【研究背景】
缓慢的析氧反应(OER)和氧还原反应(ORR)动力学严重阻碍了高性能锌空气电池(ZABs)的发展。在各种催化剂中,过渡金属氧化物(TMO)由于其价格低廉和资源丰富,在OER/ORR中显示出巨大的潜在应用。但与贵金属催化剂相比,TMO的整体催化性能仍需进一步提升。
最近的研究表明,金属-氧键,特别是TMO中的结构,密切影响OER/ORR中间体的吸附和解吸,并进一步确定反应动力学,从而对催化性能起着关键作用。例如,理论计算表明,金属-氧键的长度和共价性不仅可以改变电子分布和转移(例如,从氧到金属),还可以调节反应物的结合能,从而控制反应动力学。因此,优化金属-氧键的结构可以提高与氧物种有关的催化活性并进一步促进ZAB的发展,但仍存在重大挑战。
根据经典催化理论,金属-氧共价性和离子性之间的竞争极大影响了催化剂的能带结构以及与中间体的相关化学吸附,这可以由金属-氧键的结构控制。例如,较弱的金属-氧键强度使得化学键趋于共价,从而降低了反应中间体的吸附能,促进了它们的解吸。
这些理论表明,金属-氧键的优化涉及催化剂的结构变化,可以通过设计合理的催化剂结构(如晶体结构)进行调整。研究表明,纳米材料的结晶度在很大程度上与具有柔性结构的长程原子排列有关。非晶态TMOs具有长程无序和各向同性,丰富的随机取向键和缺陷,具有优越的弹性应变空间和更灵活的结构,从而为金属-氧键的可控调节提供了潜在的基础。
此外,具有长程有序特征的晶相可以促进电子转移,我们认为如果将其与非晶态相结合,可能有希望裁剪出独特的金属-氧键结构。因此,从晶体调节的角度来看,结合晶体相的高导电性和非晶相丰富的不饱和配位的非晶/晶异质结构设计,是一种很有潜力的金属-氧键裁剪结构,但仍有待探索。
【工作介绍】
基于此,同济大学潘争辉教授和华南理工大学丘勇才教授等人(第一作者为博士生叶常春)报道了一种通过合理设计非晶/晶体异质结构裁剪金属-氧键的简易策略,并通过将非晶态CoSnO3-y立方体置于FeCl3乙醇溶液中进行离子交换来进行证明。
离子交换过程强化了Sn-O键并削弱了Co-O键强度,并产生额外的Fe-O键,伴随丰富的Co缺陷和适当的氧缺陷浓度,最终形成了具有独特电子结构和配位环境的Fe掺杂非晶/晶体异质结构纳米催化剂(Co1-xSnO3-y-Fe0.021-A/C)。通过对比实验,发现金属-氧键结构的优化以晶体结构的引入为主,而Fe-O键和丰富Co缺陷的引入进一步促进了金属-氧键结构的优化。
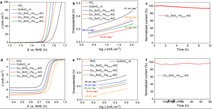
电化学测试表明,与初始无定形CoSnO3-y相比,Co1-xSnO3-y-Fe0.021-A/C催化剂的OER和ORR过电位分别显著降低84 mV (10 mA cm-1)和63 mV(半波电位)。此外,以Co1-xSnO3-y-Fe0.021-A/C为正极组装的锌-空气电池具有优异的输出功率密度、循环性能和灵活性。
【研究亮点】
(1)提出了一种通过简单离子交换实现非晶/晶体异质结构来调整金属-氧键结构的新策略。与之前报道的策略(掺杂、缺陷等)相比,这项工作是首次从晶体调节的角度来剪裁金属-氧键结构,具有简单、方便和大规模应用的优点。
(2)揭示了金属-氧键结构的调控机制。非晶态CoSnO3中晶体结构的引入主导了金属-氧键结构的剪裁,而Fe-O键和丰富钴缺陷的引入进一步促进了这一裁剪过程。
(3)通过调整金属-氧键结构显著促进了OER/ORR的催化活性
【图文导读】




电芯、电池模组和电池包三者有什么区别?如...
时间:2026-03-22
电池怎么做绝缘处理?电池模组绝缘片起到什...
时间:2026-03-22
电池模组绝缘片的制造工艺有哪些,它们对电...
时间:2026-03-22
亿纬锂能麟驹系列电动两轮车电池首批发货仪...
时间:2026-03-22
在电池模组中,除了绝缘片,还有哪些措施可...
时间:2026-03-22
深度解读广汽全固态电池技术
时间:2026-03-22
广汽科技全固态电池与无图纯视觉智驾引领智...
时间:2026-03-22
天合光能新一代柔性储能电池舱Elementa 2真...
时间:2026-03-22
锂电池和超级电容器哪个更耐用
时间:2026-03-22
“固态电池”和“半固态电池”是水火不容吗...
时间:2026-03-22
住宅小区负荷与变压器容量的选择技巧
时间:2026-03-06
光伏控制器简介
时间:2026-03-06
石英灯电子变压器电路原理
时间:2026-03-06
变压器并列运行的条件浅析
时间:2026-03-06
玻璃釉电容器的结构与特点
时间:2026-03-05
电阻的标称阻值和允许偏差
时间:2026-03-05
三极管的主要参数
时间:2026-03-07
HTCC:半导体封装的理想方式
时间:2026-03-06
半导体三极管的技术参数
时间:2026-03-07
碳膜电阻如何识别_金属膜电阻器和碳膜电阻器...
时间:2026-03-05