
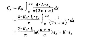
式中a为极板之间的间隙;L为极板长度;x为沿极板宽度方向的变量;ΔX为宽度变化增量 ;εx为被测物介电常数,X从0到b/2(b为单块极板宽度)积分,再乘2,再乘极板对数,得总电容量:

式中K0为实际情况对上述假设情况的一个修正,同时包含极板的并联对数(图中为三对)。由此可知:被测物的组成成分变化能引起总介电常数εx的变化,输出电容值Cx亦随之变化,间接测定物料某特定成分;若被测物是介于导体与绝缘体之间,Cx还要并联C+Rx(图2b)。其中C>>Cx是极板绝缘薄膜(如漆)两边面积之间的电容值,Rx为被测物在传感器极板之间的电阻:Rx=1/Sx,在此Sx是极板间电导,微小极板面积增量(ΔF=LΔx)上的电导ΔSx=Δ(1/Rx),亦可近似表为:

式中σx为被测物的电导率,Sx随σx变化。?
电流流过图2b电路,其瞬间电流与电压关系为:


式中U(s)和I(s)为拉氏运算子电压与电流;Zx(s)为拉式运算子总阻抗;1/SC为运算子容抗,引入运算子阻抗Z,容抗1/SC与感抗SL之后,电路的微分方程变为代数方程,电路的分析类似于直流电路;只当电信号为稳定的正弦波(或余弦波)时,式中的S=jω为虚数,感抗与容抗才变为jωL与1/jωC;电压与电流才变为交流有效电压与有效电流,它类似于富里埃变换,所以图2b敏感输出可表示为电容性运算子阻抗Zx:


若被测物为良导体,Zx便为Cx1与Cx2串联值(图2c)。Cx1为传感器的左边极板与被测物间的绝缘漆与空气隙为中间介质的电容量;Cx2为右边的电容量。Cx1与Cx2随极板与被测物之间的耦合面积及空气隙的大小而变化。由上可知:Zx随被测物εx、Sx、微小空气隙δx、耦合面积Fx等变化而变化。若被测物厚度<20~25mm,还与厚度有关。?
图3a的Zx/fx变换输出:fx≈1/(2RZx),脉冲占空因素由W调整;图3b用集成时基电路组成,输出fx与负脉冲宽度T1为:

相关热词:# #平面电容传感器原理 #电子电路图
工业4.0:称重传感器行业的“四一八”
时间:2026-03-16
大联大世平集团推出智能手机之指纹识别和高...
时间:2026-03-16
大联大友尚集团推出先进的ST新款动作传感器
时间:2026-03-16
Littelfuse公司的新型压装式舌簧传感器安装...
时间:2026-03-16
Dialog公司推出最低功耗的12自由度蓝牙智能...
时间:2026-03-16
SMI推出高稳定性、高精度的中等压力传感器
时间:2026-03-16
大联大品佳集团力推Liteon(光宝科技)应用...
时间:2026-03-16
Molex 为集成传感器系统提供全套印刷型传感...
时间:2026-03-16
Mouser备货业界最小的IO-Link设备收发器Max...
时间:2026-03-16
宇航员可穿戴感应器 Hexoskin助力监控生命体...
时间:2026-03-16
玻璃釉电容器的结构与特点
时间:2026-03-05
电阻的标称阻值和允许偏差
时间:2026-03-05
石英灯电子变压器电路原理
时间:2026-03-06
变压器并列运行的条件浅析
时间:2026-03-06
关于STM32WL LSE 添加反馈电阻后无法起振的...
时间:2026-03-05
压敏电阻有正负极吗
时间:2026-03-05
碳膜电阻如何识别_金属膜电阻器和碳膜电阻器...
时间:2026-03-05
晶体三极管放大电路的非线形失真及其解决办...
时间:2026-03-07
旋转变压器原理与应用知识
时间:2026-03-06
绝缘电阻用什么来测量_绝缘电阻测量方法
时间:2026-03-05