背景介绍
在便携式电子设备、电动汽车和可再生能源系统快速发展的推动下,锂离子电池(LIBs)已成为应用最广泛的储能系统之一。然而,随着对能量密度更高、循环寿命更长、成本更低的锂离子电池需求的增加,人们对决定锂离子电池性能和成本的先进正极材料的需求变得更加迫切。层状正极材料LiMO2(M=Ni,Co,Mn或Al),由于其容量接近理论比容量,是很有前途的正极材料。然而,富镍正极固有的化学和结构不稳定性导致了一些问题,包括容量快速衰减、热不稳定性、气体演化和安全问题。具体来说,正极中Ni含量越高,微裂纹越严重,有利于电解液的渗透,从而扩大了暴露在电解液下的面积。因此,由于微裂纹,形成类NiO岩盐杂质相的副反应以及氧的释放在整个颗粒中发生,加速了正极降解。
通过掺杂,涂层,和浓度梯度设计有望克服这些问题。在这些方法中,掺杂因其简单有效而应用最为广泛。例如,Mg2+、Al3+、Zr4+和Ti4+增加了Ni2+离子从过渡金属(TM)位点向锂离子位点迁移的热力学势垒。此外,这些元素加强了与氧的结合,从而提高了结构稳定性,抑制了氧损失。一般来说,通过掺杂来稳定正极的结构主要是使用氧化态低于4+的常规掺杂剂。然而,最近的研究表明,含有Nb5+、Ta5+、Mo6+和W6+等高价元素的正极明显优于掺杂低价元素的正极。高价掺杂剂可以有效地改变正极的微观结构,抑制微裂纹的形成,而微裂纹是正极降解的罪魁祸首。然而,高氧化态掺杂剂掺杂机理尚未得到详细的研究。
正文部分
01 成果简介
近日,汉阳大学Yang-KookSun院士,通过在不同温度下煅烧LiNiO2(LNO)和X掺杂LNO正极(X=Al,Nb,Ta和Mo),研究了高价元素掺杂富镍正极的新机制及其对形貌和晶体结构的影响。原位X射线衍射分析表明,对于具有高氧化态的掺杂剂,Li-X-O化合物含量下降时的煅烧温度更高,导致晶界偏析增强,煅烧温度范围变宽。因此,在较宽的煅烧温度范围内,掺杂高价元素后的LNO正极保持了高度排列的微观结构和高结晶度,提高了电化学性能。作为下一代掺杂剂,高价元素不仅可以强化富镍正极的晶体结构,还可以强化其微观结构,从而使富镍正极的电化学性能最大化。该研究以题目为“Mechanismof Doping with High-Valence Elements for Developing Ni-Rich CathodeMaterials”的论文发表在国际顶级期刊《AdvancedEnergy Materials》上。
02 图文导读

【图1】a)LNO,b)Al-LNO, c)Nb-LNO, d)Ta-LNO, e)Mo-LNO正极在650~800℃煅烧后的SEM横截面图。
采用共沉淀法合成了氢氧化镍前驱体。将氢氧化物前驱体与LiOH∙H2O混合,在目标温度(650~800℃)下煅烧制备LNO正极,在混合步骤中加入0.5mol%的X掺杂剂(X=Al、Nb、Ta或Mo)制备X掺杂LNO正极。X掺杂正极分别表示为Al-LNO、Nb-LNO、Ta-LNO和Mo-LNO。
