小陈保肝整理了三相半波整流电路,包括带电容滤波和不带电容滤波的,并使用Saber软件对两种电路进行仿真,其中着重对带电容滤波仿真模型中电容参数进行了详细计算。
关键词:三相半波整流电路;
01三相半波整流电流——不带滤波
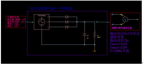
1.1、电路结构图
电路基本结构图如图1-1所示:

图1-1 三相半波整流电路—不带滤波
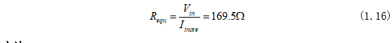
图1-1中三相电压源是通过【ThreePhase】产生,设置幅值电压为311V,频率为50Hz,相位默认120°,输出端滤波电容C2为0F(表示断路),输出端负载为169.5Ω。
1.2、电路分析
由于输出波形没有经过滤波电容,所以其波形是半波,最高输出电压为:
输入电源的电压有效值为220V,其峰峰值为:

输出电压最大值也就是输入电压减去二极管正向电压:

输出电压的最低值两相于30°的相交点:

输出电压的频率:

75Hz指的是两个波形的频率,单个波形的频率为150Hz。
1.3、仿真分析
图1-2是三相输入波形与输出电压波形图:

图1-2 输入与输出电压波形图
图1-2测得输出电压最大值为309V,输出电压最小值为154V; 输入电压最大值310V,输入电压最低值为-310,输出电压的频率为:

实际计算为150Hz,与仿真测试值相差不多,即验证了电路分析的正确性。
02三相半波整流电流——带滤波
2.1、电路结构图

图2-1三相半波整流电路—带滤波
图2-1中三相电压源是通过【ThreePhase】产生,设置幅值电压为311V,频率为50Hz,相位默认120°,输出端滤波电容C2经过计算为485F,输出端负载为169.5Ω。
2.2、电路分析
这个电路就需要计算滤波电容的大小了,不同电容的滤波大小带来的输出电压的纹波值也是各不相同,图2-2表示整流输入电压滤波波形图:

图2-2 整流输入电压滤波图
设置输入输出参数:
表2-1 输入输出参数表

计算步骤:
输入峰值电压:

最大输入功率:

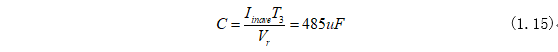
电容可以通过下式确定:

式(1.8)中Iinave是输入电流的平均电流,T3是电容放电时间,Vr是设定的电源纹波。
方法一:
输入电流的平均值为:

其中输出频率fo为:

由于T=t1+t2,其中t1是一个波形的一半周期,其值为:

t2时间为:

式(1.12)用反函数可以求出输出电压峰峰值之间的时间,然后减去波形的相交点时间,就可的t2时间。
所以总时间T3为:

输出纹波电压为:

那么将上述所得代入式(1.8)可得电容为:

同时输出电流为30A时,负载为:

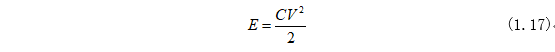
方法二:
电容储能公式为:

其中电容能量为:

同理根据方法一求得参数,可求得电容为:

2.3、仿真分析
图2-3是三相输入波形与输出电压波形图:

图2-3输入与输出电压波形图
图2-3测得输出电压最大值为309V,输出电压最小值为291V;输入电压最大值310V,输入电压最低值为-310,输入电压的频率为:

测得纹波电压为Vr=309V-291V=18V,电容放电时间测得为5.34ms,这些与理论计算值相差不大,说明电容计算是正确的。
相关热词:
回调函数(callback)是什么?回调函数的实现方...
时间:2026-05-08
电压指示测试灯
时间:2026-05-08
PLC自动步程序的7种编程方法
时间:2026-05-08
压力变送器的工作原理
时间:2026-05-08
ipv6和ipv4有什么区别,哪个网速快?
时间:2026-05-08
TFTP简介_TFTP的特点_TFTP的应用
时间:2026-05-08
氩弧焊与电焊的优缺点,哪个更加结实
时间:2026-05-08
使用高压电阻进行设计的 10 个技巧
时间:2026-05-07
数字仪表与模拟仪表:它们有何区别?
时间:2026-05-07
基于半导体的电源模块与分立元件
时间:2026-05-07
基于逻辑门的构成解释如何完成任意逻辑的管...
时间:2026-03-08
彩灯电路
时间:2026-03-05
三相异步电动机原理
时间:2026-03-04
三相异步电动机的拆装详讲
时间:2026-03-04
NE555的有趣电路设计分享
时间:2026-03-08
光耦在电子电路中作用、关键参数详解
时间:2026-03-08
从0学电路,万用表演示测量三极管方法
时间:2026-03-08
电动机单线远程正反转控制电路图
时间:2026-03-04
转角测量电路
时间:2026-03-05
美的电磁炉电路图大全(六款美的电磁炉电路...
时间:2026-03-07