光半导体的类型
光半导体的类型如下:
(1)发光器件・・・可见光LED、红外LED、紫外LED、激光二极管
(2)受光器件・・・光传感器、太阳能电池、CMOS传感器
(3)复合器件(发光元件与受光元件的组合)・・・光耦、光纤耦合器

LED的发光原理
发光二极管(LED)的发光原理是向化合物半导体的pn结施加正向电流。
当正向电流通过发光二极管时,载流子(电子和空穴)移动。p型区的空穴向n型区移动,n型区的电子向p型区移动。注入的载流子重组,重组前后的能量差将以光的形式释放出来。发射光取决于化合物半导体的能隙(Eg)。
(备注:传统的硅二极管不发光,因为重组能量变成了热能。)

LED的波长范围
LED发射不同波长的紫外光乃至红外光。发射波长将通过下面采用化合物半导体材料能隙(Eg)的等式进行表示。
λ(nm)=1240/Eg(eV)
具有较大能隙的材料发射较短的波长,具有较小能隙的材料发射较长的波长。
对于应用于电视遥控器等的红外LED,使用GaAs(砷化镓)材料;对于红色/绿色指示器LED,使用GaP(磷化镓)或InGaAlP(磷化铝镓铟);对于蓝色LED,使用InGaN(氮化铟镓)或GaN(氮化镓)。

不同材料LED的发光颜色(按材料)

什么是光耦?
光耦是将发光二极管(LED)和光电探测器集成于一个封装中的器件。与其它光学器件不同,光不会发射至封装外。其外观类似于非隔离器/固态继电器。虽然光耦是一种光学器件,但它不处理光,而是处理电信号。
光耦的操作示例:
(1)LED接通(0⇒1)。
(2)LED光进入光电晶体管。
(3)光电晶体管接通。
(4)输出电压改变0⇒1。
(1)LED关断(1⇒0)。
(2)LED光停止进入光电晶体管。
(3)光电晶体管关断。
(4)输出电压改变1⇒0。

为什么需要光耦?
在光耦中,原边(LED侧)和副边(受光器件侧)是电绝缘的。因此,即使原边和副边的电位(甚至GND电位)不同,也可以将原边电信号传输到副边。
如右图所示的逆变器应用中,控制单元(如微控制器)通常在低直流电压下工作。另一方面,IPM和IGBT将驱动高电压负载(比如需要200V交流电)。高压系统部件可通过耦合器直接由微控制器控制。

光耦的类型
LED用于光耦的输入。另一方面,有各种器件可用于输出。
晶体管输出
光电晶体管是一种探测器。也可使用达林顿类型。
IC输出
我们有光电二极管作为受光器件的产品、逻辑等输出产品、用于IGBT和MOSFET栅极驱动的大电流输出产品、以及隔离放大器等高功能产品。
双向可控硅/晶闸管输出
光电晶闸管或光电可控硅用于输出。它们主要用于交流线路的控制。
光继电器(MOSFET输出)
光伏阵列(光电二极管阵列)驱动MOSFET的栅极来打开/关闭输出。通过这种操作,它可以用作MOSFET输出的继电器开关。

光耦的类型(封装)
光耦必须具有符合安全标准的封装形状和介电强度。根据安全标准进行设计时,需要检查以下各项。
绝缘爬电距离
两个导体之间沿绝缘体表面的最短距离(原边和副边)。
间隙
通过空气测量的两个导体之间的最短距离。
绝缘厚度
两个导体之间绝缘体的最小距离。
隔离电压
两个导体之间的隔离电压 *
根据UL规定,即使施加1分钟也不会破坏绝缘的交流电压。

光耦的类型(内部结构)
由于要求的绝缘性能、封装尺寸和内部芯片尺寸等限制,光耦具有不同类型的内部封装结构。
单模透射型:
框架式LED和框架式光电探测器采用面对面的模压封装。LED与光电探测器之间的透光部件采用硅树脂材料。
带膜的单模透射型:
为了提高隔离电压,可在LED和光电探测器之间插入聚酰亚胺薄膜。
双模透射型:
在这种透射结构中,内模为白色,外模为黑色。红外线透光率高的树脂用于透光部件的白色模具。
反射型:
框架式LED和框架式光电探测器位于同一平面。LED光在硅树脂中反射并到达光电探测器。因此,它被称为反射型。