在650~800℃的温度下煅烧后,研究了原始和掺杂LNO正极初级颗粒的形貌和微观结构的演变(图1)。正极的SEM横截面图表明,随着煅烧温度的升高,LNO正极的初级颗粒变得更粗,并转变成较大的等轴形状,在800℃时甚至超过2µm。此外,在700°C以上的温度下,粒子的径向排列变得越来越任意。掺杂Al的正极表现出与LNO相似的粗化行为,颗粒形状没有明显变化,说明0.5mol%的Al对颗粒形貌没有影响。在700℃下用Al2O3代替Al(OH)3制备的Al-LNO正极横截面与Al(OH)3的微观结构相似,无论是用Al2O3还是Al(OH)3,Al掺杂的机理和效果都是相似的。然而,Nb-、Ta-和Mo-LNO正极的初级颗粒形貌有很大差异。各温度下初级颗粒均小于LNO,且无论煅烧温度如何,初级颗粒均保持径向排列。经800℃煅烧后,含有高价元素的正极与650~700℃煅烧的原始LNO正极微观结构相似。具体来说,在750°C以上,与Nb和Ta相比,Mo在保持初级粒度方面更有效。因此,在较宽的温度范围内,掺杂Nb、Ta或Mo能够有效抑制粗化和保持颗粒形态和排列。细颗粒和长颗粒的径向排列可以有效防止微裂纹的产生,而微裂纹是富镍正极降解的主要原因。因此,从微观结构的角度来看,Nb、Ta和Mo比Al更具优势。

【图2】a,b)Al-LNO,c,d)Nb-LNO, e,f)Ta-LNO, g,h)Mo-LNO正极的TEM−EDS元素分布图和跨晶界线扫描。
在高温煅烧过程中,存在降低边界表面自由能的驱动力,使得LNO正极等多晶材料容易发生晶粒生长,如图1所示。然而,掺杂Nb、Ta和Mo后,在维持微观结构方面存在显著差异,表明存在某种力抑制了边界迁移。由于晶界处的溶质偏析可以在动力学或热力学上固定晶界,因此通过透射电子显微镜(TEM-EDS)进行能量色散X射线能谱分析,分析了在700℃煅烧的X掺杂LNO正极中特定元素的偏析。在Al-LNO正极中,Al均匀分布在整个颗粒中,因为小而轻的Al3+可以很容易地融入体相中(图2a,b)。因此,Al-LNO正极表现为粗化颗粒,与原始LNO正极一样,表明没有抑制晶界迁移的驱动力。相反,元素映射和沿晶界的线扫描显示,即使在掺杂量为0.5mol%时,晶界处仍存在高浓度的Nb、Ta和Mo(图2c-h)。这种特定元素的偏析可以延缓边界迁移,从而抑制初级颗粒的生长。因此,在较宽的煅烧温度范围内,即使少量,高价元素也能有效地抑制颗粒的粗化并保持正极的微观结构。

【图3】利用原位XRD得到了a)LNO、b)Al1-LNO、c)Nb1-LNO、d)Ta1-LNO和e)Mo1-LNO正极在各目标温度下保温3h时各相的演化曲线。
图2中的TEM-EDS数据表明,与Al相比,大量的高价元素,如Nb、Ta和Mo在晶界处偏析。这种偏析防止了初级颗粒的粗化,从而在较宽的烧结温度范围内保持了正极的微观结构(图1)。为了详细分析这些掺杂剂在煅烧过程中偏析或融入体相中的过程,在类似于煅烧过程的氧气流动下,分析了氢氧化物前驱体、LiOH和各掺杂剂混合物的XRD谱图。对于原位XRD分析,混合物在450℃下保持5h,然后从650℃升高到800℃,每个温度保持3h。为了在原位XRD分析中清楚地检测出每种掺杂物所产生的化合物,将掺杂量增加到1mol%;X掺杂的LNO正极(X=Al,Nb, Ta, Mo)分别记为Al1-LNO,Nb1-LNO, Ta1-LNO,Mo1-LNO。LNO和X掺杂LNO正极的XRD谱图在650℃时呈现出明显的菱形结构(003)、(104)、(108)和(110)衍射峰。随着煅烧温度和时间的增加,各反射峰强度有增加的趋势,表明正极材料的结晶度增加。
