一、背景介绍
锂离子电池(LIBs)无处不在,是日常生活的一部分,几乎所有便携式电子设备的出现都是由锂离子电池技术的突破所支撑的。迄今为止,石墨因其成本低、可逆性好、环境友好等优点,被广泛应用于锂离子电池的商用负极材料。然而,石墨负极的低倍率性能无法满足日益增长的高充电功率需求,成为电动汽车领域发展的主要瓶颈。
为此,人们致力于开发可能取代石墨的高倍率负极材料。在潜在的候选材料中,钛酸锂(Li4Ti5O12, LTO)是最具吸引力的一种,并已成功商业化。不幸的是,相对较低的能量密度从根本上限制了LTO负极的应用领域。因此,提高LTO负极可逆容量迫在眉睫。
二、正文部分
01 成果简介
近日,格里菲斯大学张山青教授,北京大学深圳研究生院潘锋教授,浙江大学陆俊教授,中国科学院物理研究所谷林教授,通过一种通用的淬火策略合成富含氧缺陷的钛酸锂(Li4Ti5O12, LTO),以实现内部区域的非化学计量比。原位同步分析和原子分辨显微镜发现,冰水淬火后,氧空位的富集和阳离子重分布,能够使原来不可脱出的Li离子参与可逆循环。
制备的LTO负极在1.0-2.5 V范围内提供了202 mAh g-1的容量,具有优异的倍率性能,并克服了传统缺陷电极中较差的循环稳定性。此外,本工作还证明了通过淬火剂调节结构缺陷程度的可行性,从而提高电池的能量密度。该研究以题目为“Quenching-Induced Defects Liberate the Latent Reversible Capacity of Lithium Titanate Anode”的论文发表在国际顶级期刊《Advanced Materials》上。
02 研究亮点
本工作通过淬火过程,成功地在体相纳米晶体LTO中引入了固有缺陷,以改变Li4Ti5O12的脱锂极限,从而使LTO负极释放更多的可逆容量,同时保持高倍率性能和循环稳定性。高温下产生的缺氧结构被保留(图1),而Li/Ti的再分配则由于热力学驱动力而自发发生,以抵抗VO的积累。
这种高度缺陷的结构具有良好的电子传导性和额外的容量。淬灭的LTO负极可以在8a和16d位点可逆地脱出/插入锂离子,这导致容量显著增加(高达202 mAh g−1),分别超过原始LTO的理论值和实验值15.4%和30%,即使在高倍率下也具有优异的容量保持率。

【图1】在合成和运行过程中淬火LTO负极结构演变。
03 图文导读

【图2】a,在1C下1.0-2.5 V范围内IWQ-LTO和原始LTO的电压充放电曲线。b, IWQ-LTO与原始LTO的倍率性能比较。c, IWQ-LTO与文献中报道的最先进LTO基负极的容量比较。d, IWQ-LTO在5C下第1、2、2500次循环的充放电曲线。e, 5C下 IWQ-LTO与原始LTO的循环性能比较。
冰水淬火LTO(IWQ-LTO)是通过将商用LTO粉末加热到800℃,然后直接放入冰水中制备的。在半电池中对其性能进行了分析。在1C下,IWQ-LTO的恒流充放电测试显示,1.0 V到2.5 V之间的比容量为202 mAh g−1(图2a),比传统LTO的容量极限(175 mAh g−1)高出约15.4%,比本研究中原始样品的实验值(155.4 mAh g−1)高出30%。
与原始LTO相比,IWQ-LTO的容量增加可能是由充电时更高的解离程度造成的。IWQ-LTO的倍率性能和可循环性也很突出。在10 C下,IWQ-LTO在1.0 V到2.5 V之间可以提供176 mAh g−1的容量(图2b),比原始LTO高40mAh g−1。在所有测试的倍率中,这种冰水淬火产物的容量是所有LTO基负极中最高的(图2c)。
在5C下循环2500次后,IWQ-LTO电极保持了约88%的原始容量,电压曲线没有明显变化,平均库仑效率约为99.95%(图2d和2e)。

