改变电极的孔隙率和活性物质的负载量,同时采用放电试验对参数进行优化和验证,可以实现锂离子电池能量密度的最大化,从而优化基于物理学的电池多尺度模型。
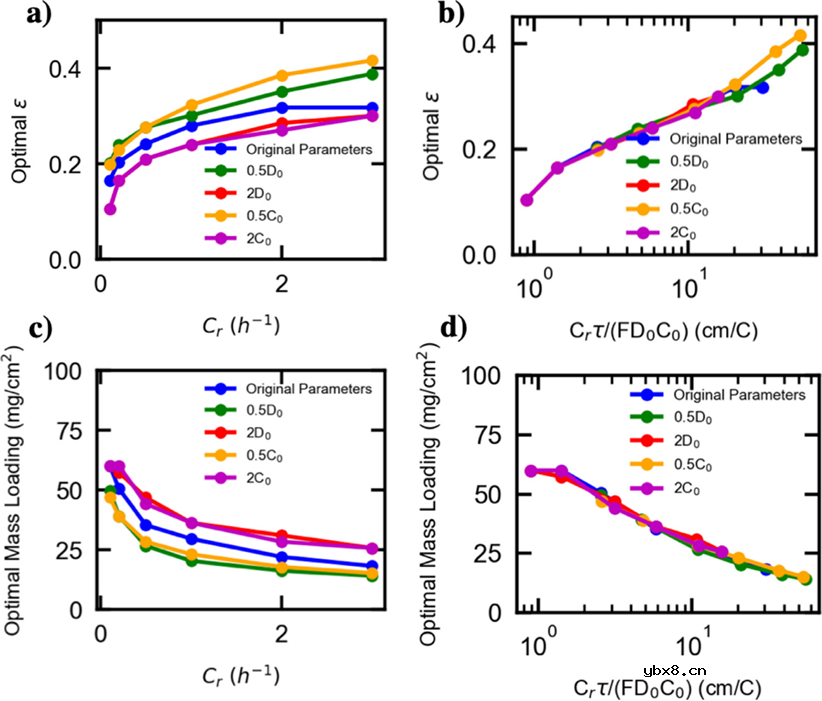
尽管,电极和活性物质颗粒尺度对能量传输有一定损耗,但电极的最优尺度与其小尺度特性并无关系。电极的特性,如曲率、电解质浓度和锂离子扩散系数,都会影响电极的最佳尺度设计。
可以对其间的相关性进行归纳总结为一种普适性的关系:
孔隙率ε=0.13 log10(kεGrτ/(FDoc0))
面密度Qa= kQ/










审核编辑:刘清
华正能源携最新热法及固态电池用铝塑膜系列...
时间:2026-03-22
亿纬锂能携首批“新强标”认证电池亮相2024...
时间:2026-03-22
将废正极材料升级为高稳定性锂硫电池的双功...
时间:2026-03-22
亿纬锂能商用车电池新品发布,助力商用车开...
时间:2026-03-22
亿纬锂能发布超充电池新产品
时间:2026-03-22
恩力动力10GWh电池项目落地安徽
时间:2026-03-22
一种含有I-和Br的高浓度异卤电解质的水电池...
时间:2026-03-22
海目星准固态电池设备已形成交货和量产
时间:2026-03-22
电化学储能电池是燃料电池吗
时间:2026-03-22
储能电池和启动电池有什么区别
时间:2026-03-22
住宅小区负荷与变压器容量的选择技巧
时间:2026-03-06
光伏控制器简介
时间:2026-03-06
石英灯电子变压器电路原理
时间:2026-03-06
变压器并列运行的条件浅析
时间:2026-03-06
玻璃釉电容器的结构与特点
时间:2026-03-05
电阻的标称阻值和允许偏差
时间:2026-03-05
三极管的主要参数
时间:2026-03-07
HTCC:半导体封装的理想方式
时间:2026-03-06
半导体三极管的技术参数
时间:2026-03-07
碳膜电阻如何识别_金属膜电阻器和碳膜电阻器...
时间:2026-03-05