背景介绍
随着电池能量密度的增加,电动汽车的续航里程和能量容量显著提高。然而,这一技术进步反过来又导致了电池热故障的风险,如热失控(TR)。根据拟议的全球技术法规,电动汽车系统应在热失控传播到达乘客舱之前5分钟提供警告信号,确保足够的救援和灭火时间。然而,各种极端条件会触发热失控现象,并且热失控传播速度在各种电池类型的不同操作条件下会发生变化。因此,及时检测正在工作的电池热失控故障对电池安全具有重要意义。
成果简介
近日,清华大学欧阳明高团队、清华大学冯旭宁团队以及同济大学戴海峰团队强强联手,研究了不同形式方形电池在热失控和热失控传播过程中的应变特性,根据复杂的化学成分相互作用和热失控特征将应变变化趋势分为三个阶段。实验结果证明,该信号为电池管理系统的及时解决方案提供了超过500s的间隔。此外,对最大应变增量(Δεmax)/capacity(Q)-Q进行了定量分析,还提出了Δεmax-Q和RI-Q等式,以揭示热失控的机械特征,并指导电池管理系统(BMS)的热失控警告阈值定义。此外,热失控传播试验也证明了应变的变化趋势和预警效果。热失控传播应变机制是从机械变形的角度解释的。电池变形与热失控传播方向相反,指导了事故分析。这项研究为直列配置电池系统提出了一种廉价可靠的警告信号,只需一个应变仪连接在第一个/最后一个电池外壳的表面中心,这更有可能保证电池系统的主动安全。
图文导读 01 3.1方法
本研究选取了三种商业化的大尺寸方形三元LIBs。采用电感耦合等离子体(ICP)-光发射光谱法对正极材料进行了测试。表1展示了测试LIBs的基本信息:

【表1】测试电池的基本信息
图1(a)分别描绘了样品B和C内部的两个和四个胶状卷。可以将K型热电偶插入电池中心,以获取内部温度并精确评估热响应。图1(b)展示了热电偶插入过程,包括几个步骤:(1)在0%荷电状态下钻孔;(2)带有绝缘盖和耐热密封剂的热电偶插入件;(3)干燥24小时后重新充电,电压测量用于ISC检查。如图1(c)所示,电池热失控(TR)/热失控传播(TRP)测试是在防爆室内通过横向加热进行的。加热板用于第一电池的TR触发,其在第一触发时刻关闭。在加热器前后模块表面设置了云母板,以减少不必要的热传导。模块的预载设定为1N·m。应变仪连接在背面中心,用于对TR/TRP过程中的电池外壳应变特性进行定性和定量分析。除了内部温度测量外,其他K型热电偶用耐高温外壳固定在前/后表面。几根导线连接到蓄电池接线片上,用于电压监测。

【图1】本研究方法示意图(a.电池样品;b.热电偶插入;c.电池TR/TRP测试)。
02 3.2热失控过程中的应变特征
如图2(a-c)所示,应变的变化趋势可分为三个阶段:一、稳定增加阶段:由于热膨胀和气体生成/积聚的耦合影响,应变随着电池温度的升高而增加;二、快速增加阶段:当电池TR被触发时,严重的电化学反应会产生大量的热量和气体,导致外壳应变和温度急剧增加;III、释放阶段:当内部压力达到安全阀阈值时,阀门会喷出气体、烟雾和颗粒。电池外壳应变显著释放。如图2(a-f)所示,一些特征现象与应变曲线的变化相对应。当电池温度达到电解质的沸点时,发生“第一次放气”,电解质流将爆发,对应于表观应变上升率的变化时间。在气体、烟雾和颗粒的“主要排放”之后,电池外壳应变的明显释放对应于严重的燃烧、爆炸或烟雾排放。