【图3】a, LTO在慢热和慢冷交替作用下的原位TGA曲线。b,加热到不同温度的LTO的原位XANES光谱。c,从LTO在高温下的原位XANES光谱推导出的Ti离子氧化态。d,e, LTO在自然冷却过程中XANES光谱的演化(d)和Ti相应的氧化态(e)。
利用原位和非原位光谱技术对合成过程中的结构演化进行了分析。根据理论上VO浓度对温度的依赖关系,即n=Nexp(−ΔGV/kT) (n为正常占据的原子位总数,ΔGV为形成空位的吉布斯自由能,k为玻尔兹曼常数,T为温度),加热时会积累氧缺陷。我们使用原位热重分析(TGA)来跟踪LTO在交替缓慢加热和冷却过程中的质量变化(图3a)。
TGA曲线的周期性下降和上升意味着氧气的释放和吸收。注意,TGA结果只能提供缺陷含量的初步信息,而X射线吸收光谱(XAS)测量可以准确地与金属离子的价态相关。因此,利用原位X射线吸收近边结构(XANES)来探测Ti离子在不同温度下的氧化状态(图3b)。
Ti k边在高温下向较低能量的转移证明了Ti4+还原为Ti3+(图3c),从而证明了VO在加热过程中形成。Ti的平均氧化态在800℃时达到+3.5,自然冷却至室温后又回到+3.9左右(图3d和3e),表明VO已经湮灭,结构恢复到接近原始Li4Ti5O12的状态。
与自然冷却相比,淬火后的样品没有足够的时间恢复到其完美的晶体结构。由于Ti和O离子在室温下的动力学有限,这种包含大量VO的高度缺陷结构将在淬火后稳定下来。
在XANES光谱中,原始样品和淬火样品之间有很大的差异(图3b)。IWQ-LTO中Ti的氧化态估计为3.55(图3e),表明产生了显著的非化学计量。

【图4】IWQ-LTO(上)和原始LTO(下)的a、b、XPS O 1s(a)和Ti 2p(b)光谱。c, IWQ-LTO(上)和原始LTO(下)的XRD图谱和精修结果。d,e,IWQ-LTO(d) 和原始LTO(e)的[110] HAABF-STEM图像。
IWQ-LTO(图4a)的高分辨率X射线光电子能谱(XPS) O1s谱可以拟合为晶格O(529.8 eV)、VO(531.3 eV)和吸附O(532.3 eV)。在Ti 2p谱(图4b)中,458.2 eV处出现了一个新的峰,表明Ti3+存在。 IWQ-LTO样品的几乎所有X射线衍射(XRD)峰都可以对应具有Fd-3m空间群的尖晶石结构(图4c)。
XRD数据的精修结果揭示了阳离子重排现象,表明16d位点的Ti含量由原始LTO的83.3 %增加到冰水淬火后的88.5 %。其中存在一些杂相(IP),所有的杂相都可以对应正交结构。然而,它们的数量很少(<5%),很难大规模影响容量。 图4d和4e所示的高角度环形明亮场扫描透射电子显微镜(HAABF-STEM)图像也证实了缺陷富集现象。
[110] HAABF-STEM图像显示,淬火后尖晶石结构中Ti子晶格被保存下来,而穿过O柱的强度分布表明两个样品之间有细微差别。在IWQ-LTO中可以明显观察到不同O位点之间的强度变化,而原始材料的O位点分布均匀。这直接证明了淬火样品中特定位置O的缺失。

