1.概述:
太阳能光伏电池简称光伏电池,用于把太阳光能直接转化为电能。本文学习介绍其数学模型,光生伏特效应暂不讨论。
2.光伏电池等效模型电路;

Rsh为等效漏电阻 Rs为等效串联电阻。由电路原理得到输出电流

式中q为电子电荷,1.610∧-19C,K为玻尔兹曼常数,1.3810∧-23 j/K
Tj为热力学温度。二极管饱和导通电流为Io,二极管常数表示为n。由于Rsh等效漏电阻一般比较大可忽略。
一般情况Rs等效串联电阻远小于VD正向导通电阻。故Iph=Isc(短路电流),(V-I*Rs)=V 。 在最大功率点时 V=Vmp,I=Imp , 开路时 V=Vos,I=0 。并且定义两个常数 C1*Isc=Io, C2*Voc=nKTj/q 综合这几个条件可得:

一般Vos,Vmp,Isc,Imp,这些参数会随着太阳的光照强度S和温度T影响。所以需要加一些系数改变数学模型来描述实际光伏电池的特性曲线。本文学习介绍的修正方法基于IEC 60891:2009的标准:
3.阿特斯CS6X-305实例数学模型;


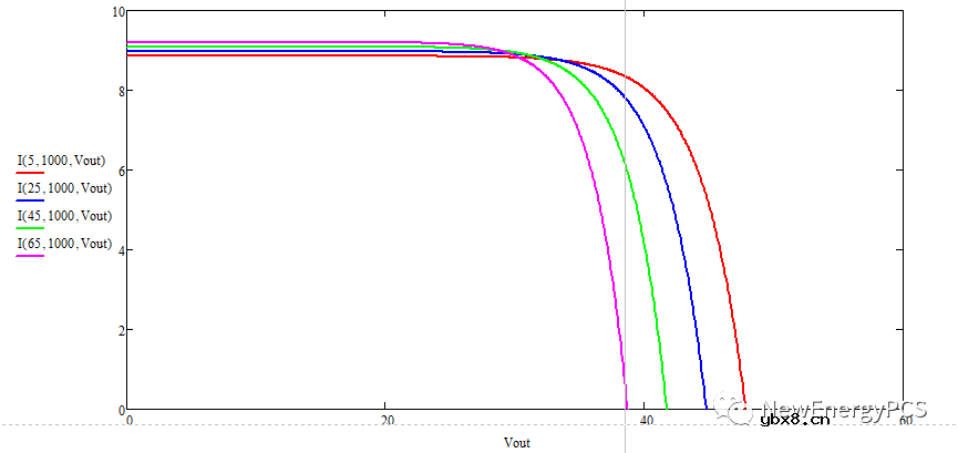
IV曲线:



对比规格书曲线与数学模型曲线差异不大,工程上可以使用。
PV曲线:


电芯、电池模组和电池包三者有什么区别?如...
时间:2026-03-22
电池怎么做绝缘处理?电池模组绝缘片起到什...
时间:2026-03-22
电池模组绝缘片的制造工艺有哪些,它们对电...
时间:2026-03-22
亿纬锂能麟驹系列电动两轮车电池首批发货仪...
时间:2026-03-22
在电池模组中,除了绝缘片,还有哪些措施可...
时间:2026-03-22
深度解读广汽全固态电池技术
时间:2026-03-22
广汽科技全固态电池与无图纯视觉智驾引领智...
时间:2026-03-22
天合光能新一代柔性储能电池舱Elementa 2真...
时间:2026-03-22
锂电池和超级电容器哪个更耐用
时间:2026-03-22
“固态电池”和“半固态电池”是水火不容吗...
时间:2026-03-22
住宅小区负荷与变压器容量的选择技巧
时间:2026-03-06
光伏控制器简介
时间:2026-03-06
石英灯电子变压器电路原理
时间:2026-03-06
变压器并列运行的条件浅析
时间:2026-03-06
玻璃釉电容器的结构与特点
时间:2026-03-05
电阻的标称阻值和允许偏差
时间:2026-03-05
三极管的主要参数
时间:2026-03-07
HTCC:半导体封装的理想方式
时间:2026-03-06
半导体三极管的技术参数
时间:2026-03-07
碳膜电阻如何识别_金属膜电阻器和碳膜电阻器...
时间:2026-03-05