【图2】TR试验期间的温度-电压-应变曲线(a-c.样品A-C的特性曲线;d-f.样品A-C应变谷/下降分析)。
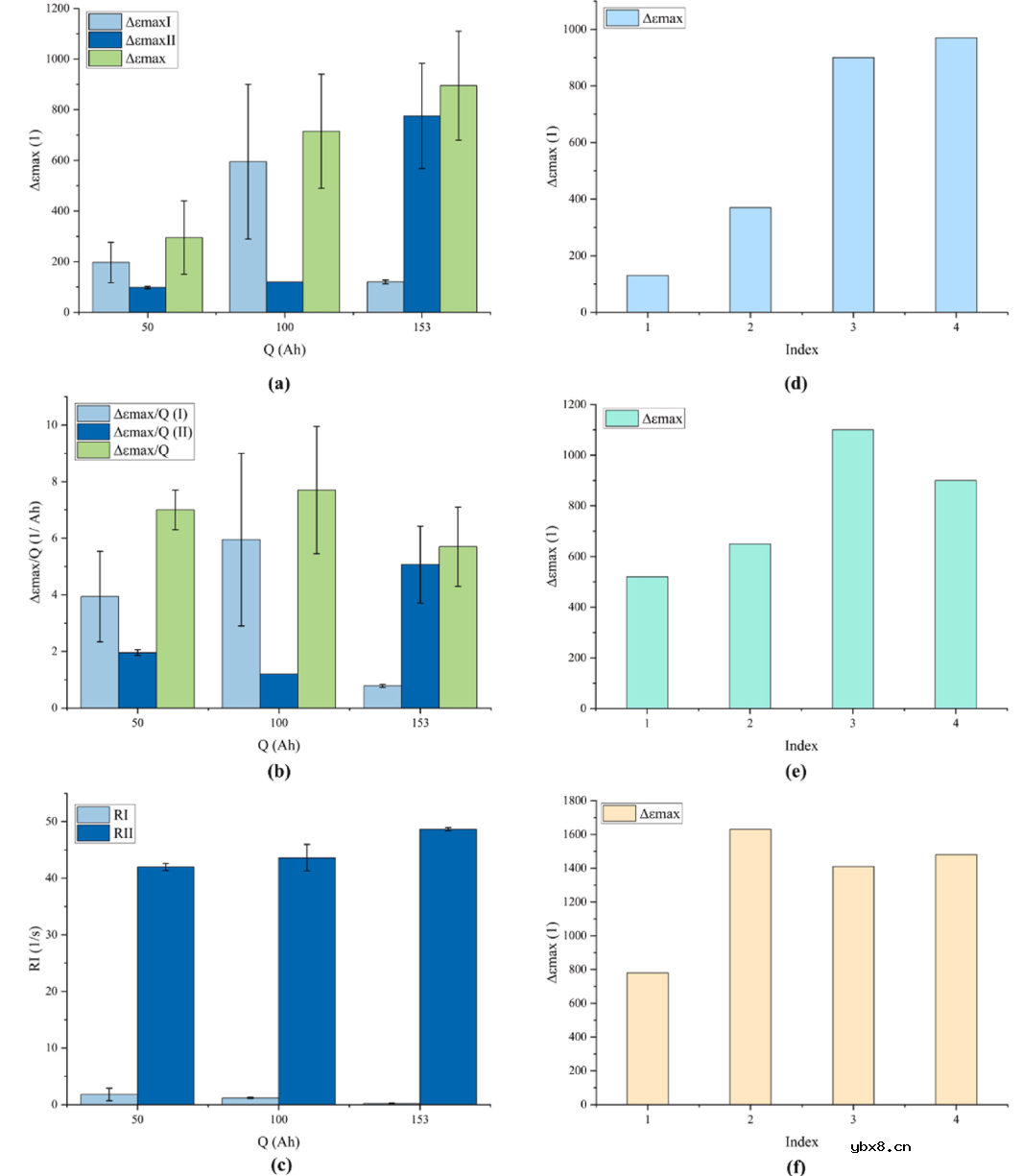
如图3(a)所示,随着电池容量的增加,方形电池变得更厚,胶状卷数量增加,并且在稳定增加阶段的应变增量不太明显。然而,由于大容量电池内部产生了更多的反应性材料和气体,因此快速增加阶段的应变增量(Δεmax)更为显著。基于先前的研究,基于NCM523和NCM622的正极的气体产生能力关系分别为1.4–1.5L/Ah和1.6–1.7L/Ah。考虑到正极材料中的镍含量,可以为气体产生提出因子f,这会影响TR过程中应变的变化。NCM523和NCM622正极电池的系数值分别计算为1.05和1。总应变增量和电池容量之间的线性关系可以近似地描述为等式(1):

其中Δεmax和Q分别表示方形电池的最大应变增量和理论容量;f表示气体发生正极镍含量因子。
可以计算应变增加率R(t)来评估TR阶段并采取相应措施,计算公式为:

利用两个阶段的平均应变增加率RI和RII来定义警告阈值,可以计算为(3)、(4):

其中ΔεmaxI和ΔεmaxII表示前两个阶段的应变增量。TI和TII分别表示前两个阶段的间隔。
图3(b-c)描述了Δεmax/Q-Q均衡和R-Q曲线。随着电池容量的增加,与小型方形电池相比,第一阶段的外壳应变增加率并不明显,这是由于外壳尺寸和凝胶卷数量,这表明了线性关系,可以近似地描述为等式(5)。

然而,由于大尺寸方形电池内有更多的活性材料,因此会产生更多的气体。因此,电池样品C在第二阶段的应变增加率比样品A和B更显著。线性关系可近似描述为方程(6):


【图3】应变特性曲线(TR过程中的a-c.Δεmax-Q、Δεmax/Q-Q、R-Q曲线;TRP过程中电池样品a-c的d-f.Δεmax,n-cellindex曲线)。
表2比较了每个信号的TR警告间隔。可以得出的结论是,应变的增加可以比传统的电信号更早地被检测到,从而在电池TR触发之前为逃生和救援提供了更多的时间。此外,正如TRP测试所证明的那样,在线配置中的任何单元的异常故障(热/电/机械滥用、缺陷)只能用一个应变仪检测,这在实际应用中比其他警告传感器便宜。
此外,基于应变的警告信号对于大容量方形电池表现出更大的优势,因为电池内部有更厚、更多的凝胶卷。加速横向加热试验证明,在相同的加热功率(700W)下,应变信号为电池样品C提供了超过500s的间隔。随着大尺寸方形电池在运输/储能中的更多应用,应变信号可以为主动安全做出更多贡献。
【表2】不同信号之间的警告间隔比较。

