零序电流保护指利用接地时产生的零序电流使保护动作的装置,叫零序电流保护。在电缆线路上都采用专门的零序电流互感器来实现接地保护。中性点直接接地系统发生接地短路,将产生很大的零序电流,利用零序电流分量构成保护,可以作为一种主要的接地短路保护。零序过流保护不反应三相和两相短路,在正常运行和系统发生振荡时也没有零序分量产生,所以它有较好的灵敏度。
利用接地时产生的零序电流使保护动作的装置,叫零序电流保护。在电缆线路上都采用专门的零序电流互感器来实现接地保护。
可靠是对电力系统的根本要求之一,继电保护装置是电网安全可靠运行的重要保证,其可靠性对整个电网的可靠运行有着重大的影响。以往的继电保护可靠性研究主要针对保护系统软、硬件失效进行可靠性评估,建模和算法理论都基于固定的运行方式、不变的元件可靠性模型和参数,忽略系统实时运行条件的变化以及计算、测量等误差对元件停运概率的影响,与电网运行的相关性较小。
考虑继电保护实际运行环境对其的影响,利用保护的原理性进行可靠性分析,并对电网进行风险评估的研究正在兴起。根据继电保护装置的动作逻辑,利用Markov状态空间的理论,提出了计算继电保护系统正确切除故障的概率模型,利用实际统计数据进行的算例分析验证了模型的合理性。

原理
零序电流保护:中性点直接接地系统发生接地短路,将产生很大的零序电流,利用零序电流分量构成保护,可以作为一种主要的接地短路保护。零序过流保护不反应三相和两相短路,在正常运行和系统发生振荡时也没有零序分量产生,所以它有较好的灵敏度。但零序过流保护受电力系统运行方式变换影响较大,灵敏度因此降低,特别是短距离线路上以及复杂的环网中,由于速动段的保护范围太小,甚至没有保护范围,致使零序电流保护各段的性能严重恶化,使保护动作时间很长,灵敏度很低。
特点
零序电流保护的最大特点是:只反映接地故障,因为系统中的其他非接地短路故障不会产生零序电流,所以零序电流保护不受任何故障干扰
对l10kV以上中性点直接接地系统中的电力变压器,一般应装设零序电流(接地)保护,作为变压器主保护的后备保护和相邻元件短路的后备保护。
大接地电流系统发生单相或两相接地短路时,零序电流的分布和大小与系统中变压器中性点接地的台数和位置有关。
一、变电所单台变压器的零序电流保护
零序电流保护装于变压器中性点接地引出线的电流互感器上,其原理接线如图所示。保护动作后切除变压器两侧的断路器。

零序电流保护的整定计算:
动作电流按与被保护侧母线引出线零序保护后备段在灵敏度上相配合的条件进行整定,即

式中 Kph——配合系数,Kph取1.1—1.2;
Kfz——零序电流分支系数。其值为远后备范围内故障时,流过本保护与流过出线零序保护零序电流之比

二、变电所多台变压器的零序电流保护
当变电所有多台变压器并列运行时,只允许一部分变压器中性点接地。中性点接地的变压器可装设零序电流保护,而不接地运行的变压器不能投入零序电流保护。
当发生接地故障时,变压器接地保护不能辨认接地故障发生在哪一台变压器。若接地故障发生在不接地的变压器,接地保护动作,切除接地的变压器后,接地故障并未消除,且变成中性点不接地系统在接地点会产生较大的电弧电流,使系统过电压。
同时系统零序电压加大,不接地的变压器中性点电压升高,其零序过电压可能使变压器中性点绝缘损坏。
为此,变压器的零序保护动作时,首先应切除非接地的变压器。若故障依然存在,经一个时限阶段Δt后,再切除接地变压器,其原理接线如图所示。

每台变压器都装有同样的零序电流保护,它是由电流元件和电压元件两部分组成。正常时零序电流及零序电压很小,零序电流继电器及零序电压继电器皆不动作,不会发出跳闸脉冲。发生接地故障时,出现零序电流及零序电压,当它们大于起动值后,零序电流继电器及零序电压继电器皆动作。电流继电器起动后,常开触点闭合,起动时间继电器KT1。时间继电器的瞬动触点闭合,给小母线A接通正电源,将正电源送至中性点不接地变压器的零序电流保护。不接地的变压器零序电流保护的零序电流继电器不会动作,常闭触点闭合。小母线A的正电源经零序电压继电器的常开触点、零序电流继电器的常闭触点起动有较短延时的时间继电器KT2经较短时限首先切除中性点不接地的变压器。若接地故障消失,零序电流消失,则接地变压器的零序电流保护的零序电流继电器返回,保护复归。。若接地故障没有消失,接地点在接地变压器处,零序电流继电器不返回,时间继电器KT1一直在起动状态,经过较长的延时KT1跳开中性点接地的变压器。
零序电流保护的整定计算: 动作电流:
(1)与被保护侧母线引出线零序电流第三段保护在灵敏度上相配合,所以

(2)与中性点不接地变压器零序电压元件在灵敏度上相配合,以保证零序电压元件的灵敏度高于零序电流元件的灵敏度。 设零序电压元件的动作电压为Udz.0,则

零序电流元件的动作电流为

动作电压整定:按躲开正常运行时的最大不平衡零序电压进行整定。根据经验,零序电压继电器的动作电压一般为5V。当电压互感器的变比为nTV时,电压继电器的一次动作电压为

变压器零序电流保护作为后备保护,其动作时限应比线路零序电流保护第三段动作时限长一个时限阶段。即

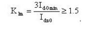
灵敏度校验:按保证远后备灵敏度满足要求进行校验

RS485基本知识介绍
时间:2026-04-18
什么是激光雷达?激光雷达的构成与分类
时间:2026-04-18
Excelpoint - 一文了解SiC MOS的应用
时间:2026-04-18
什么是磁电阻器?磁电阻特性及应用
时间:2026-04-18
什么是电场?电场在电容器中的应用
时间:2026-04-18
什么是ARM64?
时间:2026-04-17
vga和hdmi的区别
时间:2026-04-17
什么是ESD?ESD及TVS的原理和应用
时间:2026-04-17
开关电源原理与维修完整版 (10)_标清视频
时间:2026-04-16
开关电源原理与维修完整版 (11)_标清视频
时间:2026-04-16
半导体光刻工艺 光刻—半导体电路的绘制
时间:2026-03-09
石英灯电子变压器电路原理
时间:2026-03-06
什么是硅片或者晶圆?一文了解半导体硅晶圆
时间:2026-03-09
什么是室温超导?半导体时代将走向结束?芯...
时间:2026-03-09
北京理工大学实现了光导型向平面光伏型量子...
时间:2026-03-09
HTCC:半导体封装的理想方式
时间:2026-03-06
如何利用可扩展的柔性中间层制备超低模量电...
时间:2026-03-09
光伏控制器简介
时间:2026-03-06
电阻的原理和作用 电阻色环识别图 电路中电...
时间:2026-03-09
NVIDIA CPU+GPU超级芯片大升级!
时间:2026-03-09