【图5】以Li4Ti5O12-x为初始态,有向Li/Ti重分布构型(蓝色实矩形)转变的趋势。转变(蓝色虚线矩形)涉及VO向表面的扩散(i)和阳离子的协同位移(ii),导致少量岩盐相的出现和氧亚晶格的收缩(iii)。在机理1中,每当量Li4Ti5O12−x的x个VO会导致2x 当量的额外Li提供容量。在机理2中,假设Li/Ti重分布后Li4Ti5O12−x的化学计量保持不变,则预期会有x Li的额外容量。
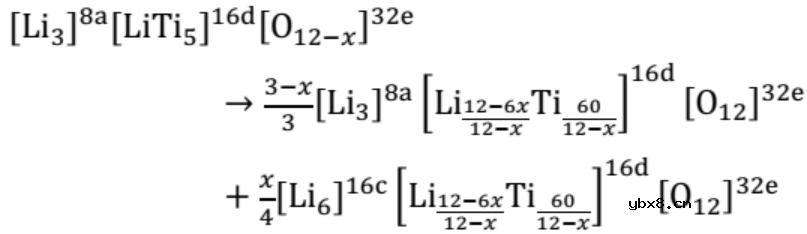
本文提出了两种机制,一种涉及到VO,另一种涉及到Li/Ti再分配,这两种机制都可以使得容量超过原始LTO的理论值(图5)。Li4Ti5O12和Li7Ti5O12的结构分别表示为[Li3]8a[Li1Ti5]16d[O12]32e(尖晶石)和[Li6]16c[Li1Ti5]16d[O12]32e(岩盐)。
在Li4Ti5O12的放电过程中,Li离子被插入到八面体16c位的一半,剩下的一半被从8a位迁移过来的Li占据。这是一个两相转变反应,对应于每个分子式(f.u)的容量为3 Li。缺氧的[Li3]8a[Li1Ti5]16d[O12−x]32e在第一次放电过程中产生了相同数量的容量(图5中的机理1)。
然而,由于VO引入了额外的电子,放电产物[Li6]16c[Li1Ti5]16d[O12−x]32e比无缺陷的Li7Ti5O12有更多的Ti3+。如果所有的Ti离子在随后的充电过程中被氧化为Ti4+,共有3+2x 个Li将被脱出,因此在接下来的循环中比容量将超过原始LTO。
根据DFT计算,充电产物为[Li3−x]8a[Li1−xTi5]16d[O12−x]32e,因为它是该组合中能量最有利的构型。在这种情况下,与原始LTO相比,每个分子式有2x个锂离子被额外激活,它将占总容量的2x/3。由于VO含量为x/12,因此相对容量增量与VO含量的比值为((2x/3)/(x/12)=8。因此,可以预计浓度为1 %的VO可使负极容量增加8%。
超浓的VO有利于原子重排,从而缓解内部应力。一种可行的方法是从体相中挤出空位,同时将位于16d位的Li离子推至16c位(图5中蓝色虚线矩形),这样在16d位的Li/Ti比值偏离1:5的情况下,阴离子亚点阵将保持其完美的结构。值得强调的是,在这个结构转变过程中,Li4Ti5O12-x的化学计量和Ti的氧化态应该是恒定的。
因此,VO的消除过程为外部氧被引入到空位点中,不需要其他阳离子的再分配。由于尖晶石结构中16c位点的Li不稳定,会发生以下反应:

第一项和第二项分别是尖晶石相和岩盐相。Li/Ti重分布的结构与VO的结构具有不同的氧化还原反应(机理2见图5)。第一次循环后,每单位Li4Ti5O12-x中Li的可脱出量为3+x,说明原子重排后,1 %的初始VO可使容量增加4 %。因此,在初始VO相同的情况下,预计机制2的容量将低于机制1。
值得一提的是,16d位点的Li含量从原始LTO的16.7 %下降至IWQ-LTO的11.5 %(图4c)。导致该重排的相应VO量为5.8 %,这可以产生比原始LTO理论值大23 %的容量。然而,由于VO的浓度和Ti3+的比例不能从光谱测量中明确量化,无法直接评估VO和16d Li/Ti比率对潜在容量释放的单独贡献。
然而,这两种机制可能同时发生。更重要的是,实验获得的IWQ-LTO严重偏离化学计量,VO和阳离子再分配是其结构与原始LTO结构不同的关键因素。

【图6】a-c,初始态、1.0 V放电态和2.5 V充电态下IWQ-LTO(a)和原始LTO(b)的非原位XANES光谱,以及相应的Ti离子氧化态(c)。d,e,第一次充放电循环时IWQ-LTO(d)和原始LTO(e)的XAFS光谱。
为了进一步证实理论分析,进行了XANES非原位测量,以研究Ti离子在第一个循环中的氧化状态(图6a-c)。在初始状态下,IWQ-LTO中Ti的平均价远低于原始LTO。第一次放电后,两个样品之间的氧化状态差异减小。 鉴于Ti的价态变化与Li嵌入量线性相关,该结果表明IWQ-LTO中嵌入的Li少于原始LTO(图5)。
当考虑图2d所示的第一次放电的实际容量时,必须谨慎,因为容量的一部分可能来自表面反应。在随后的充电过程中,大多数Ti3+被氧化为Ti4+,导致IWQ-LTO及其对应物的平均氧化状态相当接近。此时观察到IWQ-LTO中Ti的较大价态变化,这意味着IWQ-LTO中脱出Li的量超过原始LTO。
因此,在第一次循环后,所制备的IWQ-LTO中会损失一定量的锂。XAFS光谱(图6d和6e)显示了第一次放电后Ti-Ti键的伸长,这可归因于Li嵌入时晶格的膨胀。充电后,IWQ-LTO中的Ti-Ti键长收缩至低于其初始状态的值,这与原始LTO形成鲜明对比,其中键长变化基本上是不可逆的。