03 3.3热失控传播过程中的应变特征
图4(a-c)描述了TRP过程中电池样品A-C的应变温度分布。可以观察到,可以在每个电池的TR触发时间之前更早地检测到应变增加。此外,如图4(d)所解释的,在TRP过程中也可以证明每个电池“主要排气”后的应变释放。如图4(e)所示,每个电池在排气后都是空的和软的,并且TR电池膨胀以抑制相邻的电池。然而,下一个电池的TR不是用刚性外壳触发的。因此,在TRP过程中,TR电池只能显著地抑制前方电池。变形与TRP方向相反。
图3(d-f)总结了TRP过程中每个电池的定量应变增量。可以观察到,应变增量(Δεmax,n)通常随着电池指数的增加而增加。随着电池容量的增加,由于大容量电池内部产生了更多的反应性材料和气体,TR应变增量增加。

【图4】TRP试验期间的温度应变曲线/机制(a-c.样品A-C的特性曲线;d-e.TR/TRP过程中电池外壳应变变化示意图)。
总结与展望
本研究提出了一种基于应变的监测和报警方法,以提高不同方形电池的直列电池系统的主动安全性,为BMS提供了一种廉价可靠的监测传感器选择。主要结论总结如下:
(1)TR应变的变化趋势可分为三个阶段:一、稳定增加阶段:由于热膨胀和气体生成/积聚的耦合影响,应变随电池温度的升高而增加;二、快速增加阶段:当电池TR被触发时,严重的电化学反应会产生大量的热量和气体,导致外壳应变和温度急剧增加;三、释放阶段:当内部压力达到阀门阈值时,阀门会喷出气体、烟雾和颗粒。电池外壳应变显著释放。此外,一些特征现象与应变曲线的变化相对应,如“首次放空”、严重燃烧、爆炸或“主放空”后的烟气放空。
(2)随着电池容量的增加,方形电池变得更厚,第一阶段的应变增量和增长率RI不太明显。然而,由于大容量电池内部产生了更多的反应性材料和气体,因此快速增加阶段的应变增量(Δεmax)更为显著。Δεmax-Q、RI-Q和RII-Q方程适用于大尺寸方形电池,可用于BMS的TR机械警告阈值定义。
(3)应变增加可以比传统的电信号更早地被检测到,从而在TR触发之前为逃生和救援提供更多的时间。加速横向加热试验证明,在相同的加热功率(700W)下,应变信号为电池样品C提供了超过500s的间隔。随着大尺寸方形电池在运输/储能中的更多应用,应变信号可以为主动安全做出更多贡献。
(4)每个电池的应变增加和释放也可以在TRP过程中得到证明。排气后,每个电池变空变软,TR电池膨胀以抑制相邻电池。然而,下一个单元的TR不是用刚性外壳触发的。因此,在TRP处理期间,TR单元只能抑制超前单元。变形与TRP方向相反。此外,在TRP过程中,Δεmax,n通常随着电池指数的增加而增加。
TR应变信号是一种可靠的监测和警告信号,可增强直列配置方形电池系统的主动安全性。在未来的工作中,有必要研究更多电池类型和运行条件在不同状态(SOC、SOH)和触发模式下的TR应变变化机制,这对其在电动汽车和ESS中的进一步应用具有重要意义。
审核编辑:刘清
电芯、电池模组和电池包三者有什么区别?如...
时间:2026-03-22
电池怎么做绝缘处理?电池模组绝缘片起到什...
时间:2026-03-22
电池模组绝缘片的制造工艺有哪些,它们对电...
时间:2026-03-22
亿纬锂能麟驹系列电动两轮车电池首批发货仪...
时间:2026-03-22
在电池模组中,除了绝缘片,还有哪些措施可...
时间:2026-03-22
深度解读广汽全固态电池技术
时间:2026-03-22
广汽科技全固态电池与无图纯视觉智驾引领智...
时间:2026-03-22
天合光能新一代柔性储能电池舱Elementa 2真...
时间:2026-03-22
锂电池和超级电容器哪个更耐用
时间:2026-03-22
“固态电池”和“半固态电池”是水火不容吗...
时间:2026-03-22
住宅小区负荷与变压器容量的选择技巧
时间:2026-03-06
光伏控制器简介
时间:2026-03-06
三极管的主要参数
时间:2026-03-07
石英灯电子变压器电路原理
时间:2026-03-06
变压器并列运行的条件浅析
时间:2026-03-06
玻璃釉电容器的结构与特点
时间:2026-03-05
电阻的标称阻值和允许偏差
时间:2026-03-05
HTCC:半导体封装的理想方式
时间:2026-03-06
半导体三极管的技术参数
时间:2026-03-07
碳膜电阻如何识别_金属膜电阻器和碳膜电阻器...
时间:2026-03-05