下一代建筑和装饰照明通过适当组合红、绿、蓝LED的输出能够获得更全面的色彩。在这种高亮度、多LED串联的应用中,典型导通压降可能达到22V至36V,吸收电流为1A至2A。图1所示LED驱动器能够为多个LED串联的模块提供2A的驱动电流,正向导通电压可以达到36V。该电路仅驱动RGB LED的一种颜色,驱动三种颜色需要三路这样的驱动器。由于LED产生的光强与其导通电流并非线性关系,选择通过PWM(而非LED电流幅度)控制亮度等级,每个LED由脉冲调制的固定电流控制灯光亮度。IC控制器利用平均电流模式提供LED驱动,需要最少的外部元件。
工作原理
为了高效提供电流驱动,LED驱动器采用连续导通模式(CCM)的boost拓扑,利用平均电流模式控制输入电压的升压转换,为LED负载提供恒流驱动。单一芯片(MAX16821B)工作在300kHz,控制boost转换器工作。由于boost转换器拓扑在转换器输入和输出之间提供了一个直接通道,必须确保串联LED的最小导通电压大于输入电源电压的最大值。LED负载通过MOSFET (Q1)和检流电阻(R13)跨接在boost转换器的输出端,PWM ON期间Q1接通LED电流,PWM OFF期间则断开电流通道。检测R13两端的电压(代表通过LED的电流)时,IC可以抑制共模噪声并在DIFF引脚提供以地为参考的输出,增益为6V/V。检流放大器输出信号与内部电压误差放大器的0.6V基准相比较,差分检流放大器的6V/V增益能够使电流检测的参考点从0.6V降至0.1V,即在额定负载电流下R13的压差只有0.1V,有助于提高效率。该boost转换器采用平均电流控制模式,通过两个反馈环路控制LED电流。外环路检测LED电流,并将其与基准电压相比较,在EAOUT (第17引脚)产生放大后的误差信号。内环路检测误差放大器的电压输出,相应地控制流过电感(L1)的电流。误差放大器输出还决定了以R13设置的电流驱动LED时所需要的电感电流,LED额定电流在R13产生的压降为0.1V。

第二个检流电阻(R15)用于设置电感返回通道的电流。U2内部的差分电流检测放大器提供34.5V/V增益。电流误差放大器将该输出电压与电压误差放大器的输出进行对比,产生内部平均电流控制环路的误差信号。这一放大后的误差信号与内部振荡器斜波进行比较,最终产生PWM信号(在DL第3引脚)用于驱动MOSFET Q2。电流误差放大器的高增益使得电路能够根据电压环路的要求产生平均电感电流(在所允许的限制范围内),保持非常低的误差。在指定的输入电源电压和LED正向导通电压(忽略开关、二极管、检流电阻等元件的压差)下,boost转换器的CCM工作模式决定了PWM开关的占空比,固定占空比与所要求的LED电流相对应,由此确定所需要的电感电流。电压环路控制电流环路产生这一平均电感电流,从而提供所需的LED电流。两个控制环路都应提供独立补偿,以确保稳定工作。
转换器设计
转换器参数要求如下:
● 输入电压范围:9V至15V
● 最大LED正向导通电压:33V
● LED电流:2A
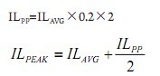
● 开关频率:300kHz(频率较低时会提高滤波成本,频率较高时则会降低效率、提高EMI。根据这些因素,将开关频率优化在300kHz)。
利用下式计算Q2的ON占空比:




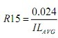
电阻R15检测通过电感的平均电流,在R15上产生25.7mV(最小值)压差的电流是平均电流控制环路所允许的最大电感电流。借助该项功能,能够在过载情况下保护外部器件,通过钳制作用在电流误差放大器的基准电压的最大值实现这一保护功能。选择R15应确保其流过最大电感电流时电阻两端的电压低于25.7mV。该应用中,正常工作时R15两端的最大电压为24mV。可以利用公式:

什么是PCA?何时应该使用PCA?
时间:2026-04-28
仪表放大器放大倍数分析
时间:2026-04-28
射频微波设计入门
时间:2026-04-28
变压器结构
时间:2026-04-28
8种进行简单线性回归的方法分析与讨论
时间:2026-04-28
什么是RS485通信接口
时间:2026-04-28
简单的上色装置
时间:2026-04-26
液晶屏对比度温度补偿
时间:2026-04-26
双输入视频多路复用的电缆驱动器
时间:2026-04-26
带有75Ω负载的抗阻匹配线路驱动器
时间:2026-04-26
电阻的原理和作用 电阻色环识别图 电路中电...
时间:2026-03-09
NVIDIA CPU+GPU超级芯片大升级!
时间:2026-03-09
什么是室温超导?半导体时代将走向结束?芯...
时间:2026-03-09
石英灯电子变压器电路原理
时间:2026-03-06
半导体光刻工艺 光刻—半导体电路的绘制
时间:2026-03-09
什么是硅片或者晶圆?一文了解半导体硅晶圆
时间:2026-03-09
汽车芯片业应汲取的教训
时间:2026-03-09
半导体行业之ICT技术简介
时间:2026-03-09
压敏电阻有正负极吗
时间:2026-03-05
实用模拟电路小常识浅析
时间:2026-03-09