各类电子系统中用于检测、传输、处理信息或能量的微波电路。微波网络理论主要研究微波电路的分析和设计方法,它与电磁场理论(见电磁场基本定理)同为微波领域中的主要理论基础。微波网络是指具有若干输出、输入端口的任意形状及结构的区域,其内为由波导或传输线连接 的微波元器件构成的功能性微波电路或系统。

属于二端口网络的有微波滤波器、模式变换器(用于将波导中的一种电磁波模式变换成另一种)、极化变换器(用于改变波导中电磁波的极化性质)、移相器、铁氧体和隔离器等。属于三端口网络的有功率分配器、铁氧体 Y形环形器等。属于四端口网络的有微波混合接头、定向耦合器和定向滤波器等。用于微波多路通信的多工器属于多端口网络,其功能是把一个宽频带信道分割成若干窄频带信道,使信号分别从不同的端口输出。多工器可由多个定向滤波器连接而成,或由带通滤波器及匹配双T电桥组合而成。
典型的二端口网络是微波晶体管放大器,采用双极型晶体管或场效应晶体管可构成低噪声放大器、功率放大器、宽带放大器和窄频带放大器。典型的三端口网络是微波混频器,常用肖特基势垒二极管作混频管,为了降低混频器噪声还可用二只混频管组成平衡混频器。用于低噪声放大的参量放大器也是一种三端口网络,其典型结构由一个三端口Y形环行器和一个二端口反射式放大器组成。信号自环行器的一个端口输入,经接于第二端口的反射式放大器放大后,由环行器的第三端口输出。反射式放大器具有信号端口和泵源端口,输入信号经变容管的非线性电容吸取泵源功率而获得增益。
任何计算工具的重要意义均是应用于实践,在对于微波网络容量的分析中,可以发现其重要的工作用途,可以将复杂的结构,通过清晰的图表呈现出来,令工作人员明确工作主次以及工作方向,更加有助于工作的顺利开展。在进行计算的过程中,首先需要确认站点所属的城市所在地,通过改变容量进行调整,值得注意的是,站点的属性不能处于正常,所以在设置时,相关属性调整为不对容量进行计算的状态。在“链路表”的设置中需要调整当下成分容量,将其改为目前链路的容量,点击开始计算即可。如果出现过小的需求容量时,代表不必升级优化链路。如果链路需要升级时,需要采用正规的软件对其进行升级与调制,同时,升级软件也可以解决容量资源短缺不足的问题。将微波网络的容量计算设备应用到实际生活当中,可以将复杂的拓扑结构进行简化,使工作人员明白具体的工作内容,并且可以有效解决站点资源容量不充足的问题,为工程的正常发展提供便利。
(1)理解可变短路器实现开路的原理;
(2)学会不同负载下的反射系数的测量、分析和计算;
(3)学会利用三点法测量、分析和计算微波网络的[S]参数。
[S]参数是微波网络中重要的物理量,其中[S]参数的三点测量法是基本测量方法,其测量原理如下:对于互易双口网络有S12=S21,故只要测量求得S11、S12及S21三个量就可以了。被测网络连接如图8-1所示

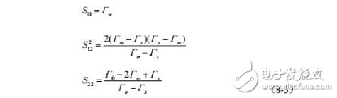
将待测网络依次换接终端短路负载(既有Γi=-1)、终端开路负载(即Γi=1)和终端匹配负载(即Γi=0)时,测得的输入端反射系数分别为Γs、Γo和Γm,代入式(8-1)并解出:

由此得到[S]参数,这就是三点测量法原理。
在实际测量中,由于波导开口并不是真正的开路,故一般用精密可移动短路器实现终端等效开路l0位置(或用波导开口近视等效为开路),如图8-2所示。

(1)将匹配负载接在测量线终端,并将测量线测试系统调整到最佳工作状态;
(2)将短路片接在测量线终端,从测量线终端向信源方向旋转探针座位置(测量线前的大旋钮),使选频放大器指示为零(或最小),此时的位置即为等效短路面,记作zmin0;
(3)在终端将短路片取下,换接上可变短路器,在探针位置 zmin0 处,调节可变短路器使选频放大器指示为零(或最小),记录此时可变短路器的位置 l1 ;
(4)继续调节可变短路器,使选频放大器指示再变为零,再记录此时可变短路器的位置 l2 ;
(5)在终端将可变短路器取下,换接上待测网络,并在待测网络的终端再接上匹配负载,按照实验五的方法测量和计算得到此时的反射系数Γm ;
(6)在待测网络的终端取下匹配负载,换接上可变短路器,并将可变短路器调到位置 l1 ,按照实验五的方法测量和计算得到此时的反射系数Γs ;
(7)将可变短路器调到终端等效开路位置,即 l0=(l1+l2)/2 的位置,按实验五的方法测量和计算得到此时的反射系数Γo ;
(8)要求反复测量三次,并处理数据(即参考实验五方法,将根据测量得到的 Imin 、 Imax 、zmin1 等数据计算相应的反射系数) ; (9)再根据式(8-3)计算得到[S]参数。
zmin0 = 79.56mm li= 12.760mm l2 = 36.984mm
匹配:直接法



过本次实验,我们知道了可变短路器实现开路的原理,学会了不同负载下的反射系数的侧量、分析和计算方法,掌握了利用三点法侧量分析和计算微波网络的[S]参数。第一次测量匹配和开路情况时采用的是大驻波比方法,计算过程中发现驻波比小于6,于是重新使用直接法测量。
相关热词:#微波网络
波特率是什么意思_怎样计算波特率
时间:2026-04-21
RS485基本知识介绍
时间:2026-04-18
什么是激光雷达?激光雷达的构成与分类
时间:2026-04-18
Excelpoint - 一文了解SiC MOS的应用
时间:2026-04-18
什么是磁电阻器?磁电阻特性及应用
时间:2026-04-18
什么是电场?电场在电容器中的应用
时间:2026-04-18
什么是ARM64?
时间:2026-04-17
vga和hdmi的区别
时间:2026-04-17
什么是ESD?ESD及TVS的原理和应用
时间:2026-04-17
开关电源原理与维修完整版 (10)_标清视频
时间:2026-04-16
基于逻辑门的构成解释如何完成任意逻辑的管...
时间:2026-03-08
彩灯电路
时间:2026-03-05
NE555的有趣电路设计分享
时间:2026-03-08
三相异步电动机原理
时间:2026-03-04
三相异步电动机的拆装详讲
时间:2026-03-04
从0学电路,万用表演示测量三极管方法
时间:2026-03-08
电动机单线远程正反转控制电路图
时间:2026-03-04
光耦在电子电路中作用、关键参数详解
时间:2026-03-08
H桥电机驱动电路解析
时间:2026-03-08
转角测量电路
时间:2026-03-05