本文以TLV3501滞回比较器电路设计为示例,简单为您讲解滞回比较器电路设计的方法与思路,希望对您设计比较器电路有所帮助。
什么是滞回比较器?
滞回比较器:又称施密特触发器,其抗干扰能力强,如果输入电压受到 干扰或噪声的影响,在门限电平上下波动,而输出电压不会在高、低两个电平间反复的跳动。
滞回比较器电路图:

滞回比较器电路设计理论分析及计算:
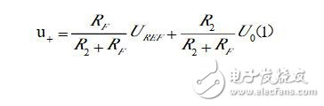
输入电压UI经电阻R1加在集成运放的反向输入端,参考电压UREF经电阻R2接在同向输入端,此外从输入端通过电阻RF引回同向输入端。电阻R和背靠背稳压管VDZ的作用是限幅,将输出电压的幅度限制在±UZ。
利用叠加原理可求得同向输入端的电位为:

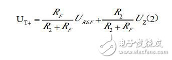
若原来U0=+UZ,当UI逐渐增大时,使U0从+UZ跳变为-UZ所需的门限电平用UT+表示,由上式知

若原来的U0=-UZ,当UI逐渐减小,使U0从-UZ跳变为+UZ所需的门限电平用UT-表示,则

由R=30kOhm,R2=20kOhm,UREF=6V,带入以上公式可以得到,UT+=5V,UT-=2V,即当UI增大时,在UI=5V时U0发生跳变,而当UI减小时,则在U0=2V时发生跳变。输出波形为矩形波。
滞回比较器设计仿真结果分析,如下所示:

仿真分析:由RF=30kOhm,R2=20kOhm,UREF=6V,带入公式(1)(2)(3)可以得到,UT+ =5V,UT- =2V,即当UI增大时,在UI=5V时U0发生跳变,而当UI减小时,则在U0=2V时发生跳变。输出波形为矩形波
得出结论:滞回比较器效果显著,所测得数值与理论计算数值误差在实验范围之内,是有效的实验。
相关热词:#电路图
影响介电常数的因素有哪些?
时间:2026-04-22
关于电流互感器基础知识介绍
时间:2026-04-22
开关电源的工作原理及特性
时间:2026-04-22
绝缘栅双极型晶体管(IGBT)外形、等效结构与...
时间:2026-04-22
信噪比(SNR)的定义,如何计算信噪比
时间:2026-04-22
波特率是什么意思_怎样计算波特率
时间:2026-04-21
RS485基本知识介绍
时间:2026-04-18
什么是激光雷达?激光雷达的构成与分类
时间:2026-04-18
Excelpoint - 一文了解SiC MOS的应用
时间:2026-04-18
什么是磁电阻器?磁电阻特性及应用
时间:2026-04-18
基于逻辑门的构成解释如何完成任意逻辑的管...
时间:2026-03-08
彩灯电路
时间:2026-03-05
NE555的有趣电路设计分享
时间:2026-03-08
三相异步电动机原理
时间:2026-03-04
三相异步电动机的拆装详讲
时间:2026-03-04
从0学电路,万用表演示测量三极管方法
时间:2026-03-08
光耦在电子电路中作用、关键参数详解
时间:2026-03-08
电动机单线远程正反转控制电路图
时间:2026-03-04
H桥电机驱动电路解析
时间:2026-03-08
转角测量电路
时间:2026-03-05