为了分析外加掺杂剂在正极煅烧过程中的反应机理,详细研究了19.5-35.0°的范围(图3)。在450℃煅烧后,原始LNO正极的XRD谱图中LiOH峰消失(图3a),因为这是LiOH的熔点,在650℃保温3h后Li2CO3的峰减弱。在原始LNO正极原位XRD分析中未检测到其他化合物。然而,当添加Al、Nb、Ta和Mo等掺杂剂时,这些额外的元素与Li源反应形成Li-X-O化合物(图3b-e)。在Al1-LNO正极中,650℃时出现微弱的γ-LiAlO2反射峰,当温度升高到680℃时消失。在Nb1-LNO中,从450°C开始出现明显的LiNbO3反射峰,持续到730°C,之后这些反射峰逐渐变弱,Li3NbO4相开始演化并持续到750°C。在Ta1-LNO的XRD谱图中,650℃出现LiTaO3的反射峰,持续到700℃;而在Mo1-LNO的XRD谱图中,650℃出现Li2MoO4的反射峰,持续到770℃。
根据图2中观察到的某些离子在晶界处的偏析,可以证明在煅烧过程中形成了一些Li-X-O化合物,这些化合物不能完全融入体相中。相反,这些化合物部分停留在晶界,覆盖在表面。LiAlO2表现出非常微弱的强度,并且在较低的温度下相对较快地消失,而Li2MoO4、LiNbO3和LiTaO3在高温下依次持续存在。这一趋势与CP-SEM图像中X掺杂LNO正极在不同煅烧温度下的初级颗粒尺寸差异(图1)是一致的,Mo-、Nb-和Ta-LNO的初级颗粒尺寸依次减小。因此,研究结果表明,如果掺杂元素在高温煅烧过程中部分以Li-X-O化合物的形式存在,则它们被包裹在晶界上,抑制了晶界迁移以及初级颗粒的粗化。此外,Al比Nb、Ta和Mo更容易被融合到体相中,这使得它很难被包覆在晶界上。然而,当掺杂量超过固溶极限时,晶界可以被包覆,通过相同的机制抑制初级颗粒的粗化。通过原位XRD分析证实了每种掺杂剂在表面上的涂覆程度或融入体相程度的差异。因此,高价元素掺入LNO的机理不仅包括掺入体相,还包括晶界涂层,从而影响正极的微观结构。

【图4】对LNO、Al1-LNO、Nb1-LNO、Ta1-LNO和Mo1-LNO进行原位XRD分析时,温度、(003)/(104)比、阳离子混排和晶粒尺寸随时间的变化规律。
为了比较LNO和X掺杂LNO正极在锂化过程中的结构变化,对原位分析过程中测得的XRD图进行了精修(图4)。对于所有正极,在达到650℃后的3h保温时间内,正极的结晶度迅速增加,表现为(003)/(104)比迅速增加,阳离子混排迅速减少。LNO和Al1-LNO的(003)/(104)比在680℃时达到最大值,表明该温度下结晶度最高。相比之下,Nb1-LNO、Ta1-LNO和Mo1-LNO正极的原位XRD结果表明,(003)/(104)比达到最大的温度更高,结晶度在730~750℃达到最高。此外,总体阳离子混排值高于LNO和Al-LNO,这可能是由于加入了高氧化态元素,这些元素诱导Ni3+部分还原为Ni2+,以实现电中性。在这方面,一些特殊的晶体结构,如阳离子有序结构,是由掺杂的高价元素引起的。当进一步提高每个正极的煅烧温度超过最高结晶度对应的温度时,由于过高的锂化温度导致Li损失和阳离子混排,LNO和X掺杂LNO的(003)/(104)比降低。根据在各XRD图中(003)反射峰的半高宽(FWHM),应用Scherrer方程计算晶体尺寸。当煅烧温度达到730℃时,Al1-LNO和LNO的晶粒尺寸成比例增大,在800℃时达到饱和,晶粒尺寸增大到≈2000Å。相反,Nb1-LNO、Ta1-LNO和Mo1-LNO正极在各煅烧温度下的晶粒尺寸均小于LNO和Al1-LNO,其中Mo1-LNO正极的晶粒尺寸最小。各正极初级颗粒(图1)和微晶(图4)的大小顺序与Li-X-O化合物在各正极中的消失顺序(图3)一致,表明在晶界处偏析的Li-X-O化合物抑制了过度粗化。