光耦的安全标准
将光耦安装在电气设备中以保护人体免于触电时,光耦可能需要遵守不同安全标准方面的规定。
现行有各种确保安全的法规和标准。
从设计和制造的角度来看,安全标准可分为“设定标准”和“零件标准”。
设定标准是设计和制造电视机、录像机和电源装置等设备的基础。“整机标准”根据设备类型、隔离方法及其等级、驱动电压等不同而异。
此外,绝缘部分必须保持的项目(介电强度(绝缘电压)、爬电距离、间隙等)被指定为“零件标准”。

主要安全标准
零件标准
UL1577(cUL)
隔离电压标准(1分钟)
批准组织:UL(美国保险商实验室公司)
EN60747-5-5
最大工作隔离电压和最大过压标准
批准组织:VDE(德国电气工程师协会)
批准组织:TUV(技术监督协会)
整机标准
(批准组织:BSI(UK)SEMKO(瑞典)等)
EN60950
电信网络设备(工作站、PC机、打印机、传真电阻器、调制解调器等)标准
EN60065
家用电器设备标准(电视、收音机、录像机等)
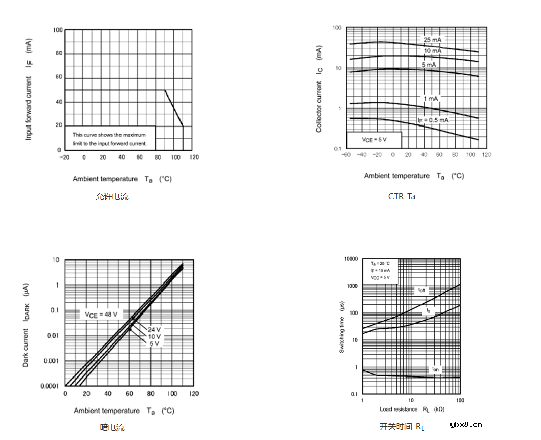
光耦的特性(电流传输比:CTR)
晶体管耦合器的电流传输比:它是用输出电流相对于输入电流的放大率来表示的,比如晶体管hFE。
电流传输比=CTR=IC/IE=输出(集电极)电流/输入电流×100(%)

例如:
当输出是IF=5mA时,得到IC=10mA。
CTR=IC /IF=10mA/5mA×100(%)=200%


光耦的主要特性(触发LED电流)
触发LED电流”是指“触发状态发生变化的LED电流”。
IFT, IFH, IFLH, IFLH等用作符号。
规格书中显示的触发LED电流表示了产品保证的电流值。为了稳定运行,设计人员在设计时必须保证至少有触发LED电流(最大值)流动。

输入LED电流IF从0mA逐渐增大,如果输出在1mA时切换到导通状态,则IFT=1mA。
在下面的规格书中,将输出切换到导通状态所需的IF
最大值为3mA。

触发LED电流是电路设计和使用寿命设计的重要项目。
光耦的老化变化数据
光耦的老化变化数据
发光元件(LED)的光输出会随时间的推移而减弱。在光耦中,LED光输出的老化变化比受光器件的老化变化更为明显。因此,设计人员需要利用所采用的光耦的老化变化数据来估计发光等级的降低趋势。设计人员将根据使用设备的使用环境和LED的总工作时间来计算LED的光输出变化。必须将该值反映在LED正向电流(IF)的初始值中。
*例如,当占空比(发光持续时间)为50%,工作时间为1000小时,则计算总运行时间为500小时。

左图显示了LED光输出老化变化数据。
右图显示了LED光输出低于某一标准时的运行时间。
例如,左图中的A点和右图中的B点显示了相同条件下的老化变化。(IF=50mA,Ta=40℃,8000小时)
如何使用光耦
这些问题将在下一页通过以下步骤进行解释。
第1步:设计LED输入电流IF及输入侧电阻RIN
第2步:根据IF和CTR计算输出电流
第3步:设计输出侧电阻RL
第4步:检查每个设计常数

