星敏感器是以恒星为参照系,以星空为工作对象的高精度空间姿态测量装置,通过探测天球上不同位置的恒星并进行解算,为卫星、洲际战略导弹、宇航飞船等航空航天飞行器提供准确的空间方位和基准,并且与惯性陀螺一样都具有自主导航能力,具有重要的应用价值。
星敏感器的研究发展与应用已历经半个多世纪,随着新材料,新器件的出现和工艺技术的进步,精度提高,功耗减小,成本降低,应用领域日益广泛的新型星敏感器不断推出。因此,及时收集整理分析比较国外星敏感器的信息,有利于国内有关姿态测量控制技术的发展。
在未来星敏感器应该会得到广泛的应用,跟随小编一起来了解一下关于星敏感器的工作原理吧。
CCD 星敏感器主要由外围电路部分,信号检测部分,模拟信号处理部分,数据采集存储部分、数据处理部分以及对外接口部分组成。
信号检测模块包括遮光罩、光学 系统、CCD 探头线路、CCD 光电转换器和光学镜头等几个部分,被捕获到的星体经过光学镜头进行成像,然后由 CCD 组件把星体的光能量转换为模拟电信号,把此电信号再进行处理后,送入数据采集存储部分再进行模数转换与数据采集处理。
当 CCD 摄像头捕获到的星图按数字的方式存储于内存中时,数据处理模块便会对已经数字化后的星图进行星点提取和星点坐标计算以及星图识别处理,并将星体所形成的像点与导航星库进行匹配,经分析可得到与像点相互对应的星体在天球坐标系中的位置坐标,最后由此指向完成载体姿态最终的确定。
其具体工作原理如下,首先星敏感器将捕获到的星图与导航星基准库进行比对,而后利用识别技术得出星图中的恒星体在天球坐标系下的坐标:

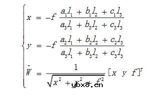
天球系下恒星体的坐标投影到像空间系为:

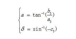
星敏感器的敏感光轴在天球坐标系下的坐标(α,δ)为:

其中,f 表示星敏感器的相机主距;α,δ表示天球的赤经,纬经;l 表示加速度计到原点的距离;a,b,c 表示载体坐标系。
转向辅助灯和自动转向灯的对比 各有何作用
时间:2026-03-16
浅谈接近与环境光强度数字传感器-APDS9930
时间:2026-03-16
详解DHT11数字温湿度传感器实验
时间:2026-03-16
详解Arduino GY-30数字光强传感器应用
时间:2026-03-16
浅析数字传感器的现在与未来
时间:2026-03-16
浅析CC2530下ZigBee协议栈中添加BH1750数字...
时间:2026-03-16
自动大灯远近光原理 自动大灯正确使用方法
时间:2026-03-16
热电偶为什么要冷端补偿
时间:2026-03-16
ZMOD4410总挥发性有机物和室内空气质量传感...
时间:2026-03-16
矽睿科技完成B轮融资 成立新一届董事会
时间:2026-03-16
玻璃釉电容器的结构与特点
时间:2026-03-05
电阻的标称阻值和允许偏差
时间:2026-03-05
石英灯电子变压器电路原理
时间:2026-03-06
变压器并列运行的条件浅析
时间:2026-03-06
关于STM32WL LSE 添加反馈电阻后无法起振的...
时间:2026-03-05
可调电阻怎么接线
时间:2026-03-05
压敏电阻有正负极吗
时间:2026-03-05
碳膜电阻如何识别_金属膜电阻器和碳膜电阻器...
时间:2026-03-05
晶体三极管放大电路的非线形失真及其解决办...
时间:2026-03-07
怎样测试三极管的好坏,NPN三极管如何知道是...
时间:2026-03-07