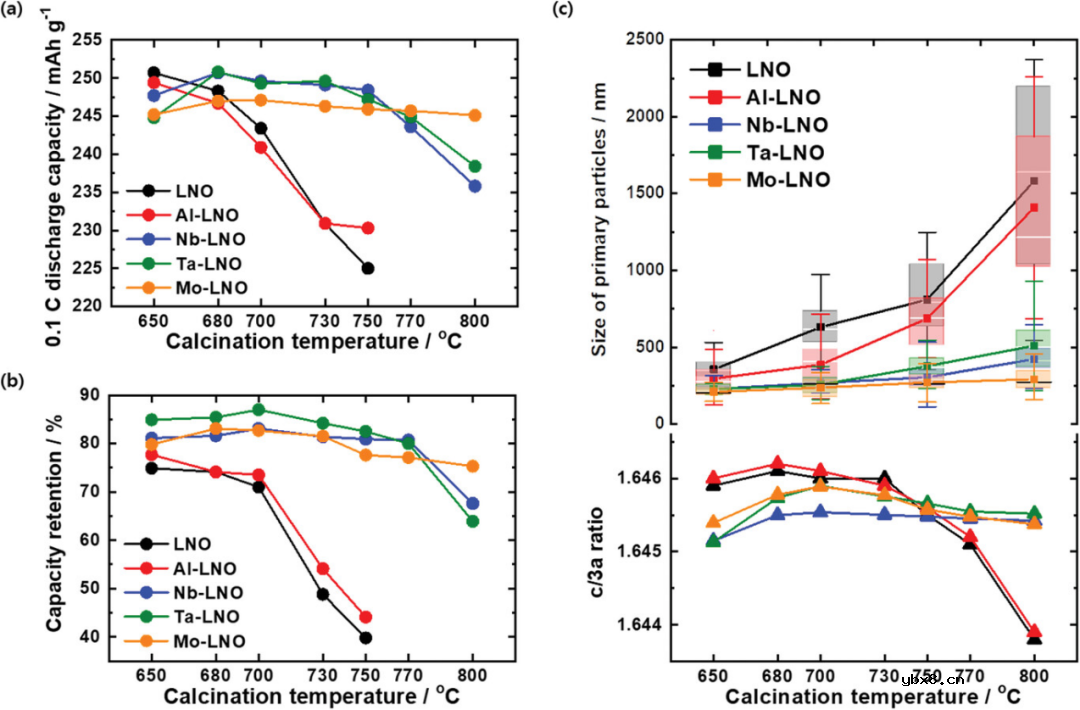
【图5】电化学性能:(a)LNO、Al-LNO、Nb-LNO、Ta-LNO和Mo-LNO正极在不同煅烧温度下的放电容量(0.1C)和(b)半电池循环100次后的容量保持率(0.5C)。c)正极的基本物理性质(平均粒度和c/3a比)随煅烧温度的变化。
采用2032扣式半电池对不同煅烧温度下正极的基本电化学性能进行了评估。图5a显示,650℃下煅烧的LNO和Al-LNO正极初始放电容量分别为250.7和249.4mAh g−1,随着煅烧温度的升高而降低。在730°C以上煅烧的LNO和Al-LNO正极的容量与650°C时相比下降了约20mAhg−1。相比之下,Nb-LNO、Ta-LNO和Mo-LNO正极在680~700℃煅烧时的初始放电容量最高。此外,即使在800°C下煅烧,Nb-LNO和Ta-LNO正极的容量也比680°C时的最大容量下降了约15mAh g−1。在650-800°C范围内,无论其煅烧温度如何,Mo-LNO正极的容量都大于245.1mAh g−1。
当正极在0.5C下循环时,LNO正极容量保持率从650℃煅烧时的74.9%下降到750℃煅烧时的39.8%(图5b)。尽管在不同的煅烧温度下,Al-LNO正极的容量保持率略高于原始正极,但在730℃以上,两种正极的循环寿命都急剧下降。随着煅烧温度的升高,组织因过度粗化而容易形成微裂纹,导致循环稳定性恶化。相比之下,Nb-LNO、Ta-LNO和Mo-LNO正极在很宽的锂化温度范围内表现出优异的循环稳定性,在650-770°C锂化后保持了77%以上的初始容量。值得注意的是,在800℃下煅烧的Mo-LNO正极保留了其初始容量的75.3%,而在800℃下煅烧的Nb-LNO和Ta-LNO正极的循环稳定性迅速恶化。对比650°C下X-LNO正极的循环性能,Nb-、Ta-和Mo-LNO正极的容量保持率显著提高,分别比LNO高6.2%、10.0%和4.9%。此外,Nb-、Ta-和Mo-LNO正极在最佳焙烧温度为680-700°C时,电化学性能有进一步提高的潜力。煅烧温度提高30-50℃对成本影响不大,在正极中掺杂高价元素的优势在于煅烧温度范围更广,更有利于规模化和商业化,电化学性能也得到了提高。
图5c显示了从图1中测量的正极初级粒度随煅烧温度的变化,以及结晶度随煅烧温度的变化(由a轴和c轴晶格参数的比值表示)。当煅烧温度从650℃开始升高时,LNO和Al-LNO正极的初级粒径明显增大,这与正极循环寿命的降低呈负相关(图5b)。虽然它们的结晶度在680°C时达到最大,但与650°C时相比,由于粗化导致的微观结构崩溃导致电化学性能下降。此外,在770°C以上过度煅烧导致LNO和Al-LNO正极结晶度明显降低。结晶度的降低可归因于在高温下氧空位的增加。这导致形成略高含量的Ni2+,从而促进了Li/Ni阳离子混排。在770℃以上的温度下,Nb-LNO、Ta-LNO和Mo-LNO由于氧键更强而表现出抑制的氧损失,而原始LNO和Al-LNO则没有,结晶度明显下降。此外,Nb-LNO、Ta-LNO和Mo-LNO在较宽的煅烧温度范围内保持了较小的初级粒径,在700℃时结晶度最高。当初级粒径较小时,高结晶度可以提高电化学性能;因此,Nb-LNO、Ta-LNO和Mo-LNO在680-700°C时表现出最高的初始容量和循环稳定性(图5a,b)。因此,为了最大限度地提高电化学性能,必须提高煅烧温度以提高结晶度,同时在煅烧过程中抑制初级颗粒的粗化并保持棒状形貌。

