
(1)直流特性

(2)噪声特性
总噪声:

产生复合噪声:

电子、空穴扩散噪声:

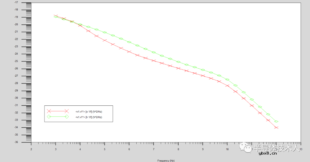
电子、空穴闪烁噪声:

############################################
功率二极管结构参数:
根据实际电参数指标要求,在25℃室温情况下,当测试电流IR=5μA时,器件反向重复峰值电压(VRRM)需高于1200V。
为保证器件结构设计的可靠
性,对击穿电压指标考虑10%的裕量,即击穿电压设计目标值为1320V。图2为仿真得到的N型单晶硅电阻率对器件击穿电压的影响,在仿真过程中,衬底少子寿命为10μs,高阻N型区厚度为180μm,P+区表面浓度为5E19cm-3,结深为10.5μm。
当N型单晶硅电阻率大于45Ω.cm时,器件击穿电压约为1400V,满足设计要求。图3为仿真得到的高阻N型单晶硅厚度对器件击穿电压的影响。
在仿真过程中,衬底少子寿命为10μs,原始单晶硅电阻率为45Ω.cm,P+区表面浓度为5E19cm-3,结深为10.5μm。
当高阻N型单晶硅厚度≥90μm时,器件击穿电压约为1350V,满足设计要求。器件基本结构参数选择为:原始N型单晶硅片晶向为<111>,少子寿命为10μs,单晶硅电阻率为45Ω.cm。利用三重扩散工艺制备得到N+/N结构,N+衬底砷杂质扩散深度为160μm,砷表面浓度为5E19cm-3;高阻N型区厚度为100μm;阳极区硼扩散表面浓度为5E19cm-3,硼扩散结深为变量,变化范围为1.5~13.5μm。
电芯、电池模组和电池包三者有什么区别?如...
时间:2026-03-22
电池怎么做绝缘处理?电池模组绝缘片起到什...
时间:2026-03-22
电池模组绝缘片的制造工艺有哪些,它们对电...
时间:2026-03-22
亿纬锂能麟驹系列电动两轮车电池首批发货仪...
时间:2026-03-22
在电池模组中,除了绝缘片,还有哪些措施可...
时间:2026-03-22
深度解读广汽全固态电池技术
时间:2026-03-22
广汽科技全固态电池与无图纯视觉智驾引领智...
时间:2026-03-22
天合光能新一代柔性储能电池舱Elementa 2真...
时间:2026-03-22
锂电池和超级电容器哪个更耐用
时间:2026-03-22
“固态电池”和“半固态电池”是水火不容吗...
时间:2026-03-22
住宅小区负荷与变压器容量的选择技巧
时间:2026-03-06
光伏控制器简介
时间:2026-03-06
石英灯电子变压器电路原理
时间:2026-03-06
变压器并列运行的条件浅析
时间:2026-03-06
玻璃釉电容器的结构与特点
时间:2026-03-05
电阻的标称阻值和允许偏差
时间:2026-03-05
三极管的主要参数
时间:2026-03-07
HTCC:半导体封装的理想方式
时间:2026-03-06
半导体三极管的技术参数
时间:2026-03-07
碳膜电阻如何识别_金属膜电阻器和碳膜电阻器...
时间:2026-03-05