星敏感器是以恒星为参照系,以星空为工作对象的高精度空间姿态测量装置,通过探测天球上不同位置的恒星并进行解算,为卫星、洲际战略导弹、宇航飞船等航空航天飞行器提供准确的空间方位和基准,并且与惯性陀螺一样都具有自主导航能力,具有重要的应用价值。
随着新材料,新器件的出现和工艺技术的进步,精度提高,功耗减小,成本降低,应用领域日益广泛的新型星敏感器不断推出,大家越来越注重星敏感器误差的问题,这篇文章就要主要星敏感器精度测量的,只有达到更精准的测量才能够尽量的避免误差,一起来了解一下。
由于单星测量精度能够彻底影响光轴的指向精度、姿态角的测量精度以及系统噪声等,所以单星测量精度是星敏感器整体精度的基石也是其关键所在。这里用星等来表征星体的亮度,星等数值越小表示该星体越亮,同时也越容易被观测到。
实际能够用到的星体的星等在 0~7 范围内,且前一星等的平均亮度是后一星等的2.51 倍。星等的精度主要受宇宙背景辐射、杂散光、星敏感器自身精度等误差源的影响,这些误差会造成丢星现象,使星图失真。
为了得到尽可能真实的星图,就需要把这些误差对星等的影响都考虑成零均值的高斯白噪声来继续分析。星图中星体的灰度强弱受星体的星等大小和星敏感器的曝光时间长短的影响较大,且星等数值越高,灰度值越大。由于计算机灰度级有限,只有 256 个灰度级,所以星体灰度的考虑范围在 0~255 之间,星等与灰度的关系可如下表示:

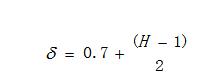
其中:m 为星体的星等;Mmax为星敏感器能够敏感到星等的最大值,它是星敏感器的主要指标之一;g 为星图中星体的灰度。当观测的星体星等超过此最大值时,按最大值计算。由于成像灰度大小随曝光时间的长短成正比,所以在上式的基础上,引入曝光时间来继续考虑,又因为不同星敏感器的曝光时间不同,所以可以用能表征不同星敏感器的曝光系数H来表示灰度与曝光时间的关系即:

其中,

一般把星目标当作理想的点光源,当它的辐射能量在满足一个聚焦平面时,在正常情况下星点的像则会充满一个像元空间,又因为单个 CCD 像元的角分辨率主要影响着它的指向精度,所以可以定义一个像元的角分辨率为:

其中,


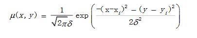
普通情况下,星点目标总会聚集于一小块圆形的连续像元区域里,而焦平面上的星象能量分布取决于星敏感器中的光学系统,所以可以用光学系统的点扩散函数来表示此番能量分布,进而可以把它近似成二维高斯分布函数来表达,而且在仅仅 33 的像元区域内就聚集了 80% 的主能量:

其中:


在δ 取 0.7 时,星等值5.3的星体所成的像的中心大概能达到 255 个灰度;当星等高于 5.3 时,灰度则会溢出,可以通过调整曝光系数 H 的大小来控制灰度的溢出。其次,当 CCD 星敏感器工作时很容易受到天气情况的影响,如:大气折射、杂散光、星云和星团等,其中受杂散光的影响最为显著。当它在夜晚工作时,杂散光较弱,对星体成像影响较小,但在白天运行时,杂散光就会比较强,这就直接影响到了星体质心的提取精度。在星图中这种影响主要的体现就是高亮度,使一些星等数较高的星体不易被识别。
单星测量误差除此之外还有很多种,主要有 A/D 转换器引入的量化误差、光学镜头像差、CCD 自身噪的声、细分算法误差、光学镜头畸变以及电子线路噪声等引起的误差。对于一个明确系统的星敏感器而言,想要提升它自身测量精度,可以通过以下几个办法来实现:多星的统计和多帧的统计以及超高精度的亚像元内插细分方法。前两种是通过统计学方法排除自身随机误差从而来加强测量精度的稳定性能,最后一种是扩大星点位置测量精度的极限,可以说是从根本上解决的一种手段。
小编推荐阅读:《星敏感器工作原理》
《什么是星敏感器,星敏感器的应用》
转向辅助灯和自动转向灯的对比 各有何作用
时间:2026-03-16
浅谈接近与环境光强度数字传感器-APDS9930
时间:2026-03-16
详解DHT11数字温湿度传感器实验
时间:2026-03-16
详解Arduino GY-30数字光强传感器应用
时间:2026-03-16
浅析数字传感器的现在与未来
时间:2026-03-16
浅析CC2530下ZigBee协议栈中添加BH1750数字...
时间:2026-03-16
自动大灯远近光原理 自动大灯正确使用方法
时间:2026-03-16
热电偶为什么要冷端补偿
时间:2026-03-16
ZMOD4410总挥发性有机物和室内空气质量传感...
时间:2026-03-16
矽睿科技完成B轮融资 成立新一届董事会
时间:2026-03-16
玻璃釉电容器的结构与特点
时间:2026-03-05
电阻的标称阻值和允许偏差
时间:2026-03-05
石英灯电子变压器电路原理
时间:2026-03-06
变压器并列运行的条件浅析
时间:2026-03-06
关于STM32WL LSE 添加反馈电阻后无法起振的...
时间:2026-03-05
可调电阻怎么接线
时间:2026-03-05
压敏电阻有正负极吗
时间:2026-03-05
碳膜电阻如何识别_金属膜电阻器和碳膜电阻器...
时间:2026-03-05
晶体三极管放大电路的非线形失真及其解决办...
时间:2026-03-07
怎样测试三极管的好坏,NPN三极管如何知道是...
时间:2026-03-07