线形光耦介绍
光隔离是一种很常用的信号隔离形式,由光耦器件及其外围电路组成。
由于光耦电路简单,在数字隔离电路或数据传输电路中常常用到。如RS485通信、采用PWM调整的4-20mA电流环等;
对于模拟信号,由于光耦的输入输出线性差,并且随温度变化较大,限制了其在模拟信号隔离的应用。
对于高频交流模拟信号,变压器隔离是最常见的选择,这种办法不适用于直流以及低频交流信号的隔离。
一些厂家提供隔离放大器作为模拟信号隔离的解决方案。
如ADI的AD202,其能够提供从直流到几K的频率内提供0.025%的线性度。
但这类隔离器件先在进行电压-频率转换,对产生的交流信号进行变压器隔离,然后进行频率-电压转换得到隔离效果。
集成的隔离放大器内部电路复杂,体积大,成本高,不适合大规模应用。
模拟信号隔离的一个比较好的选择是使用线形光耦。
线性光耦的隔离原理与普通光耦没有差别,只是将普通光耦的单发单收模式稍加改变,增加一个用于反馈的光接受电路用于反馈。
这样,虽然两个光接受电路都是非线性的,但两个光接受电路的非线性特性都是一样的,这样,就可以通过反馈通路的非线性来抵消直通通路的非线性,从而达到实现线性隔离的目的。
市场上的线性光耦有几种可选择的芯片,如Agilent公司的HCNR200/201、TI子公司TOAS的TIL300、CLARE的LOC111等。
这里以HCNR200/201为例介绍。
芯片介绍与原理说明
HCNR200/201的内部框图如下所示:

HCNR200/201的内部框图▲
其中1、2引作为隔离信号的输入,3、4引脚用于反馈,5、6引脚用于输出。
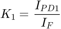
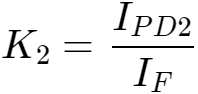
1、2引脚之间的电流记作IF,3、4引脚之间和5、6引脚之间的电流分别记作IPD1和IPD2;
输入信号经过电压-电流转化,电压的变化体现在电流IF上;
IPD1和IPD2基本与IF成线性关系,线性系数分别记为K1和K2,即:


K1与K2一般很小(HCNR200是0.50%),并且随温度变化较大(HCNR200的变化范围在0.25%到0.75%之间),但芯片的设计使得K1和K2相等。
在后面可以看到,在合理的外围电路设计中,真正影响输出/输入比值的是二者的比值K3,线性光耦正利用这种特性才能达到满意的线性度的。
HCNR200和HCNR201的内部结构完全相同,差别在于一些指标上。
相对于HCNR200,HCNR201提供更高的线性度。
采用HCNR200/201进行隔离的一些指标如下所示:
* 线性度:HCNR200:0.25%,HCNR201:0.05%;
* 线性系数K3:HCNR200:15%,HCNR201:5%;
* 温度系数:-65ppm/oC;
* 隔离电压:1414V;
* 信号带宽:直流到大于1MHz。
从上面可以看出,和普通光耦一样,线性光耦真正隔离的是电流。
要想真正隔离电压,需要在输出和输出处增加运算放大器等辅助电路。下面对HCNR200/201的典型电路进行分析,对电路中如何实现反馈以及电流-电压、电压-电流转换进行推导与说明。
典型电路分析
Agilent公司的HCNR200/201的手册上给出了多种实用电路,其中较为典型的一种如下图所示:

HCNR200/201典型电路▲
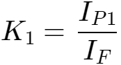
设输入端电压为Vin,输出端电压为Vout,光耦内部的两个电流传递系数分别为K1、K2。
其中光耦初级的电路如下图所示:

光耦初级的电路图▲
设运放负端的电压为



(1)
其中,

忽略运放负端的输入电流,可以认为通过



(2)
通过



(3)
其中,为光耦2脚的电压,考虑到LED的导通电压基本不变,这里的

根据光耦的特性,即

将(1)-(3)的表达式代入上式,可得:


(5)
移项,化简得到,

(6)
将表达式(6)代入(3),得到:



当G特别大时,

这样,输出与输入电压的关系如下:

可见,在上述电路中,输出和输入成正比,并且比例系数只由K3和R1、R2确定。
一般选R1=R2,达到只隔离不放大的目的。
辅助电路与参数确定
上面的推导都是假定所有电路都是工作在线性范围内的,
要想做到这一点需要对运放进行合理选型,并且确定电阻的阻值。
1 运放选型
运放可以是单电源供电或正负电源供电,上面给出的是单电源供电的例子。
为了能使输入范围能够从0到VCC,需要运放能够满摆幅工作,另外,运放的工作速度、压摆率不会影响整个电路的性能。
TI公司的LMV321单运放电路能够满足以上要求,可以作为HCNR200/201的外围电路。
2 阻值确定
电阻的选型需要考虑运放的线性范围和线性光耦的最大工作电流IFmax。
K1已知的情况下,IFmax又确定了IPD1的最大值IPD1max。
这样,由于Vo的范围最小可以为0,这样,由于
考虑到IFmax大有利于能量的传输,另外,由于工作在深度负反馈状态的运放满足虚短特性,因此,考虑IPD1的限制,
这样,R2可以根据所需要的放大倍数确定,例如如果不需要放大,只需取R2=R1即可。
另外由于光耦会产生一些高频的噪声,通常在R2处并联电容,构成低通滤波器,具体电容的值由输入频率以及噪声频率确定。
3 参数确定实例
假设确定Vcc=5V,输入在0-4V之间,输出等于输入,采用LMV321运放芯片以及上面电路,下面给出参数确定的过程。
* 确定IFmax:HCNR200/201的手册上推荐器件工作的25mA左右;
* 确定R3:R3=5V/25mA=200;
* 确定R1:;
* 确定R2:R2=R1=32K。
审核编辑 :李倩
TLP521和6N136,正负边一般使用多大的电阻
时间:2026-03-23
PLC晶体管输出和继电器输出的区别
时间:2026-03-23
TLP280-4(GB-TP,J,F)的参数
时间:2026-03-23
4通道光耦 PS2801-4(NEC2801-4), 2011年价格...
时间:2026-03-23
TOSHIBA晶体管输出光电耦合器,TLP127,2011年...
时间:2026-03-23
光宝光耦LTV-847崛起,热卖型号
时间:2026-03-23
遇到光耦的异常情况需注意的几个方面
时间:2026-03-23
目前绝缘栅器件(IGBT)驱动技术现状
时间:2026-03-23
浅析IGBT驱动
时间:2026-03-23
输出高达2A且带过流保护的IGBT驱动光耦HCPL...
时间:2026-03-23
住宅小区负荷与变压器容量的选择技巧
时间:2026-03-06
石英灯电子变压器电路原理
时间:2026-03-06
光伏控制器简介
时间:2026-03-06
玻璃釉电容器的结构与特点
时间:2026-03-05
三极管的主要参数
时间:2026-03-07
HTCC:半导体封装的理想方式
时间:2026-03-06
变压器并列运行的条件浅析
时间:2026-03-06
电阻的标称阻值和允许偏差
时间:2026-03-05
半导体三极管的技术参数
时间:2026-03-07
贴片电阻怎么看阻值
时间:2026-03-05