如何使用光耦“输入电流”
第1步:设计LED输入电流和输入电阻RIN。

光耦的输入电流(IF)是多少?
它将由(1)输入电源电压(5V),(2)限流电阻(RIN)和(3)LED正向电压(VF)决定。
根据规格示例,确定限流电阻和输入电流(IF)。
RIN=(VCC-VF)/IF=(5V-1.3V)/10mA=370Ω

如何使用光耦“输出电流”
第2步:根据IF和CTR计算光电晶体管的输出电流。

光耦的输出电流(IC)值是多少?
根据电流传输比(IC/IF)计算输入电流(IF)=10mA时输出电流(IC)的变化。从IC-IF曲线可以看出IC=10mA(@IF=5mA,VCE=5V,Ta=25℃)。所以这个样本的CTR是200%, 这与当BL最小时的值相同(200%到600%)。还可以看到IC=20 mA(@IF=10 mA、VCE=5V、Ta=25℃)。
接下来,我们用这里得到的IC值来推导RL。在这项计算中,设计RL的值,使得VCE即使在IC值最小时也成为饱和电压。
如何使用光耦“输出侧电阻器”
第3步:设计输出侧电阻RL
根据输出晶体管的IC-VCE特性确定RL。为了用于信号传输,必须完全满足连接到负载侧的器件的“L”电平。
这里,我们设置VCE=0.3V作为目标值。
当RL=1kΩ时,IF=10mA,VCE=0.9V,这无法满足目标值。当RL=2kΩ时,VCE=0.2V左右,这可以满足目标值。因此,选择RL=2kΩ。在实际设计中,还必须考虑负载侧的阻抗。

如何使用光耦检查
第4步:检查每个设计常数
考虑工作温度、速度、使用寿命设计、电阻公差等是否具有足够的裕度。

温度范围 ⇒ VF,CTR,允许电流等。
负载电阻 ⇒ 开关速度,暗电流的影响等。

确认器件使用寿命
光耦的输入LED光输出会随着时间的推移而减弱。
必须确认特性满足要求,同时必须考虑器件在使用寿命目标期间的退化趋势。
光耦的老化变化可以根据输入电流(IF)和环境温度来计算。

最后说说做硬件的心得,除了每天处理项目上的事情外,还需要不断的提高自己的水平,完善自己的知识体系。好在事不必躬亲,平时除了参考芯片供应商提供的电路图或者现有产品的成熟设计外,也可以看看我为大家整理的资料:7G保姆级高质量硬件设计资料,欢迎各位硬件组长、硬件经理、硬件总监购买。
不管遇到什么困难,都要记住,它们都是暂时的,唯有坚持是永恒的。
TLP521和6N136,正负边一般使用多大的电阻
时间:2026-03-23
PLC晶体管输出和继电器输出的区别
时间:2026-03-23
TLP280-4(GB-TP,J,F)的参数
时间:2026-03-23
4通道光耦 PS2801-4(NEC2801-4), 2011年价格...
时间:2026-03-23
TOSHIBA晶体管输出光电耦合器,TLP127,2011年...
时间:2026-03-23
光宝光耦LTV-847崛起,热卖型号
时间:2026-03-23
遇到光耦的异常情况需注意的几个方面
时间:2026-03-23
目前绝缘栅器件(IGBT)驱动技术现状
时间:2026-03-23
浅析IGBT驱动
时间:2026-03-23
输出高达2A且带过流保护的IGBT驱动光耦HCPL...
时间:2026-03-23
住宅小区负荷与变压器容量的选择技巧
时间:2026-03-06
石英灯电子变压器电路原理
时间:2026-03-06
玻璃釉电容器的结构与特点
时间:2026-03-05
光伏控制器简介
时间:2026-03-06
三极管的主要参数
时间:2026-03-07
HTCC:半导体封装的理想方式
时间:2026-03-06
变压器并列运行的条件浅析
时间:2026-03-06
电阻的标称阻值和允许偏差
时间:2026-03-05
半导体三极管的技术参数
时间:2026-03-07
贴片电阻怎么看阻值
时间:2026-03-05