问题描述
如何有效地提高传感器的测试精度是行业的发展趋势;近来,对传感器进行实验测试过程中发现结果存在明显的工频干扰,信号中夹杂有明显噪音,具体频率为50hz,因此,近来以解决实际问题为出发点,对相关的内容进行归纳汇总;目前,消除噪音,提高传感器采集精度主要包含两种手段:1、硬件:通过电阻电容及电感构成滤波电路,对外界干扰源进行屏蔽;2、算法:通过数字信号处理,构建IIR、FIR滤波器对噪声信号进行滤除;具体内容如下所示~

图a表述为信号采集系统实际测试结果,源信号中包含工频干扰,即使传感器未发生变形,输出信号具有明显的波动(幅度为0.6mv左右);图b表述为局部放大示意图,从图中可以看出干扰源的频率为50hz。
附录:补充材料
附1、硬件如何实现信号滤波?
本部分从硬件的角度对信号滤波整体方案进行介绍,主要分为三方面内容:1、滤波器的种类以及相关电路,推导了二阶低通、高通滤波器的传递函数(实际中应用最广);2、带通以及带阻滤波器具体结构;3、带通滤波器具体设计过程,分享了MATLAB程序;

图a表述为无源一阶低通滤波器基本结构;图b表述为无源一阶高通滤波器基本结构;图c表述为压控性二阶有源低通滤波器基本结构(现实中应用较广),第一阶电容C直接与运算放大器输出端连接,引入正反馈,能够有效地减小信号干扰;图d表述为有源二阶高通滤波器基本结构;
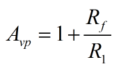
附1:无源滤波器具有的优点为:电路简单,可靠性高;相应的弊端为:信号经过滤波器后具有能量损失;具有明显的负载效应;信号无放大作用等;附2:同相放大器具有输入阻抗高,输出阻抗低的特性,广泛应用于前置放大级;附3:Rf电阻值不能大约2倍R1电阻值;
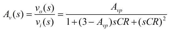
本部分对现实中应用最为广泛的有源二阶滤波器进行分析,其中,低通滤波器的传递函数为:

通带增益为:

高通滤波器的传递函数为:

通带增益为:

另一方面,带通、带阻滤波器可以通过基本的低通、高通滤波器串并联组成,其基本结构为:

图a表述为低通滤波和高通滤波器串并联组成带通、带阻滤波器的基本过程;图b表述为带通滤波器基本结构;图c表述为带阻滤波器基本结构;

上图表述基于MATLAB进行带通滤波器设计的具体过程,程序源代码如下所示,图中三条曲线分别代表低通滤波器、高通滤波器以及串联组成带通滤波器的幅频曲线,相关结果通过bode图进行直观展示,其中,纵坐标的单位为dB(20lg|G(jw)|),横坐标采用对数坐标系;附1:20dB表示信号衰减一个数量级;附2:硬件电路设计过程中,相关电阻的大小通过下述程序确定;
clear all;clc
%有源带通滤波器
%LPF 传递函数计算 f0=35Hz C = 1uF,R = R=4.549kΩ
c1 = 1e-6;
r1 = 4549;
%HPF 传递函数计算 f0=15Hz C = 1uF
c2 = 1e-6;
r2 = 10615;
%q品质因子(品质因子和通带增益具有一定关系)
q=0.7
%LPF
Avp1 = 3-(1/q);
k1=(3-Avp1)/(c1*r1);
k2 = 1/(c1*c1*r1*r1);
k3 = Avp1/(c1*c1*r1*r1);
num1=[k3]; %传递函数分子
den1=[1 k1 k2]; %传递函数分母
G1=tf(num1,den1);
%HPF
Avp2 = 3-(1/q);
k4=(3-Avp2)/(c2*r2);
k5 = 1/(c2*c2*r2*r2);
k6 = Avp2;
num2=[k600];%传递函数分子
den2=[1k4k5];%传递函数分母
G2=tf(num2,den2);
p=bodeoptions;
p.FreqUnits='Hz';
p.Grid= 'on';
[num,den] = series(num1,den1,num2,den2); %计算串联传递函数
printsys(num,den) %显示串联后的总传递函数
hold on;
bode(num,den,p); %绘制波特图
% hold on;
% bode(G1,p);
% hold on;
% bode(G2,p);
title('有源二阶模拟带通滤波器相频特性');%标题
附2、程序如何实现滤波?
本部分从算法的角度论述信号滤波的具体工作流程,主要的内容包含:1、滤波器具体的结构以及相关的参数设置,采样定理的含义;2、算法滤波后具体效果展示;具体内容如下~

图a表述FIR滤波器的幅频特性曲线,其中,信号的采样频率为1000hz(采样定理:采样频率大于信号最高频率的2倍,即:现有测量系统在保证精度的情况下,待测信号的最大频率为500hz);现采用低通滤波器,截止频率为50hz,当信号频率高于截止频率时,信号幅值衰减10倍以上;图b表述为采用滤波器对包含工频干扰的信号进行分析处理的结果,从图中可以看出,采用滤波算法与直接屏蔽干扰源具有相同的采样效果,还是挺不错的~
clear all;clc
% 读取传感器输出信号
node='信号采集结果.txt';
[x,y]...
=textread(node,'%f%f','emptyvalue',0,'headerlines',10);
output=filter(lowpass,y);
caiji=1000length(y);
output=output(caiji,1);
plot(output)
function Hd = lowpass
%LOWPASS Returns a discrete-time filter object.
% All frequency values are in Hz.
Fs = 2000; % Sampling Frequency
Fpass=40;%PassbandFrequency
Fstop = 50; % Stopband Frequency
Dpass = 0.057501127785; % Passband Ripple
Dstop = 0.1; % Stopband Attenuation
dens = 20; % Density Factor
% Calculate the order from the parameters using FIRPMORD.
[N, Fo, Ao, W] = firpmord([Fpass, Fstop]/(Fs/2), [1 0], [Dpass, Dstop]);
%CalculatethecoefficientsusingtheFIRPMfunction.
b = firpm(N, Fo, Ao, W, {dens});
Hd = dfilt.dffir(b);
% [EOF]
车用传感器频繁损坏的原因?车用传感器频繁...
时间:2026-03-20
角位移传感器的原理 角位移传感器的作用
时间:2026-03-20
振动传感器如何选择?测试方法有哪些?
时间:2026-03-20
霍尔传感器的优点及用途
时间:2026-03-20
什么叫离子传感器?离子传感器的工作原理 离...
时间:2026-03-20
指纹传感器的定义 指纹传感器的应用
时间:2026-03-20
北京大学高成臣团队在MEMS压力传感器领域实...
时间:2026-03-20
纳芯微推出车规级温湿度传感器NSHT30-Q1助力...
时间:2026-03-20
二氧化碳传感器的分类及其原理
时间:2026-03-20
微波传感器的工作原理和应用
时间:2026-03-20
光伏控制器简介
时间:2026-03-06
住宅小区负荷与变压器容量的选择技巧
时间:2026-03-06
变压器并列运行的条件浅析
时间:2026-03-06
三极管的主要参数
时间:2026-03-07
电阻的标称阻值和允许偏差
时间:2026-03-05
HTCC:半导体封装的理想方式
时间:2026-03-06
石英灯电子变压器电路原理
时间:2026-03-06
玻璃釉电容器的结构与特点
时间:2026-03-05
碳膜电阻如何识别_金属膜电阻器和碳膜电阻器...
时间:2026-03-05
关于STM32WL LSE 添加反馈电阻后无法起振的...
时间:2026-03-05