负反馈对网络传递函数的影响
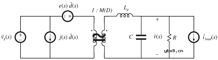
以buck变换器为例,其小信号等效电路模型如图2.1所示。

图2.1 描述占空比d,输入电压vg和负载电流iload的Buck电路小信号模型
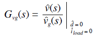
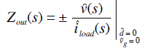
图2.1中描述的等效电路包含三个独立的输入量:控制输入变量占空比^ d ,输入电压变量^v**g和负载电流变量^ i**load 。因此, 输出电压变量^v可以表示为三个独立输入的线性组合 ,如下所示:

其中,“控制-输出”的传函为

“线路-输出”的传函为

输出阻抗为

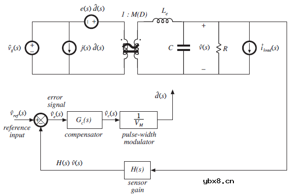
在图2.2(a)中,将图2.1的变换器模型与控制电路框图相结合,图2.2(b)为由传递函数组成的带有负反馈系统的完整buck变换器控制框图。其中,Gc(s)为校正器传函,1/VM为PWM调制器传函,Gvd(s)为变换器功率级传函,H(s)为反馈环路采样增益。

(a) 带有buck变换器等效模型的控制框图

(b) 完整控制框图
图2.2 电压调节系统的buck变换器小信号模型
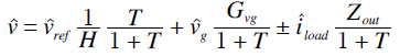
由图2.2(b)求解输出电压,得

上式可以写作如下形式(记号1)

其中,定义

为开环传递函数,即 开环增益T(s)=前向通道及负反馈通道所有增益的乘积 。
以上公式(记号1)表明了添加负反馈对系统输出电压的影响,具体影响方式将在下面具体介绍。
2.1 反馈环节的特点:减小“扰动-输出”传递函数
对于线路扰动,原始(开环)“线路-输出”传递函数为:

加入负反馈时,“线路-输出”传递函数变为

可以看出,反 馈环节使得“线路-输出”传递函数减小了1/(1+T(s))倍。 当T(s)幅值较大时,“线路-输出”传递函数将会明显减小,也就是说由v****g 扰动变化引起的输出电压v变化将会通过反馈回路衰减 。
对于负载电流扰动,原始(开环)输出阻抗:

加入负反馈时,输出阻抗为

可以看出, 反馈环节使得输出阻抗减小了1/(1+T(s))倍。当T(s)幅值较大时,输出阻抗幅值将会明显减小,因而负载电流扰动对输出电压的影响将会减小 。
2.2 反馈环节的特点:降低“给定-输出”传递函数对前向通道增益变化的敏感性
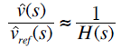
“给定-输出”闭环传递函数为

当开环增益T(s)幅值较大时,例如:当|| T || >> 1时,(1+T) ≈ T且T/(1+T) ≈ T/T = 1,则传递函数变为

可以看出,此时“给定-输出”闭环传递函数与前向通道增益(包括校正器传函Gc(s)、PWM调制器传函1/VM和变换器功率级传函Gvd(s))无关,也就是说开环增益T(s)幅值较大时, 反馈环节的加入能够使得输出电压能够更好的跟随给定电压而与控制器、PWM调制器和功率电路的参数关系不大 。
该结论同样适用于直流量

因此, 要使直流输出电压V完全跟随直流参考电压Vref,只需保证直流反馈回路传感器增益H(0)和直流参考电压Vref已知且准确,且开环增益T(0)足够大即可 。这样减小了输出电压对前向增益的敏感度,增加了输出电压对反馈增益和参考输入的灵敏度。因而,通常情况下,精密采样电阻常用于实现反馈回路H,但在控制器Gc、PWM调制器或功率级电路中不需要使用高精度的元件。
Sensirion和AirTeq合作推出新型室内空气质量...
时间:2026-03-19
可穿戴生物传感器厂商SIBIONICS推出SIBIO K...
时间:2026-03-19
使用RT-Thread和CPK-RA2L1采集DHT11温湿度
时间:2026-03-19
柔性触觉传感阵列+深度学习实现健康监测和纹...
时间:2026-03-19
医疗传感器有哪些_磁传感器在医疗健康领域中...
时间:2026-03-19
液压压力传感器原理及应用场合
时间:2026-03-19
地磁传感器在城市交通中的主要作用
时间:2026-03-19
新型传感器的检测方法
时间:2026-03-19
压电陶瓷传感器的特点及常见用途
时间:2026-03-19
液压传感器的构造及工作原理
时间:2026-03-19
玻璃釉电容器的结构与特点
时间:2026-03-05
电阻的标称阻值和允许偏差
时间:2026-03-05
碳膜电阻如何识别_金属膜电阻器和碳膜电阻器...
时间:2026-03-05
石英灯电子变压器电路原理
时间:2026-03-06
变压器并列运行的条件浅析
时间:2026-03-06
关于STM32WL LSE 添加反馈电阻后无法起振的...
时间:2026-03-05
贴片电阻怎么看阻值
时间:2026-03-05
可调电阻怎么接线
时间:2026-03-05
压敏电阻有正负极吗
时间:2026-03-05
怎样测试三极管的好坏,NPN三极管如何知道是...
时间:2026-03-07