CMOS单稳态触发器CC14528的逻辑符号与功能示于图9-2(a)中。

1.根据功能表,画出在图9-2(b)所示的触发信号下Q端的波形。
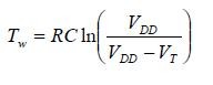
2.若已知Q端输出脉宽Tw的计算公式为

式中VDD为电源电压,VT为CMOS门的阈值电压。要得到Tw为1ms的脉冲,试确定外接电容Cext的取值。设Vt=1/2Vdd.R=500kΩ。画出CC14528的接线图。
解
1.画Q端波形
由功能表知,CC14528电路正常工作时,R端应置高电平。触发信号由TR+输入时,属↓触发,此时TR-应为1,若TR-=0,则Q端状态保持,无正脉冲输出;而在TR-端加触发信号时,属↓触发,此时要求TR+=0,若TR+=1,则Q端状态保持,没有单脉冲输出。图9-2(c)所示波形即为在已知输入条件下,Q端的波形。
2.确定电路元件参数
在已知Vt=1/2Vdd的条件下,外接电容Cext应为

Tw=1ms,外接电阻R=500kΩ时,可解得
Cext=2900(pF)
CC14528的接线图如图9-2(d)所示。

图9-2(c) 图9-2(d)
相关热词:#CC14528
波特率是什么意思_怎样计算波特率
时间:2026-04-21
RS485基本知识介绍
时间:2026-04-18
什么是激光雷达?激光雷达的构成与分类
时间:2026-04-18
Excelpoint - 一文了解SiC MOS的应用
时间:2026-04-18
什么是磁电阻器?磁电阻特性及应用
时间:2026-04-18
什么是电场?电场在电容器中的应用
时间:2026-04-18
什么是ARM64?
时间:2026-04-17
vga和hdmi的区别
时间:2026-04-17
什么是ESD?ESD及TVS的原理和应用
时间:2026-04-17
开关电源原理与维修完整版 (10)_标清视频
时间:2026-04-16
基于逻辑门的构成解释如何完成任意逻辑的管...
时间:2026-03-08
彩灯电路
时间:2026-03-05
NE555的有趣电路设计分享
时间:2026-03-08
三相异步电动机原理
时间:2026-03-04
三相异步电动机的拆装详讲
时间:2026-03-04
从0学电路,万用表演示测量三极管方法
时间:2026-03-08
电动机单线远程正反转控制电路图
时间:2026-03-04
光耦在电子电路中作用、关键参数详解
时间:2026-03-08
H桥电机驱动电路解析
时间:2026-03-08
转角测量电路
时间:2026-03-05