用一个晶体管为主件的电路同时产生振荡和扫频是不多见的,一般都是由一个低频振荡信号去控制另一个高频振荡。图1示出了一个单结晶体管为主的电路产生扫频式的振荡脉冲。由单结管和阻容元件所组成的自激张弛振荡电路的原理是比较普通的。为了达到扫频的目的,一般在单结管的射极上加上低频振荡器产生的。
本电路的特点是由一个单结管同电路时担负这两个任务,电路相当精简。现按由示波器观察到的各点波形(图2)来解释扫频和振荡的梗概。

图1

图2
由图2可见,V2小于单结管的导通电压VP从t1时刻开始,电路中有两条充电回路,E→R1→C→地和E→R1→R2→C2→地。前一条充电回路的时间常数远大于后一条回路的时间常数,在一个△t(T2《△t《T1)时段内,当C2上的充电电压V2到Vp时,C2上的电荷即由单结管的‘e-b1结得到泄放,从而形成高频振荡。当V1上升后。经过后一条充电回路的充电电流将会增加,即后一条充电回路的等效电阻或时间常数将会减小,使V2的上升速率加快,形成更高频串的振荡。当△t移至t2,V1上升到一个定值时,C1上的电荷将通过R2由单结管的e-bl结泄放。完成了一个低频周期。这样周而复始,在R上取得了自扫的振荡脉冲。
从理论上讲,由R1、R2、C1和C2所组成的两节积分电路在阶跃激励之下,选择合适的R1、R2、C1和C2,使得R和R可变的等效电阻的负载线均落在单结管的负阻区,并使高频的变化范围满足设计的要求。从电容器的端电压来分析问题则是C1和C2,尤其是C1上的电荷应同样能从单结管上得到泄放。运用拉氏变换可求得t1时刻的V1和V2,但比较繁复。我们可以先按照对低频f1和高频f2变化范围的要求选定C1和C2,粗定R1和R2,再在调试中确定R1和R2。
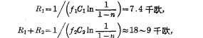
假设单结管的分压比n=0.6,要求低频f1=1.5赫,高频变化范围f2=18~36千赫。由于fa》fu取C1=100微法,C2=3300微微法,则

取W1=10千欧,R2=10千欧(均采用可变电阻器)。R3和R4的选取不再赘述,其数值均标于图1中。考虑至能使用电池,电源选用6伏。
相关热词:#电路
影响介电常数的因素有哪些?
时间:2026-04-22
关于电流互感器基础知识介绍
时间:2026-04-22
开关电源的工作原理及特性
时间:2026-04-22
绝缘栅双极型晶体管(IGBT)外形、等效结构与...
时间:2026-04-22
信噪比(SNR)的定义,如何计算信噪比
时间:2026-04-22
波特率是什么意思_怎样计算波特率
时间:2026-04-21
RS485基本知识介绍
时间:2026-04-18
什么是激光雷达?激光雷达的构成与分类
时间:2026-04-18
Excelpoint - 一文了解SiC MOS的应用
时间:2026-04-18
什么是磁电阻器?磁电阻特性及应用
时间:2026-04-18
基于逻辑门的构成解释如何完成任意逻辑的管...
时间:2026-03-08
彩灯电路
时间:2026-03-05
NE555的有趣电路设计分享
时间:2026-03-08
三相异步电动机原理
时间:2026-03-04
三相异步电动机的拆装详讲
时间:2026-03-04
从0学电路,万用表演示测量三极管方法
时间:2026-03-08
光耦在电子电路中作用、关键参数详解
时间:2026-03-08
电动机单线远程正反转控制电路图
时间:2026-03-04
H桥电机驱动电路解析
时间:2026-03-08
转角测量电路
时间:2026-03-05