Simcenter Amesim电池老化参数辨识工具内置于电池单体和电池包模型中,该工具基于老化经验公式帮助用户通过电池老化试验获得描述电池老化的相关参数。

图1 电池老化参数辨识流程

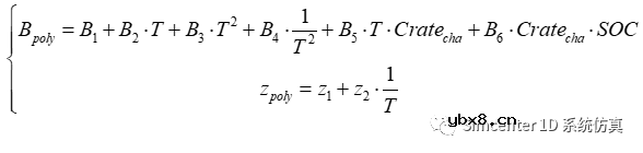
其中:




仿真过程中SOC、温度及电流倍率均随时间变化,容量衰减率可由下式对时间积分后获得:









其中



如图2所示:基于老化试验数据通过线性回归可得到满足Qvs.Time关系的B(I,SOC,T)、z(I,SOC,T)的线性函数,再通过非线性回归拟合得到满足B=f(I,SOC,T)、z=f(I,SOC,T)的非线性函数,函数类型的迭代即根据P值大小剔除非线性多项式无关项,明确多项式类型。

图2 老化参数辨识工作原理
参数辨识的目的是要分别为











表1 不同阶多项式的构成元素

下面给出一个2阶



其中,




电芯、电池模组和电池包三者有什么区别?如...
时间:2026-03-22
电池怎么做绝缘处理?电池模组绝缘片起到什...
时间:2026-03-22
电池模组绝缘片的制造工艺有哪些,它们对电...
时间:2026-03-22
亿纬锂能麟驹系列电动两轮车电池首批发货仪...
时间:2026-03-22
在电池模组中,除了绝缘片,还有哪些措施可...
时间:2026-03-22
深度解读广汽全固态电池技术
时间:2026-03-22
广汽科技全固态电池与无图纯视觉智驾引领智...
时间:2026-03-22
天合光能新一代柔性储能电池舱Elementa 2真...
时间:2026-03-22
锂电池和超级电容器哪个更耐用
时间:2026-03-22
“固态电池”和“半固态电池”是水火不容吗...
时间:2026-03-22
住宅小区负荷与变压器容量的选择技巧
时间:2026-03-06
光伏控制器简介
时间:2026-03-06
石英灯电子变压器电路原理
时间:2026-03-06
变压器并列运行的条件浅析
时间:2026-03-06
玻璃釉电容器的结构与特点
时间:2026-03-05
电阻的标称阻值和允许偏差
时间:2026-03-05
三极管的主要参数
时间:2026-03-07
HTCC:半导体封装的理想方式
时间:2026-03-06
半导体三极管的技术参数
时间:2026-03-07
碳膜电阻如何识别_金属膜电阻器和碳膜电阻器...
时间:2026-03-05