热敏电阻也可作为电子线路元件用于仪表线路温度补偿和温差电偶冷端温度补偿等。利用NTC热敏电阻的自热特性可实现自动增益控制,构成RC振荡器稳幅电路,延迟电路和保护电路。在自热温度远大于环境温度时阻值还与环境的散热条件有关,因此在流速计、流量计、气体分析仪、热导分析中常利用热敏电阻这一特性,制成专用的检测元件。
将两只负温度系数热敏电阻置于容器高、低液面安全位置,并施加定值加热电流。处于底部浸没于液体中的热敏电阻表面温度与周界温度相同,而处于高处暴露于空气中的热敏电阻表面温度则高于周界温度。若液面淹没高处电阻,使其表面溢度下降阻值增高,判断电路可利用阻值变化而及时通知报警装置,动作电路切断进液管路,起到过液面保护作用。若液面下降到低位,底部热敏电阻逐渐暴露于空气中,此时表面温度升高阻值下降,判断电路可利用阻值变化而及时通知动作电路打开进液管路供液。
作为测量温度的热敏电阻一般结构简单。由于本身阻值较大,所以可忽略连接处的接触电阻,并可应用在数千米之外的远距离遥测过程。
利用负温度特性,可在某些电子装置中起到补偿作用。当过载而使电流和温度增加时,热敏电阻阻值加大反向下拉电流,起到补偿、保护等作用。此时应注意热敏电阻需串接在电子线路中。
在机电保护与控制中,常将临界点热敏电阻串接在继电器控制回路中,当某一设备遇突发性故障发生过载时,引起温度增高。若达到临界点阻值突然下降,继电器电流超过动作电流额定值而动作,起到切断、保护作用。
热敏电阻在一些设备的功能管理中起着非常关键的作用,如无线话机、笔记本计算机、等。如果充电电阻很大,这些设备的电池完成充电就会很快。但同时也会存在过热的危险。如果过热使得温度超过电池的居里温度,电池的损坏就不能恢复。但如果充电电压太低,则电池充电时间就会长到无法忍受。在电池中使用热敏电阻,就可以检测过热的电阻或电池的过热,从而调整充电的速度。其结果是,电池开始充电时的电压会比较大,这样,在比较短的时间内就可以以较大的充电电压快速充电。而当将要达到临界电压或临界温度时,可以控制充电的速度使之降低,然后,再比较平稳地完成充电。
6 过热保护
例如笔记本计算机越来越小的尺寸,主板对温度是非常敏感的,而主板又是非常接近发热的电源电阻,不断提高的CPU 主频不仅提高了CPU 的速度,也使得它的工作温度高。在这种场合,表面封装式热敏电阻既可以快速响应又有过热的保护,也比较容易使用。
热敏电阻无处不在,空调测温,加热控温,保护限温都是采用热敏电阻,热敏电阻成本低廉,构造简单使得应用广泛。热敏电阻的阻值随着温度的变化而变化,变化的阻值就可以得到不同的分压,从而间接换算出温度值,根据测量的温度范围需要选择不同的参考电阻,这样才能得到最优的采集线性段。电阻虽然简单,然而它的参数你真的了解吗?

从热敏电阻的变化关系分为正温度系数和负温度系数的热敏电阻,正温度系数就是温度升高,阻值降低;负温度系数则是温度升高,阻值降低。在测温领域通常都采用负温度系数,也就是常说的NTC,由于负温度系数的热敏电阻的线性度较好,在测量中引起的误差小,所以用的最广泛。
以下为热敏电阻温度表,给出了0~100度所对应的阻值,这只是中心值,并未带误差值,要实际中还需要考虑误差范围。

热敏电阻中最重要的参数是B值,B值反应的是温度与阻值的变化率,值越大表明温度每变化1度,其阻值变化越大,即灵敏度越高。B值是负温度系数热敏电阻器的热敏指数,它被定义为两个温度下零功率电阻值的自然对数之差与两个温度倒数之差的比值。

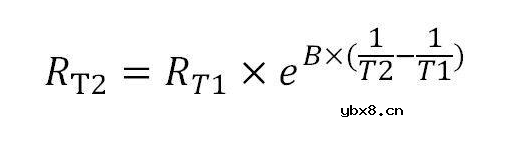
式1
除非特别指出,B值是由T1=25℃(298.15K)和T2=50℃(323.15K)的零功率电阻值计算而得到的。根据式1,若已知B值的情况下,可以得出目标温度对应的阻值,如下式2

式2
若是厂家只给出B值,是否就不需要提供阻值表了呢?
现在很多人产生了这个误区,以为有了B值就可以推算出想要的温度阻值,其实不难看出,热敏电阻的特性是温度与阻值呈非线性关系,也就是说这种关系没法说得清,更没法用公式全部给出。

如上图所示,在0-100度时所对应的阻值曲线,既然难以给出这种关系,那么给出某一个区间还是可以的,故提出了B值的概念,B值是温度25度~50度这个区间的关系公式,并在某一个误差区间给出。

意思就是说在25~50度这个区间用公式是完全没有问题的,超出这个范围,那么B值是不同的,所以不在这个范围用公式得出的阻值也是不对的。

阻值相同,而B值不同,这是大家的共识,若不同厂家的热敏电阻,B值相同,用公式来推导那岂不是阻值全是一样的?

以上为三款B值相同的热敏电阻,然而阻值却不同。由此可知,B值只是一个针对每款热敏电阻的某区间参数,它只反应此热敏电阻的部分特性,并不是一个严谨的参数,在实际应用中,需要提供检测温度范围内的阻值表才是正确的做法,你觉得呢?
电芯、电池模组和电池包三者有什么区别?如...
时间:2026-03-22
电池怎么做绝缘处理?电池模组绝缘片起到什...
时间:2026-03-22
电池模组绝缘片的制造工艺有哪些,它们对电...
时间:2026-03-22
亿纬锂能麟驹系列电动两轮车电池首批发货仪...
时间:2026-03-22
在电池模组中,除了绝缘片,还有哪些措施可...
时间:2026-03-22
深度解读广汽全固态电池技术
时间:2026-03-22
广汽科技全固态电池与无图纯视觉智驾引领智...
时间:2026-03-22
天合光能新一代柔性储能电池舱Elementa 2真...
时间:2026-03-22
锂电池和超级电容器哪个更耐用
时间:2026-03-22
“固态电池”和“半固态电池”是水火不容吗...
时间:2026-03-22
住宅小区负荷与变压器容量的选择技巧
时间:2026-03-06
光伏控制器简介
时间:2026-03-06
石英灯电子变压器电路原理
时间:2026-03-06
变压器并列运行的条件浅析
时间:2026-03-06
玻璃釉电容器的结构与特点
时间:2026-03-05
电阻的标称阻值和允许偏差
时间:2026-03-05
三极管的主要参数
时间:2026-03-07
HTCC:半导体封装的理想方式
时间:2026-03-06
半导体三极管的技术参数
时间:2026-03-07
碳膜电阻如何识别_金属膜电阻器和碳膜电阻器...
时间:2026-03-05