0 引言
太阳能光伏技术是将太阳能转化为电力的技术,其核心是半导体物质的光电效应。最常用的半导体材料是硅。在太阳电池表面形成一层减反射薄膜是提高太阳电池的光电转换效率比较可行且降低成本的方法。应用PECVD(等离子体增强化学气相沉积)系统,采用SiH4和NH3气源以制备氮化硅薄膜。研究探索了PECVD生长氮化硅薄膜的基本物化性质以及在沉积过程中反应压强、反应温度、硅烷氨气流量比和微波功率对薄膜性质的影响。通过大量实验,分析了氮化硅薄膜的相对最佳沉积参数,并得出制作战反射膜的优化工艺。
1 减反射膜原理
在了解减反射薄膜原理之前,要先了解几个简单的概念:第一,光在两种媒质界面上的振幅反射系数为(1-ρ)/(1+ρ),其中ρ为界面处两折射率之比。第二,若反射光存在于折射率比相邻媒质更低的媒质内,则相移为180°;若该媒质的折射率高于相邻媒质的折射率,则相移为零。第三,光因受薄膜上下两个表面的反射而分成2个分量,这2个分量将按如下方式重新合并,即当它们的相对相移为180°时,合振幅便是2个分量振幅之差;称为两光束发生相消干涉。

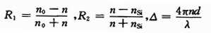
如图1所示膜有2个界面就有2个矢量,每个矢量表示一个界面上的振幅反射系数。如果膜层的折射率低于基片的折射率,则每个界面上的反射系数都为负值,这表明相位变化为180°。当膜层的相位厚度为180°时,即膜层的光学厚度为某一波长的1/4时,则2个矢量的方向完全相反,合矢量便有最小值。如果矢量的模相等,则对该波长而言;2个矢量将完全抵消,于是反射率为零。镀制有减反射薄膜的太阳电池的反射率R为:

式中:R1,R2分别为外界介质与膜和膜与硅表面上的菲涅尔反射系数;△为膜层厚度引起的位相角。其中:

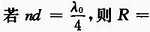
式中:n,n0,nSi分别为外界介质、膜层和硅的折射率;λ入射光的波长;d为膜层的实际厚度;nd膜层的光学厚度。当波长λ0为光的垂直入射时,


因此,完善的单层减反射薄膜条件是膜层的光学厚度为1/4波长,其折射率为基片和入射媒质折射率相乘积的平方根。
2 减反射薄膜的材料
要想将光电池对光反~射引起的损失减至最小,因此必须使反射系数ρ最小,如上分析,对单层减反射薄膜必须满足:

对硅光电池来讲,如果光直接从空气射入电池,n0=1,nSi=3.8,则折射率为1.9时的介质膜为最佳,但是它仅仅对特定波长的单色光为最佳,对于一般的复色光源,邻近特定波长的光,在确定的介质材料和厚度下,由于条件不完全满足,反射光只可能部分地被抵消,虽然ρ有所增大,但对波长较远的光,起不到减反射作用,因此在设计中应选取适当的n1材料和制作合适的膜厚t,才能使其波长落在光源辐射最强的波长附近。
几种能够作为减反射薄膜的材料和它的折射率列在表1中,可供参考:

由于氮化硅的折射率为1.9,是很理想的减反射膜材料,所以研究中采用的就是这种材质的减反射膜。氮化硅薄膜的折射率高,其中晶态氮化硅薄膜的折射率为2.0;非晶态氮化硅薄膜的折射率会在其左右一定范围内波动。氮化硅薄膜的厚度和颜色有对应关系,如表2所示。

