作为人体健康的重要指标之一,葡萄糖的检测一直是研究热点。传统的葡萄糖检测主要以血液中的葡萄糖为检测对象,其优势在于待测物浓度较高,是临床诊断的金标准。但是,血糖检测的有创取样方式既会给患者带来痛苦,又会增加感染的风险。
相比之下,汗液中的葡萄糖检测的采集过程具有无创的优点,而且与血液样本相比,干扰物更少。在检测方法方面,传统的葡萄糖检测方法多基于葡萄糖氧化酶,这种方法具有灵敏度高、选择性好的优点,但由于酶的使用易受环境温度、pH值以及湿度等条件的影响,限制了其应用。因此,许多研究者致力于开发稳定性好、抗干扰能力强、检测限低的电化学无酶葡萄糖传感器。
据麦姆斯咨询报道,东南大学生物科学与医学工程学院的研究人员基于电沉积技术开发了一种简便易操作的三电极制备技术,利用此技术可在印刷电路板上原位合成三电极。利用此电极检测葡萄糖浓度,单次检测所需样品量约为10 μL~20 μL,线性检测范围为50 μmol/L~500 μmol/L,检出限为20 μmol/L。该研究近期以“基于电沉积微型三电极的汗液葡萄糖无酶检测”为题发表于《分析化学》期刊。

工作电极制备条件优化
在三电极体系中,对检测性能起决定性作用的是工作电极。该研究选择使用电沉积方法制备的金电极作为工作电极。影响电沉积效果的主要因素是电沉积时间和电流。为了确定合适的电镀时长,研究人员制备了4组工作电极,并通过能谱仪进行表面元素分析,以确定不同沉积条件下电极表面金元素的比例。
如图2所示,当电沉积时间超过2 h后,电极表面金原子比例增长速度明显下降,因此选择电沉积时间为2 h。为了选择合适的沉积电流,采用5 μA、10 μA、15 μA和20 μA的电流制备工作电极,观察电极表面形貌。如图3所示,随着电流增大,沉积的金颗粒粒径逐渐增大,表面粗糙程度增加,这有助于增多反应位点,但也会削弱金膜的结合力,易在清洗、擦拭、反应过程中脱落。
通过循环伏安法检测葡萄糖溶液,发现使用5 μA电流制备的工作电极稳定性较差,灵敏度低。鉴于采用其它3个电流制备的工作电极灵敏度类似,为了兼顾灵敏度与耐磨性,选择沉积电流为10 μA。


工作电极检测性能验证
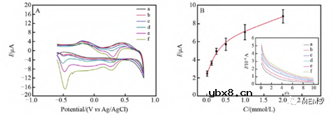
在优化条件下制备得到金电极,将其与铂丝电极、棒状Ag/AgCl电极组成三电极体系,使用循环伏安法对葡萄糖溶液进行检测。结果如图4A所示,循环伏安曲线在0.2 V~0.3 V处有明显的氧化峰,并且峰电流大小与葡萄糖浓度正相关,表明所制备的金电极可用于较高浓度葡萄糖的测定。
与血糖相比,汗液中的葡萄糖具有浓度低、杂质少、pH值低等特性。为了检测汗液中的葡萄糖,需要进一步验证工作电极对低浓度葡萄糖的检测性能。如图4B所示,选择葡萄糖的浓度范围为0~2 mmol/L,使用所制备的工作电极与商用参比电极、对电极进行检测。检测结果发现电流大小与葡萄糖浓度显著相关,表明所制备的金电极可用于低浓度的葡萄糖检测。

电沉积三电极体系的抗干扰性和重现性
为了考察电沉积三电极的抗干扰性能,配制0.1 mmol/L葡萄糖PBS溶液作为分析样品,分别加入乳酸(LA)、尿酸(UA)、对乙酰氨基酚(AP)和抗坏血酸(AA)作为干扰物质,使用三电极体系进行检测。如图5所示,这些干扰物对葡萄糖检测结果的影响较小,说明三电极体系检测葡萄糖具有良好的抗干扰性能。
此外,为了检验电沉积三电极的重现性,使用其对1 mmol/L葡萄糖PBS溶液进行30次连续检测,响应电流相对标准偏差(RSD)为4.4%,说明此三电极具有良好的重现性。

电沉积三电极体系检测人工汗液中葡萄糖浓度
为了考察该三电极体系对汗液中葡萄糖的检测性能,以人工汗液为溶剂,配制不同浓度的葡萄糖溶液,将三电极外接电化学工作站进行计时电流法检测。如图6所示,使用电沉积三电极体系检测人工汗液中葡萄糖所得电流与葡萄糖浓度成线性关系,相关系数R=0.99,线性检测范围为50 μmol/L~500 μmol/L,检出限为20 μmol/L。因此,该研究所制备的微型三电极对人工汗液中的葡萄糖具有良好的检测性能,可用于监测汗液中葡萄糖浓度。

综上所述,基于电沉积技术,研究人员在电路板上原位制备了具有电化学传感性能的微型三电极,此电极对人工汗液中的葡萄糖具有良好的检测性能,线性检测范围为50 μmol/L~500 μmol/L,检出限为20 μmol/L,在实时监测汗液中葡萄糖浓度方面具有良好的应用前景。
审核编辑:刘清
AI技术是如何助推新一代传感器大力发展的?
时间:2026-03-18
物联网的特点有哪些 物联网的常见应用有哪...
时间:2026-03-18
【NuMaker-M2354试用】spi测试分享
时间:2026-03-18
一种用于测量单细胞瞬态响应的封闭式微流控...
时间:2026-03-18
电流检测方案的演变过程
时间:2026-03-18
CMOS兼容的Te/Si超快近红外光电探测器设计实...
时间:2026-03-18
PVDF压电纤维仿生柔性传感器水下传感特性介...
时间:2026-03-18
浅析基于SLAM的机器人自主定位导航
时间:2026-03-18
自动驾驶中基于网格的交通场景感知介绍
时间:2026-03-18
TMR磁传感器芯片有哪些特性?有哪些应用?
时间:2026-03-18
玻璃釉电容器的结构与特点
时间:2026-03-05
电阻的标称阻值和允许偏差
时间:2026-03-05
石英灯电子变压器电路原理
时间:2026-03-06
变压器并列运行的条件浅析
时间:2026-03-06
碳膜电阻如何识别_金属膜电阻器和碳膜电阻器...
时间:2026-03-05
三极管的主要参数
时间:2026-03-07
光伏控制器简介
时间:2026-03-06
关于STM32WL LSE 添加反馈电阻后无法起振的...
时间:2026-03-05
可调电阻怎么接线
时间:2026-03-05
压敏电阻有正负极吗
时间:2026-03-05