当前位置:首页 > 电子元件 > 正文

JFET放大电路

来源:网络  发布者:电工基础  发布时间:2026-03-09 14:12
1) 固定偏置电路共源组态的基本放大电路如图4-6 所示。为了使耗尽型JFET 工作在放大区,应该给FET 栅极提供负偏压。图4-6a 是为FET提供负偏压的固定偏置放大电路,偏置电压由外加电压Ugg提供,由于FET的输入电阻


JFET放大电路

1) 固定偏置电路共源组态的基本放大电路如图4-6 所示。为了使耗尽型JFET 工作在放大区,应该给FET 栅极提供负偏压。图4-6a 是为FET提供负偏压的固定偏置放大电路,偏置电压由外加电压Ugg提供,由于FET的输入电阻很大,流过栅极的电流几乎为零,因此,Rg两端的电压降为零,

JFET放大电路

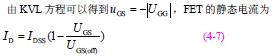
2) 自给偏置电路

式自给偏压电路。

最新文章
什么是BCD码_BCD码怎么换算?什么是BCD码_BCD码怎么换算?

时间:2026-04-25

几种toString的性能对比几种toString的性能对比

时间:2026-04-25

电感的三个法则电感的三个法则

时间:2026-04-25

薄膜和厚膜电阻的区分薄膜和厚膜电阻的区分

时间:2026-04-25

14种大功率PCB设计技巧14种大功率PCB设计技巧

时间:2026-04-25

什么是RTSP? RTSP和RTMP的区别什么是RTSP? RTSP和RTMP的区别

时间:2026-04-24

LCD1602显示原理LCD1602显示原理

时间:2026-04-24

什么是BGA?BGA的结构和性能什么是BGA?BGA的结构和性能

时间:2026-04-24

降低电机驱动风险:栅极驱动器隔离的关键作用降低电机驱动风险:栅极驱动器隔离的关键作...

时间:2026-04-24

电阻温度系数电阻温度系数

时间:2026-04-24