厚度可用椭圆偏振仪精确测量。在能够估计厚度范围的情况下,可根据氮化硅薄膜的颜色和表中所列的颜色进行比较,以此来确定氮化硅膜的大约厚度。图2~图4分别为镀膜前、80 nm左右SiN薄膜和65 nm左右的SiN薄膜图示。
3 实验与讨论
本研究使用德国ROTH&RAU科学仪器研制中心制造的PECVD-SiNA1型设备制备不同厚度的SiN薄膜。
测试设备用:SENTECH生产SE-400ADV的激光偏振仪;SEMILAB生产的WT-2000的少子寿命测试仪。
实验材料:材料采用P型(100)的直拉的125 mmx125 mm单晶硅片,电阻率约为0.5~3 Ω·cm,厚度200+50μm。在实验前经过硅片清洗和制绒,磷扩散,等离子刻蚀,去除磷硅玻璃等工艺。
实验用到的气体有SiH4,NH3,N2。腐蚀溶液为HF酸。SiH4和NH3气体分别用于等离子体增强型化学气相沉积法沉积SiN薄膜,为安全起见,SiH4由氮气稀释至10%,NH3浓度为99.999%。N2主要用于在沉积完薄膜后清洗气路和反应室,它们的纯度都为99.999%。
PECVD系统主要工艺参数包括射频功率、反应气体组分、气体总流量、衬底温度和反应压力等,这些参数对SiN薄膜的性能有很大影响。
由于影响PECVD系统淀积效果的参数很多,如气体流量和流量比,工艺腔温度,射频功率,沉积气压等等,而且对不同的PECVD设备会有不同的最佳参数,我们有必要就主要的控制参数进行研究,摸索出在这台PECVD设备上淀积氮化硅薄膜的最佳工艺参数组合。
在此一共选取了沉积压强(6组)、微波功率(5组)、气体流量比(11组)、工艺腔温度(4组)四个变量。采取改变其中的变量其他三个变量不变的实验方法,最后得出各个变量主要对电池片哪些参数有影响,提出一个可行的最优实验方案。
通过查阅相关资料,我们总结出SiN薄膜较好的各参数范围:薄膜厚度在70~80 nm之间,膜厚差应小于5 nm,折射率2.0~2.1之间,4 nd在630 nm左右,少子寿命越大越好,腐蚀速率越小。
根据资料和实际经验,从以上几组实验中找出了一些实验效果比较好的参数,然后共得到8组优化参数,这8组实验做完之后,再用1:5的氢氟酸对制得薄膜进行腐蚀,实验具体参数如表3,实验结果如表4。


图5~图8给出实验结果。采用平板式PECVD法制备氮化硅薄膜时,沉积条件对氮化硅薄膜特性的影响如下:

(1)压强主要对折射率和腐蚀速率有影响:随着压强的升高(见图5),折射率上升而腐蚀速率下降(见图6)。压强增大时,膜的均匀性下降(见图7)。
(2)功率主要对膜厚和膜厚差有影响:随着功率的增大,膜厚增大而膜厚差下降(见图8)。
(3)流量比主要对折射率、膜厚和膜厚差都有影响:随着流量比的升高,折射率下降而膜厚和膜厚差都是先升后降(见图8)。
(4)温度对薄膜的各个参数影响都不大。温度上升,折射率增大(见图5),腐蚀速度下降(见图6)。
4 结语
经过实验分析,在温度为430℃,压强为2.1×10-1mbar,功率为3 200 W,流量比为3.07,制备的薄膜具有良好特性,是制作减反射膜的良好的方案。
电感器设计流程和见解
时间:2026-05-01
什么是触发器?触发器的作用是什么?
时间:2026-05-01
什么是电源?电源是如何进行分类的?
时间:2026-05-01
电驱动NVH的特点和结构
时间:2026-05-01
什么是霍尔传感器?
时间:2026-05-01
电负性的计算方法
时间:2026-04-30
电导的定义_电导的单位_电导怎么算
时间:2026-04-30
什么是计数器_计数器的作用
时间:2026-04-30
什么是欧姆定律_欧姆定律公式
时间:2026-04-30
RAID是什么?RAID有哪些?
时间:2026-04-30
电阻的原理和作用 电阻色环识别图 电路中电...
时间:2026-03-09
什么是室温超导?半导体时代将走向结束?芯...
时间:2026-03-09
NVIDIA CPU+GPU超级芯片大升级!
时间:2026-03-09
半导体光刻工艺 光刻—半导体电路的绘制
时间:2026-03-09
什么是硅片或者晶圆?一文了解半导体硅晶圆
时间:2026-03-09
石英灯电子变压器电路原理
时间:2026-03-06
一文详解MOS管驱动电路拓扑的设计
时间:2026-03-09
汽车芯片业应汲取的教训
时间:2026-03-09
半导体行业之ICT技术简介
时间:2026-03-09
集成电路的几纳米代表了什么?
时间:2026-03-09