工频干扰使我们在开发设计之中常见的现象,工频干扰为何会产生?如何解决呢?下文给你带来详细介绍。
示波器的低频输入阻抗是很高的。对于高频信号,由于输入电容的容抗下降,输入阻抗就会下降。由于示波器探头的馈线较长,所以,虽然外层是具有屏蔽层的同轴电缆,但对于丁频这么低的频率,几乎没有屏蔽作用。于是,对于工频来说,探头的馈线就相当于“天线”,会捡拾工频电磁波中的电场干扰,在显示屏上显示出工频干扰的波形,且幅度很大(可达十几伏特)。
如果将探头的探针与地线短接,则显示屏上的波形就会消失。这是因为线间的阻抗下降到零阻抗。实际上,凡是低频高阻抗的测量仪器,都会对工频干扰产生反应(T频干扰本身也是很强的干扰源)。

那么,在用示波器进行测量时,工频干扰对测量结果会有什么影响呢?对一般的被测电路而言,其输出阻抗大多比较低,故工频干扰的影响一般反映不出来。即当示波器的探头与输出阻抗较低的被测电路相连时,显示屏上的工频干扰波形会消失。绝大多数的情况下是这样的。但是,如果被测电路测试点的阻抗很高肘(例如高达几百千欧姆),这种影响就会变得显著了。例如要测量一个场效应管放大器输入端的波形,当把测试点选为其输入耦合电容之后的场效应管的栅极,尽管放大器的输入端所接的信号源的阻抗可能很低。但是,由于场效应管放大器的输入电容的容量一般很小(一般为零点几微法或者更小),对于工频来说,阻抗很高,场效应管的输入阻抗也很高,此时工频干扰的影响将会使测量无法进行,必须采取某些措施来消除工频干扰的影响。
应该说数字滤波器可以有效减小50Hz工频的干扰,完全消除是不可能的。以20ms为最小单位的整倍数周期滤波,可以有效减少工频的干扰。
我们知道,设计数字滤波器,和模拟滤波器的实质,其实就是求一组系数,逼近要求的频率响应。模拟滤波器已经很成熟,因此,数字滤波器的设计,将S平面映射到Z平面就型。采用双线性变化法映射,可以避免多值映射产生的混叠现象。但这有个问题就,模拟域和数字域两者的角频率是非线性的。
平滑滤波器是数字滤波中较早使用的方法,该算法简单,处理速度快,滤波效果较好,但存在明显不足,通带较窄,影响有用信号的分析,有严重削峰,设计方法略。
陷波器,是IIR数字滤波器,有signal notch 滤波器,即单一频率陷波器,以及comb notch滤波器,即梳妆滤波器。
陷波器是无限冲击响应(IIR)数字滤波器,该滤波器可以用以下常系数线性差分方程表示:

式中: x(n)和y(n)分别为输人和输出信号序列; ai和bi为滤波器系数。
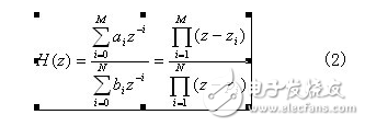
对式(1)两边进行z变换,得到数字滤波器的传递函数为:

式中: zi和pi分别为传递函数的零点和极点。
由传递函数的零点和极点可以大致绘出频率响应图。在零点处,频率响应出现极小值;在极点处,频率响应出现极大值。因此可以根据所需频率响应配置零点和极点,然后反向设计带陷数字滤波器。
相关热词:#滤波器
影响介电常数的因素有哪些?
时间:2026-04-22
关于电流互感器基础知识介绍
时间:2026-04-22
开关电源的工作原理及特性
时间:2026-04-22
绝缘栅双极型晶体管(IGBT)外形、等效结构与...
时间:2026-04-22
信噪比(SNR)的定义,如何计算信噪比
时间:2026-04-22
波特率是什么意思_怎样计算波特率
时间:2026-04-21
RS485基本知识介绍
时间:2026-04-18
什么是激光雷达?激光雷达的构成与分类
时间:2026-04-18
Excelpoint - 一文了解SiC MOS的应用
时间:2026-04-18
什么是磁电阻器?磁电阻特性及应用
时间:2026-04-18
基于逻辑门的构成解释如何完成任意逻辑的管...
时间:2026-03-08
彩灯电路
时间:2026-03-05
NE555的有趣电路设计分享
时间:2026-03-08
三相异步电动机原理
时间:2026-03-04
三相异步电动机的拆装详讲
时间:2026-03-04
从0学电路,万用表演示测量三极管方法
时间:2026-03-08
电动机单线远程正反转控制电路图
时间:2026-03-04
光耦在电子电路中作用、关键参数详解
时间:2026-03-08
H桥电机驱动电路解析
时间:2026-03-08
转角测量电路
时间:2026-03-05