【图6】低价(Al)和高价(Nb、Ta和Mo)掺杂剂的作用机理和效果差异,包括掺入体相和晶界涂层。
在宽的煅烧温度范围内,高价元素掺杂可以在不牺牲微观结构完整性的情况下实现最大结晶度的最佳煅烧温度,从而实现稳定的电化学性能。虽然Al掺杂提高了电化学性能,但在较窄的煅烧温度范围内,Al-LNO正极的微观结构无法保持,即使通过提高煅烧温度可以进一步增强Al-LNO的结晶度。X掺杂LNO正极的初级颗粒形态、结晶度和电化学性能与煅烧温度的关系表明,与传统的掺杂机制不同,高价元素的掺杂不仅通过一种新的掺杂机制掺杂到体相中,而且还通过晶界涂层抑制晶粒粗化。图6显示了新的掺杂机制,包括晶界处的高价元素偏析,这影响了正极的微观结构。高价元素的掺杂可以在较宽的温度范围内煅烧,产生较小的初级颗粒尺寸,并使结晶度最大化,有利于商业化并显着提高富镍正极的性能。
总结和展望
本工作研究了LNO和掺X的LNO正极微观结构、结晶度和电化学性能随煅烧温度的变化。与Al掺杂相比,Nb、Ta和Mo等高价元素的掺杂显著抑制了初级颗粒的粗化,在较宽的煅烧温度范围内保持了正极的微观结构。原位XRD分析表明,Nb、Ta和Mo掺杂的Li-X-O化合物含量下降的温度远高于Al掺杂,这些化合物通过晶界偏析延缓了粗化过程。因此,通过掺杂高价元素,可以在不牺牲微观结构完整性的情况下最大限度地提高结晶度,从而比原始和掺杂Al的正极具有更大的煅烧温度范围和更高的电化学性能。值得注意的是,在X掺杂的LNO正极中,Mo-LNO正极在650-800℃煅烧时具有恒定的容量和循环稳定性,这与原位XRD分析中检测到Li-X-O化合物的最高温度一致。高价元素掺杂的机制包括掺杂元素的晶界包覆效应,以及传统的掺入体相的机制。对于富镍正极,高氧化态的掺杂剂,如Nb5+、Ta5+和Mo6+,是开发高性能富镍正极的最佳掺杂剂,他们能够形成抑制微裂纹的微观结构。而微裂纹是正极降解的主要原因。
审核编辑:刘清
电芯、电池模组和电池包三者有什么区别?如...
时间:2026-03-22
电池怎么做绝缘处理?电池模组绝缘片起到什...
时间:2026-03-22
电池模组绝缘片的制造工艺有哪些,它们对电...
时间:2026-03-22
亿纬锂能麟驹系列电动两轮车电池首批发货仪...
时间:2026-03-22
在电池模组中,除了绝缘片,还有哪些措施可...
时间:2026-03-22
深度解读广汽全固态电池技术
时间:2026-03-22
广汽科技全固态电池与无图纯视觉智驾引领智...
时间:2026-03-22
天合光能新一代柔性储能电池舱Elementa 2真...
时间:2026-03-22
锂电池和超级电容器哪个更耐用
时间:2026-03-22
“固态电池”和“半固态电池”是水火不容吗...
时间:2026-03-22
住宅小区负荷与变压器容量的选择技巧
时间:2026-03-06
光伏控制器简介
时间:2026-03-06
HTCC:半导体封装的理想方式
时间:2026-03-06
三极管的主要参数
时间:2026-03-07
石英灯电子变压器电路原理
时间:2026-03-06
变压器并列运行的条件浅析
时间:2026-03-06
玻璃釉电容器的结构与特点
时间:2026-03-05
电阻的标称阻值和允许偏差
时间:2026-03-05
半导体三极管的技术参数
时间:2026-03-07
碳膜电阻如何识别_金属膜电阻器和碳膜电阻器...
时间:2026-03-05