【图7】a,从XANES估计的Ti3+浓度。b,由XPS估计的VO浓度。c,LNQ-LTO的XRD谱图和精修结果。d,1C下LNQ-LTO在1.0 V到2.5 V之间的充放电曲线。e,IWQ-LTO在5C下的循环性能。
冰水具有成本低、效率高的特点,是一种理想的淬火剂,适用于淬火LTO的工业生产。本研究表明,通过选择不同的淬火剂,可以有效地调节16d位点上的VO浓度和Li/Ti比值,从而实现对淬火LTO负极电化学性能的调节。作为示范,用液氮代替了冰水。
尽管液氮的温度低于冰水,但由于莱顿弗罗斯特现象,液氮中物质的冷却速率低于冰水。接下来通过XANES估计Ti3+的浓度。如图7a和7b所示,LNQ-LTO比IWQ-LTO缺陷少。淬火速率越低,缺氧程度越低,因为与外界氧的复合更明显。XRD精修结果表明,Ti含量为87.6 %(图7c),这意味着Li/Ti的重分布比IWQ-LTO要低。
与原始LTO相比,LNQLTO中的Li/Ti重分布水平可使容量最大增加19 %。 LNQ-LTO在1C下可获得187 mAh g−1的可逆容量(图7d)。与原始LTO相比,容量的增加可以归因于~1.5 V平台的伸长,这意味着充电时脱锂程度的提高。在5C下的长循环测试表明,LNQ-LTO在300次循环后容量为165 mAh g−1(图7e),高于原始LTO,但低于IWQ-LTO。
LNQ-LTO的电化学性能低于IWQ-LTO,这证实了上述推理,即淬火产物的额外比容量来自于VO和Li/Ti的重分布,因此与结构缺陷的程度成正比。此外,基于上述发现,通过调整淬火条件,包括淬火剂和初始加热温度,对结构缺陷进行微调也是可行的(图3c)。
04 总结和展望
这项工作证明,固有缺陷有望激活锂离子,这些锂离子通常不能在电极材料中脱出。如LTO负极所示,具有丰富VO和阳离子再分配的高度缺陷结构可以通过加热淬火处理实现,该技术可以直接应用于当前的商业电极。原位和非原位光谱技术证实,在脱锂过程中,由于引入过量电子,LTO中的锂离子可以很容易地被脱出。
由于冰水淬火后产生了稳定的缺陷,IWQ-LTO可以实现202 mAh g−1的可逆容量,达到原始LTO理论容量的115.4%。即使在10 C下,IWQ-LTO仍有176 mAh g−1的比容量。淬火处理可以作为一种成本效益高的本征缺陷工程策略,可以在工业领域中应用,以提高现有电极的能量密度。
审核编辑:刘清
电芯、电池模组和电池包三者有什么区别?如...
时间:2026-03-22
电池怎么做绝缘处理?电池模组绝缘片起到什...
时间:2026-03-22
电池模组绝缘片的制造工艺有哪些,它们对电...
时间:2026-03-22
亿纬锂能麟驹系列电动两轮车电池首批发货仪...
时间:2026-03-22
在电池模组中,除了绝缘片,还有哪些措施可...
时间:2026-03-22
深度解读广汽全固态电池技术
时间:2026-03-22
广汽科技全固态电池与无图纯视觉智驾引领智...
时间:2026-03-22
天合光能新一代柔性储能电池舱Elementa 2真...
时间:2026-03-22
锂电池和超级电容器哪个更耐用
时间:2026-03-22
“固态电池”和“半固态电池”是水火不容吗...
时间:2026-03-22
住宅小区负荷与变压器容量的选择技巧
时间:2026-03-06
光伏控制器简介
时间:2026-03-06
石英灯电子变压器电路原理
时间:2026-03-06
变压器并列运行的条件浅析
时间:2026-03-06
玻璃釉电容器的结构与特点
时间:2026-03-05
电阻的标称阻值和允许偏差
时间:2026-03-05
三极管的主要参数
时间:2026-03-07
HTCC:半导体封装的理想方式
时间:2026-03-06
半导体三极管的技术参数
时间:2026-03-07
碳膜电阻如何识别_金属膜电阻器和碳膜电阻器...
时间:2026-03-05