电池储能热失控的更精准判断,以提高预警的准确性与及时性,并为处理提供了充足的时间窗口。
02 储能消防调整报警逻辑
储能企业对于储能和释能过程中的安全性十分重视,尤其是在监测气体浓度方面至关重要。近年来,储能电站作为新能源技术之一得到了快速发展,在满足电力系统新能源大规模接入需求方面发挥着重要作用。其具备显著的优势,包括灵活调节等特点。在各类储能电站中,电化学储能电站是较为常见的一种类型。根据《中国新型储能发展报告2023》,锂离子电池储能装置在已投产的新型储能装机中占比高达约94.5%。
储能舱通常采用“早发现、早处理”的原则,以确保在发生热失控时能够提前发现并进行预警,从而最大程度地减少损失。传统的单一阈值报警存在一定弊端,比如监测维度的缺失,并且由于现阶段储能储能用锂电池探测器从属消防系统参与决策,容易存在误报、漏报等问题。通过融合采集数据,以及算法结合,能够实现对热失控前、电池正常、电池异常数特征进行提取,从而实现更加精准得报警,减少漏报以及误报。
中科微感氢气传感器与其他类型传感器结合的探测器,进行光、气、力、声、电、热多维度物理参数实现热失效预警,更准确地预警电站热失控,根据电站电池的热失控特性,设定相应的预警阈值,及早发现特征气体,使得预警时间比其他类型传感器提前5-15分钟。
在未来,中科微感将继续致力于氢气传感器技术的研发与创新,以满足不断增长的市场需求和行业挑战。我们将不断提升产品性能和可靠性,拓展应用领域,助力氢能产业的健康发展。通过不懈的努力和持续的创新,我们将为建设更安全、更智能的氢能社会贡献更多力量,引领氢气传感技术的未来发展,共创美好明天。
审核编辑:刘清
支持40kW高压电动汽车应用的双向eFuse全新汽...
时间:2026-03-20
工作电压2.8V至23V!Vishay推出新型电子保险...
时间:2026-03-20
半导体保险丝—一种暗藏诸多门道的熔断器
时间:2026-03-20
半导体保险丝/高速熔断器选型指导
时间:2026-03-20
保险丝的作用、工作原理及参数
时间:2026-03-20
汽车继电器和保险丝的区别
时间:2026-03-20
保险丝如何选型
时间:2026-03-20
如何选择合适的保险丝
时间:2026-03-20
电子保险丝的工作原理,电子保险丝怎么使用...
时间:2026-03-20
具有自动状态指示器的保险丝的电路图
时间:2026-03-20
住宅小区负荷与变压器容量的选择技巧
时间:2026-03-06
光伏控制器简介
时间:2026-03-06
三极管的主要参数
时间:2026-03-07
HTCC:半导体封装的理想方式
时间:2026-03-06
变压器并列运行的条件浅析
时间:2026-03-06
半导体三极管的技术参数
时间:2026-03-07
电阻的标称阻值和允许偏差
时间:2026-03-05
石英灯电子变压器电路原理
时间:2026-03-06
玻璃釉电容器的结构与特点
时间:2026-03-05
碳膜电阻如何识别_金属膜电阻器和碳膜电阻器...
时间:2026-03-05