随着科技日新月异地发展,光电池在人们的生产生活中产生了越来越重要的作用。光电池是利用光生伏特效应把光直接转变成电能的器件。由于它可把太阳能直接变电能也称为太阳能电池。
太阳能电池是利用半导体光伏效应制成的光电转换器件,它既可以作为电源,又可以作为光电检测器件。作为电源使用的光电池,主要是直接把太阳的辐射能转换为电能,称为太阳电池。太阳电池不需要燃料,没有运动部件,也不排放气体,具有重量轻,工作性能稳定,光电转换效率高,使用寿命长,不产生污染等优点,在航天技术、气象观测、工农业生产乃至人们的日常生活等方面都得到了广泛的应用。作为光电检测器件使用的光电池,具有反应速度快,工作时不需要外加偏压等特点,用于近红外探测器、光电藕合器以及光电开关等。光电池的制作材料有许多种,例如硅、硒、锗、硫化镉、砷化镓等,其中最常用的是硅光电池。它有较大面积的PN结,当光照射在PN结上时,在结的两端出现电动势是发电式有源元件。
硅光电池(也常称为太阳能电池)是一个大面积的光电二极管,它被设计用于把入射到它表面的光能转化为电能,因此,可用作光电探测器和光电池,被广泛用于太空和野外便携式仪器等的能源。它具有寿命长、使用方便、无噪音、无污染等优点。经过人们40多年的努力,太阳能电池的研究、开发与产业化已取得巨大进步。目前,太阳能电池已成为空间卫星的基本电源和地面无电、少电地区及某些特殊领域(通信设备、气象台站、航标灯等)的重要电源。有专家预言,在21世纪中叶,太阳能光伏发电将占世界总发电量的15% ~ 20%,成为人类的基础能源之一,在世界能源构成中占有一定的地位。因而了解太阳能电池的工作原理和基本性能非常重要。
硅光电池是一种直接把光能转换成电能的半导体器件。它的结构很简单,核心部分是一个大面积的PN 结,把一只透明玻璃外壳的点接触型二极管与一块微安表接成闭合回路,当二极管的管芯(PN结)受到光照时,你就会看到微安表的表针发生偏转,显示出回路里有电流,这个现象称为光生伏特效应。硅光电池的PN结面积要比二极管的PN结大得多,所以受到光照时产生的电动势和电流也大得多。
硅光电池内部结构如图1所示,主要由两部分组成:n型硅基片层和p型硅受光层。根据pn结原理,当光照在p型硅表面,且光子能量大于材料的禁带宽度时,在pn结内产生电子-空穴对。n区电子密度增加,p区空穴密度增加,如果外电路处于开路状态,那么这些光生电子和空穴积累在pn结附近,使p区获得附加正电荷,n区获得附加负电荷,这样在pn结上产生一个光生电动势,这一现象称为光伏效应。

如果连接灵敏电流计形成闭合电路,则在回路中产生光电流,光电流的大小与入射光强有关。
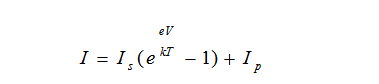
硅光电池的工作原理是基于光伏效应。当半导体pn结处于零偏或反偏时,在它们的结合面耗尽区存在一内电场,当有光照时,入射光子将把处于价带中的束缚电子激发到导带,激发出的电子空穴对在内电场作用下分别漂移到n型区和p型区,当在pn结两端加负载时就有一光生电流流过负载。流过pn结两端的电流可下式确定

上式中Is为饱和电流,V为pn结两端的电压,T为绝对温度,Ip为产生的光电流。从式中可以看到,当硅光电池处于零偏时,V=0,流过pn结的电流I=Ip;当硅光电池处于反偏时(在本实验中取V=-5V),流过PN结的电流I=Ip-Is。
图2是硅光电信号接收端的工作原理框图,光电池把接收到的光信号转变为与之成正比的电流信号,再经I/V转换器把光电流信号转换成与之成正比的电压信号。比较光电池零偏和反偏时的信号,就可以测定光电池的饱和电流Is。
当在硅光电池两端加一个负载就会有电流流过,当负载很小时,电流较小而电压较大;当负载很大时,电流较大而电压较小。实验时可改变负载电阻RL的值来测定光电池的伏安特性曲线(如图3所示)。

光电池主要有两方面的应用:一是太阳能电池,二是光电转换器件。
光伏作用直接将太阳能转换成电能,太阳能电池目前在航空、通信、太阳能发电站等方面得到应用。例如现在普遍使用的太阳能热水器,正是利用太阳能把太阳能,装换成电能而加热水。随着太阳能电池技术的不断发展,其成本会逐渐下降,在生产生活各领域将发挥越来越大的作用。
硅光电池对光很敏感,因此在自动控制中是很好的光电检测元件。可用于红外探测光电输、出光电藕合、光电跟踪、特性识别等等方面;硅光电池可做照度计、光度计、浊度计比色计、烟度计等仪器的光信号接收元件,另外可用于电影还音;纺织行业的光电探纬、换梭、除疵等;还可用于航标灯,路灯自动开关;机床的安全保护自动控制,自动计数,印刷机控制双张等等方面。另外要求光电池具有灵敏度高、响应时间短的特点,有特殊的制造工艺,用于光电检测和自动控制系统中。
硅电池发电既能节约地球上有限的资源,又能保护环境,具有双赢效果。太阳能产业是新兴的朝阳行业,其成长性很好,所以我们要不断努力,使其进一步发展和应用,为人类造福!
电芯、电池模组和电池包三者有什么区别?如...
时间:2026-03-22
电池怎么做绝缘处理?电池模组绝缘片起到什...
时间:2026-03-22
电池模组绝缘片的制造工艺有哪些,它们对电...
时间:2026-03-22
亿纬锂能麟驹系列电动两轮车电池首批发货仪...
时间:2026-03-22
在电池模组中,除了绝缘片,还有哪些措施可...
时间:2026-03-22
深度解读广汽全固态电池技术
时间:2026-03-22
广汽科技全固态电池与无图纯视觉智驾引领智...
时间:2026-03-22
天合光能新一代柔性储能电池舱Elementa 2真...
时间:2026-03-22
锂电池和超级电容器哪个更耐用
时间:2026-03-22
“固态电池”和“半固态电池”是水火不容吗...
时间:2026-03-22
住宅小区负荷与变压器容量的选择技巧
时间:2026-03-06
光伏控制器简介
时间:2026-03-06
石英灯电子变压器电路原理
时间:2026-03-06
变压器并列运行的条件浅析
时间:2026-03-06
玻璃釉电容器的结构与特点
时间:2026-03-05
电阻的标称阻值和允许偏差
时间:2026-03-05
三极管的主要参数
时间:2026-03-07
HTCC:半导体封装的理想方式
时间:2026-03-06
半导体三极管的技术参数
时间:2026-03-07
碳膜电阻如何识别_金属膜电阻器和碳膜电阻器...
时间:2026-03-05